Главная Случайная страница


Полезное:

Как сделать разговор полезным и приятным Как сделать объемную звезду своими руками Как сделать то, что делать не хочется? Как сделать погремушку Как сделать так чтобы женщины сами знакомились с вами Как сделать идею коммерческой Как сделать хорошую растяжку ног? Как сделать наш разум здоровым? Как сделать, чтобы люди обманывали меньше Вопрос 4. Как сделать так, чтобы вас уважали и ценили? Как сделать лучше себе и другим людям Как сделать свидание интересным?


Категории:

АрхитектураАстрономияБиологияГеографияГеологияИнформатикаИскусствоИсторияКулинарияКультураМаркетингМатематикаМедицинаМенеджментОхрана трудаПравоПроизводствоПсихологияРелигияСоциологияСпортТехникаФизикаФилософияХимияЭкологияЭкономикаЭлектроника






Предельная норма замещения





Количество денежных средств, которыми располагает потреби­тель, ограничены, поэтому он вынужден искать компромисс, когда делает выбор между двумя, тремя или большим числом товаров, и кривые безразличия могут помочь найти его. Перемещаясь вдоль кривой безразличия сверху вниз, мы видим, что потребитель готов отказаться от определенного количества единиц потребляемого товара х 1 в пользу товара х 2 (от точки A до точки B).

Чтобы количественно определить, каким объемом того или иного товара потребитель готов пожертвовать ради увеличения потребления другого товара, используется мера, называемая предельной нормой замещения- MRS.

Рис. 1.3. Различие наборов на линии уровня

 

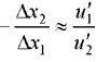
Рассмотрим фиксированную линию безразличия U. Пусть потребительский набор (х1, х2) U. При выполнении ряда естественных предположений (непрерывность частных производных и не равенство их нулю) справедлива, как было показано выше, следующая формула:

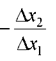
Имеем приближенное равенство (рис. 1.4):

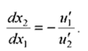
Отсюда следует:

отношение показывает на сколько должен потребитель увеличить (уменьшить) потребление второго продукта, если он уменьшил (увеличил) потребление первого продукта на одну единицу без изменения уровня удовлетворения своих потребностей.

Это обстоятельство геометрически интерпретируется так: точки принадлежат одной и той же линии безразличия U (см. рис. 1.4).

Дробь называется нормой замещения первого продукта вторым на потребительском наборе (х1, х2).

MRSxy= -

Рис. 1.4. Геометрическое представление предельной нормы замещения







Date: 2015-07-27; view: 545; Нарушение авторских прав



mydocx.ru - 2015-2026 year. (0.763 sec.) Все материалы представленные на сайте исключительно с целью ознакомления читателями и не преследуют коммерческих целей или нарушение авторских прав - Пожаловаться на публикацию