Главная Случайная страница


Полезное:

Как сделать разговор полезным и приятным Как сделать объемную звезду своими руками Как сделать то, что делать не хочется? Как сделать погремушку Как сделать так чтобы женщины сами знакомились с вами Как сделать идею коммерческой Как сделать хорошую растяжку ног? Как сделать наш разум здоровым? Как сделать, чтобы люди обманывали меньше Вопрос 4. Как сделать так, чтобы вас уважали и ценили? Как сделать лучше себе и другим людям Как сделать свидание интересным?


Категории:

АрхитектураАстрономияБиологияГеографияГеологияИнформатикаИскусствоИсторияКулинарияКультураМаркетингМатематикаМедицинаМенеджментОхрана трудаПравоПроизводствоПсихологияРелигияСоциологияСпортТехникаФизикаФилософияХимияЭкологияЭкономикаЭлектроника






Дифференциация населения по уровню доходов





Для характеристики дифференциации доходов населения рассчитываются следующие основные показатели:

§ прожиточный минимум – суммарная стоимость товаров и услуг, позволяющая поддерживать физическое состояние отдельных групп населения в течение определенного периода времени. Это расходы, жизненно необходимые на питание, самые необходимые предметы санитарии и гигиены, лекарства, коммунальные услуги и другие обязательные платежи, соответствующие затратам семей, имеющих наиболее низкие доходы, которые могут быть определены на основе выборочного обследования;

§ дефицит дохода – это суммарный доход малоимущего населения, не достающий до величины прожиточного минимума;

§ модальный доход – уровень дохода, наиболее часто встречающийся среди населения;

§ медианный доход – показатель дохода, находящегося в середине ранжированного ряда распределения, т.е. половина населения имеет доход ниже медианного, а вторая половина – выше;

§ средний доход – общий средний уровень дохода всего населения.

Кроме того, для дифференциации населения по уровню дохода используются следующие показатели:

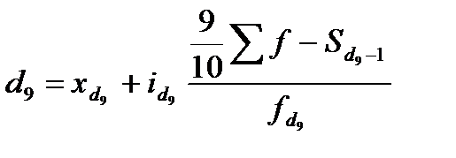
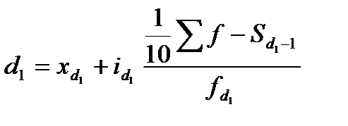
Децильный коэффициент дифференциации доходов населения Показывает, во сколько раз минимальные доходы 10% самого богатого населения превышают максимальные доходы 10% наименее обеспеченного населения: Кd= d9 : d1, где d9 и d1 – верхний и нижний децили соответственно.
Нижний дециль Представляет 1/10 часть населения с самыми низкими доходами: , где - нижняя граница интервала, содержащего нижний дециль; - величина интервала, содержащего нижний дециль; - частота интервала, содержащего нижний дециль; - накопленная частота интервала, предшествующего интервалу, содержащему нижний дециль.
Верхний дециль Представляет 1/10 часть населения с самыми высокими доходами: , где - нижняя граница интервала, содержащего верхний дециль; - величина интервала, содержащего верхний дециль; - частота интервала, содержащего верхний дециль; - накопленная частота интервала, предшествующего интервалу, содержащему верхний дециль.
Коэффициент фондов (коэффициент дифференциации доходов) Определяет соотношение между средними доходами двух групп населения: 10% населения с самыми высокими доходами и 10% населения с самыми низкими доходами: , или КД = Д10: Д1, где и – среднедушевой доход в месяц соответственно у 10% населения, имеющего минимальный доход, и у 10% самой богатой его части; Д1 и Д10 – соответственно суммарный доход 10% самого бедного и 10% наиболее богатого населения.
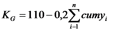
Коэффициент концентрации доходов (коэффициент Джини) Характеризует степень неравенства в распределении доходов населения: , где xi – доля населения, принадлежащая к i-й социальной группе в общей численности населения; yi – доля доходов, сосредоточенная у i-й социальной группы населения; n – число социальных групп; cumyi – кумулятивная доля дохода. Если доли населения и доходов выражены в процентах, данную формулу можно преобразовать: - для 10%-ного распределения: - для 20%-ного распределения: Данный коэффициент изменяется в пределах от 0 до 1. При равномерном распределении общества по доходам значение коэффициента стремится к 0, а чем выше поляризация доходов в обществе (когда большая часть доходов концентрируется у небольшой группы населения), тем он ближе к 1.
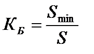
Коэффициент бедности , где Smin – численность населения с доходами ниже прожиточного минимума; S – общая численность населения.
Индекс глубины бедности Определяется для анализа динамики бедности в стране, исчисляется по формуле: , где N – общая численность обследуемых домашних хозяйств; n – численность домашних хозяйств с доходами ниже прожиточного минимума; Cmini – среднедушевая величина прожиточного минимума для i-го домашнего хозяйства, рассчитанная с учетом его половозрастной структуры; - среднедушевой доход i-го домашнего хозяйства, имеющего доходы ниже прожиточного минимума.






Date: 2015-07-27; view: 781; Нарушение авторских прав



mydocx.ru - 2015-2026 year. (0.362 sec.) Все материалы представленные на сайте исключительно с целью ознакомления читателями и не преследуют коммерческих целей или нарушение авторских прав - Пожаловаться на публикацию