Главная Случайная страница


Полезное:

Как сделать разговор полезным и приятным Как сделать объемную звезду своими руками Как сделать то, что делать не хочется? Как сделать погремушку Как сделать так чтобы женщины сами знакомились с вами Как сделать идею коммерческой Как сделать хорошую растяжку ног? Как сделать наш разум здоровым? Как сделать, чтобы люди обманывали меньше Вопрос 4. Как сделать так, чтобы вас уважали и ценили? Как сделать лучше себе и другим людям Как сделать свидание интересным?


Категории:

АрхитектураАстрономияБиологияГеографияГеологияИнформатикаИскусствоИсторияКулинарияКультураМаркетингМатематикаМедицинаМенеджментОхрана трудаПравоПроизводствоПсихологияРелигияСоциологияСпортТехникаФизикаФилософияХимияЭкологияЭкономикаЭлектроника






Типовая задача 1. По данным предприятия известно, что объем реализованной продукции, составил 1000 тыс





По данным предприятия известно, что объем реализованной продукции, составил 1000 тыс. рублей; среднегодовой остаток оборотных средств = 200 тыс. рублей. В отчетном периоде ускорение оборачиваемости ОС составляет 3 дня. Рассчитать все вышеперечисленные показатели.

Решение

1. Число оборотов ОС: оборотов.

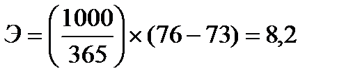
2. Продолжительность одного оборота в днях: =73 дня

3. Экономический эффект, полученный от ускорения оборачиваемости: тыс. руб.

Эти деньги высвободили за один оборот ОС, а они совершили 5 оборотов. Общий экономический эффект составит: ЭОбщ. годовой=8,2 *5=41 тыс. руб.

4. Коэффициент оборачиваемости ОС: ,

т.е. с каждого рубля ОС получается 5 руб. РП.

5. Коэффициент закрепления ОС:

Чтобы реализовать за год 1 руб. реализованной продукции, нужно в среднем иметь 0,2 руб. (20 коп) ОС.







Date: 2015-07-27; view: 677; Нарушение авторских прав



mydocx.ru - 2015-2026 year. (0.782 sec.) Все материалы представленные на сайте исключительно с целью ознакомления читателями и не преследуют коммерческих целей или нарушение авторских прав - Пожаловаться на публикацию