Главная Случайная страница


Полезное:

Как сделать разговор полезным и приятным Как сделать объемную звезду своими руками Как сделать то, что делать не хочется? Как сделать погремушку Как сделать так чтобы женщины сами знакомились с вами Как сделать идею коммерческой Как сделать хорошую растяжку ног? Как сделать наш разум здоровым? Как сделать, чтобы люди обманывали меньше Вопрос 4. Как сделать так, чтобы вас уважали и ценили? Как сделать лучше себе и другим людям Как сделать свидание интересным?


Категории:

АрхитектураАстрономияБиологияГеографияГеологияИнформатикаИскусствоИсторияКулинарияКультураМаркетингМатематикаМедицинаМенеджментОхрана трудаПравоПроизводствоПсихологияРелигияСоциологияСпортТехникаФизикаФилософияХимияЭкологияЭкономикаЭлектроника






Методы линейного разделение каналов





 

К линейным относятся методы, при которых операции разделения осуществляются линейными устройствами.

Для осуществления линейного разделения каналов необходимо и достаточно, чтобы канальные сигналы составляли ансамбль линейно независимых сигналов. В качестве таких сигналов часто используют ансамбль ортогональных сигналов.

Для пояснения принципа линейного разделения каналов воспользуемся обобщённой схемой МСП.

 

 

Рисунок – Обобщённая структурная схема многоканальной системы передачи (МСП)

1) На передающей стороне первичные сиг­налы Сi(t), поступающие на входы каналов системы передачи. Данные сигналы могут одновременно существовать в одинаковых или перекрывающихся спектрах частот. В устройствах Мi осуществля­ется формирование отличающихся друг от друга канальных сигна­лов Si(t). Процесс преобразование первичного сигнала Ci(t) в канальный Si(t) можно представить аналитически

 

Si(t) = Mi[Ci(t)], (1)

 

где Мi -оператор, осуществляющий преобразование i -го первичного сигнала в i-й канальный сигнал. Как правило, преобразование Мi осуществляется путем модуляции сигналом Ci(t) некоторого сигнала ψi(t), называемого переносчиком. Как известно, процесс модуляции можно представить, как умножение модулирующего сигнала Ci(t) на переносчик ψi(t). Если принять, что сигнал Ci(t) представляет собой медленно меняющуюся функцию времени Ci остающейся постоян­ной на периоде переносчика ψi(t), то процесс формирования i-го можно записать в виде

Si(t) = Ciψi(t). (2)

 

Рассмотрим аддитивную линейную N–канальную систему передачи, в которой что групповой сигнал Sгр(t) получается путем суммирования канальных сигналов Si(t), т. е.

(3)

2) На приемное стороне разделяющие устройства Фi представляют линейные четырех­полюсники, действие которых описывается линейным оператором Фi Операцию разделения и преобразования сигналов на приеме можно описать выражением

= (4)

В аддитивных линейных МСП оператор разделения Фi является линейным и поэтому (4) можно представить в виде

= (5)

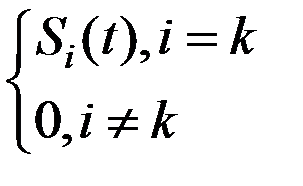
Условие разделения сигналов (4) с учетом (4) можно записать следующим образом:

= = (6)

 

Выражение (6) показывает, что с помощью линейного операто­ра Фi i ‑го канала из группового сигнала выделяется только i-й ка­нальный сигнал Si(t) и что на выходе i -гo канала сигналов, передающихся по другим каналам, не будет. Затем с помощью устройства Д i i -й канальный сигнал преобразуется в i -й первичный сигнал C i (t).

 







Date: 2015-07-27; view: 1446; Нарушение авторских прав



mydocx.ru - 2015-2026 year. (0.324 sec.) Все материалы представленные на сайте исключительно с целью ознакомления читателями и не преследуют коммерческих целей или нарушение авторских прав - Пожаловаться на публикацию