Главная Случайная страница


Полезное:

Как сделать разговор полезным и приятным Как сделать объемную звезду своими руками Как сделать то, что делать не хочется? Как сделать погремушку Как сделать так чтобы женщины сами знакомились с вами Как сделать идею коммерческой Как сделать хорошую растяжку ног? Как сделать наш разум здоровым? Как сделать, чтобы люди обманывали меньше Вопрос 4. Как сделать так, чтобы вас уважали и ценили? Как сделать лучше себе и другим людям Как сделать свидание интересным?


Категории:

АрхитектураАстрономияБиологияГеографияГеологияИнформатикаИскусствоИсторияКулинарияКультураМаркетингМатематикаМедицинаМенеджментОхрана трудаПравоПроизводствоПсихологияРелигияСоциологияСпортТехникаФизикаФилософияХимияЭкологияЭкономикаЭлектроника






Тройные соударения и тримолекулярные реакции





 

В качестве элементарных реакций в газовой фазе тримолекулярные соударения не являются распространёнными, поскольку даже в хаотических броуновских движениях очень мала вероятность одновременных столкновений трёх частиц. Вероятность тримолекулярной стадии резко возрастает, если она протекает на границе раздела фаз, и фрагменты поверхности конденсированной фазы оказываются её участниками. За счёт подобных реакций часто создаётся основной канал изъятия у активных частиц избыточной энергии и их исчезновения в сложных превращениях.

Рассмотрим тримолекулярное превращение вида:

Качественная модель последовательных бимолекулярных соударений:

1. А + В → АВ АВ + С → Продукты

2. А + С → АС АС + В → Продукты

3. С + В → СВ СВ + А→ Продукты

 

Основное допущение основано на детальном равновесии на первой стадии:

Квазиравновесный режим образования бимолекулярных комплексов

Результирующая константа скорости должна принять вид:

Комбинация трёх энергий активации создаёт формальное разнообразие возможных вариантов механизма (рис. 1).


Рисунок 1 "Зависимость энергии активации от координаты реакции"

При этом «наблюдаемая» энергия активации тримолекулярной реакции может оказаться и отрицательной величиной.

Для реакции:

2NO + O2 → 2NO2

 

 

Подобная трактовка тримолекулярных реакций принадлежит Траутцу. Её не следует переоценивать. Это лишь качественная теория. Она не в состоянии объяснить все особенности таких реакций. Это возможно лишь на основе ТАК, которая не ограничена лишь вышеприведенным простейшим выводом, и требует значительно более глубокого анализа на основе статистической механики.

Тримолекулярная реакция валентно-ненасыщенных частиц:

2NO + O2 → 2NO2

2NO + Cl2 → 2NOCl

2NO + H2 → N2O + H2O

 

Cтехиометрические уравнения баланса вовсе не обязаны соответствовать схеме элементарных актов.

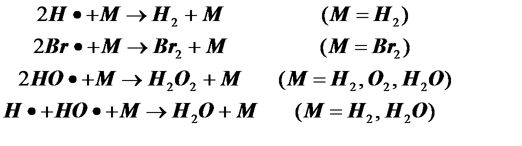
Тримолекулярными являются также очень важные реакции рекомбинации валентно-насыщенных частиц в превращениях типа:

,

где R1, R2- обладающие свободной валентностью атомы или молекулярные свободные радикалы, а M - любая третья частица. С формально-кинетической точки зрения всякий такой процесс выглядит как процесс второго порядка, и третья частица не учитывается в материальном балансе и не определяет стехиометрию процесса.

Её функция состоит только лишь в отводе избытка энергии от образующейся частицы

Тримолекулярные процессы подобного рода протекают на стенках сосуда, и символом M будут уже обозначены центры соударения на стенке. Их присутствие без специальных приёмов не обнаружимо, и роль этих стадий будет замаскирована в виде концентрационных сомножителей в эффективных константах скоростей. Роль таких стабилизирующих тройных столкновений тем выше, чем более эффективно они способны отводить выделяющуюся избыточную энергию, а она тем выше, чем больше атомов в молекуле третьей частицы M. Это вызвано тем, что с увеличением размера частицы растёт число колебательных степеней свободы, и за счёт именно их возбуждений растёт вероятность отвода энергии на межатомные связи молекулы M от вновь образуемой молекулы продукта [6].







Date: 2015-07-27; view: 892; Нарушение авторских прав



mydocx.ru - 2015-2026 year. (0.559 sec.) Все материалы представленные на сайте исключительно с целью ознакомления читателями и не преследуют коммерческих целей или нарушение авторских прав - Пожаловаться на публикацию