Главная Случайная страница


Полезное:

Как сделать разговор полезным и приятным Как сделать объемную звезду своими руками Как сделать то, что делать не хочется? Как сделать погремушку Как сделать так чтобы женщины сами знакомились с вами Как сделать идею коммерческой Как сделать хорошую растяжку ног? Как сделать наш разум здоровым? Как сделать, чтобы люди обманывали меньше Вопрос 4. Как сделать так, чтобы вас уважали и ценили? Как сделать лучше себе и другим людям Как сделать свидание интересным?


Категории:

АрхитектураАстрономияБиологияГеографияГеологияИнформатикаИскусствоИсторияКулинарияКультураМаркетингМатематикаМедицинаМенеджментОхрана трудаПравоПроизводствоПсихологияРелигияСоциологияСпортТехникаФизикаФилософияХимияЭкологияЭкономикаЭлектроника






Показатели использования основных фондов. Фондоотдача (отдача фондов)– основной показатель эффективности использования ОФ, который показывает





Фондоотдача (отдача фондов) – основной показатель эффективности использования ОФ, который показывает, какой мы получили результат от ранее вложенных денег в основной капитал.

Т.о., фондоотдача получается путем деления ТП (РП) или П в неизменных сопоставимых оптовых ценах предприятия на среднегодовую стоимость ОФ.

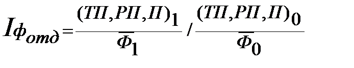
А для того, чтобы сравнить показатели фондоотдачи за два периода (например, базисный и текущий), необходимо сопоставить эти показатели с помощью агрегатного индекса фондоотдачи:

Фондоемкость – величина обратная фондоотдачи, показывает, сколько в среднем основного капитала было затрачено на каждый рубль ТП, РП, П. Т.е. чем меньше затрат основного капитала на 1 рубль ТП (РП), П, тем эффективнее используются ОФ.

Рассчитывается как отношение среднегодовой стоимости ОФ на ТП (РП), П в сопоставимых ценах.

Для того, чтобы сравнить показатели фондоемкость за два периода (например, базисный и текущий), необходимо сопоставить эти показатели с помощью агрегатного индекса фондоемкости:

Фондовооруженность – это показатель обеспеченности труда работников основными фондами. А это значит, что чем выше (стоимость ОФ) обеспеченность одного работника усовершенствованной техникой, тем лучше используется труд одного работника.

Показатель рассчитывается путем деления среднегодовой стоимости ОФ на среднесписочную численность промышленно-производственного персонала (ППП).

Для того чтобы показать изменение фондовооруженности в динамике, рассчитывают агрегатный индекс фондовооруженности:







Date: 2015-07-27; view: 552; Нарушение авторских прав



mydocx.ru - 2015-2026 year. (0.578 sec.) Все материалы представленные на сайте исключительно с целью ознакомления читателями и не преследуют коммерческих целей или нарушение авторских прав - Пожаловаться на публикацию