Главная Случайная страница


Полезное:

Как сделать разговор полезным и приятным Как сделать объемную звезду своими руками Как сделать то, что делать не хочется? Как сделать погремушку Как сделать так чтобы женщины сами знакомились с вами Как сделать идею коммерческой Как сделать хорошую растяжку ног? Как сделать наш разум здоровым? Как сделать, чтобы люди обманывали меньше Вопрос 4. Как сделать так, чтобы вас уважали и ценили? Как сделать лучше себе и другим людям Как сделать свидание интересным?


Категории:

АрхитектураАстрономияБиологияГеографияГеологияИнформатикаИскусствоИсторияКулинарияКультураМаркетингМатематикаМедицинаМенеджментОхрана трудаПравоПроизводствоПсихологияРелигияСоциологияСпортТехникаФизикаФилософияХимияЭкологияЭкономикаЭлектроника






Обобщающие показатели уровня жизни населения





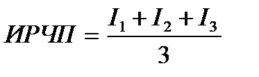
Индекс развития человеческого потенциала (ИРЧП) Является составным индексом, включающем три показателя: , где I1 – индекс ожидаемой продолжительности жизни при рождении; I2 – индекс достигнутого уровня образования; I3 – индекс реального ВВП в расчете на душу населения.
Индекс ожидаемой продолжительности жизни при рождении , где х1 – фактическое значение ожидаемой продолжительности жизни при рождении.
Индекс достигнутого уровня образования , где – индекс грамотности среди взрослого населения (от 15 лет и старше) весом 2/3; – индекс совокупной доли учащихся начальных, средних и высших учебных заведений (для лиц моложе 24 лет) весом 1/3.
Индекс реального ВВП в расчете на душу населения , xВВП – величина реального ВВП на душу населения в долл. США по ППС (ППС – паритет покупательской способности – соотношение между двумя или несколькими валютами по их покупательной способности к определенному набору товаров и услуг).






Date: 2015-07-27; view: 753; Нарушение авторских прав



mydocx.ru - 2015-2026 year. (0.087 sec.) Все материалы представленные на сайте исключительно с целью ознакомления читателями и не преследуют коммерческих целей или нарушение авторских прав - Пожаловаться на публикацию