Главная Случайная страница


Полезное:

Как сделать разговор полезным и приятным Как сделать объемную звезду своими руками Как сделать то, что делать не хочется? Как сделать погремушку Как сделать так чтобы женщины сами знакомились с вами Как сделать идею коммерческой Как сделать хорошую растяжку ног? Как сделать наш разум здоровым? Как сделать, чтобы люди обманывали меньше Вопрос 4. Как сделать так, чтобы вас уважали и ценили? Как сделать лучше себе и другим людям Как сделать свидание интересным?


Категории:

АрхитектураАстрономияБиологияГеографияГеологияИнформатикаИскусствоИсторияКулинарияКультураМаркетингМатематикаМедицинаМенеджментОхрана трудаПравоПроизводствоПсихологияРелигияСоциологияСпортТехникаФизикаФилософияХимияЭкологияЭкономикаЭлектроника






Типовая задача 1. По имеющимся данным о трудовых ресурсах РФ, млн





По имеющимся данным о трудовых ресурсах РФ, млн. чел.:

Показатель 2003 г. 2005 г.
1. Среднегодовая численность населения 144,2 143,8
2. Численность экономически активного населения 72,8 73,4
3. Численность занятого населения 65,6 67,2

Определить:

1) численность безработных;

2) уровень экономически активного населения;

3) уровень занятости в расчете на экономически активное население;

4) коэффициент экономической нагрузки на 1 чел. экономически активного населения.

Проанализируйте полученные результаты и сделайте выводы.

Решение: 1. Численность безработных определим по формуле: .

В 2003 г.: (млн. чел.)

В 2005 г.: (млн. чел.)

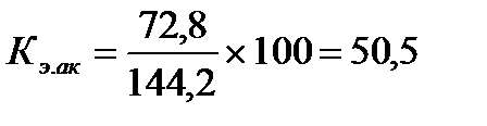
2. Уровень экономически активного населения определим по формуле:

.

В 2003 г.: %.

В 2005 г.: %.

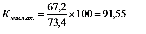
3. Уровень занятости в расчете на экономически активное население:

.

В 2003 г.: %.

В 2005 г.: %.

4. Коэффициент экономической нагрузки на 1 чел. экономически активного населения: .

В 2003 г.: %.

В 2005 г.: %.

Таким образом, в 2005 г. по сравнению с 2003 г. снизилась численность безработных на 1 млн. чел. Уровень экономически активного населения в 2005 г. увеличился и составил 51,04% от среднегодовой численности населения. В результате увеличился уровень занятости в расчете на экономически активное население с 90,11% до 91,55%, а коэффициент экономической нагрузки на 1 человека экономически активного населения снизился с 198,1% до 195,9%.







Date: 2015-07-27; view: 969; Нарушение авторских прав



mydocx.ru - 2015-2026 year. (0.671 sec.) Все материалы представленные на сайте исключительно с целью ознакомления читателями и не преследуют коммерческих целей или нарушение авторских прав - Пожаловаться на публикацию