Главная Случайная страница


Полезное:

Как сделать разговор полезным и приятным Как сделать объемную звезду своими руками Как сделать то, что делать не хочется? Как сделать погремушку Как сделать так чтобы женщины сами знакомились с вами Как сделать идею коммерческой Как сделать хорошую растяжку ног? Как сделать наш разум здоровым? Как сделать, чтобы люди обманывали меньше Вопрос 4. Как сделать так, чтобы вас уважали и ценили? Как сделать лучше себе и другим людям Как сделать свидание интересным?


Категории:

АрхитектураАстрономияБиологияГеографияГеологияИнформатикаИскусствоИсторияКулинарияКультураМаркетингМатематикаМедицинаМенеджментОхрана трудаПравоПроизводствоПсихологияРелигияСоциологияСпортТехникаФизикаФилософияХимияЭкологияЭкономикаЭлектроника






Расчет массы состава. Определение длины состава





Для того чтобы снизить себестоимость перевозок грузов, нужно перевозитьих в поездах возможно большей массы. Эту массу необходимо знать, чтобы мы могли провести наш поезд в расчетный подъем и тронуть его со станции. Под расчетным подъемом понимают наиболее трудный для движения в выбранном направлении подъем, на котором локомотив развивает расчетную силу тяги при расчетной скорости движения. Электровоз на расчетном подъеме должен развивать большую допустимую силу тяги, называемую расчетной FР. Скорость электровоза при такой силе тяги называют расчетной скоростью VР. Вот для этого нам необходимо знать массу состава и учесть при этом основные удельные сопротивления движению поезда

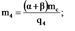
1. Расчеты начинаем с определения средней нагрузки от оси на рельс т/ось

; (12)

т/ось

т/ось

т/ось

где - массы соответственно 4-, 6-, 8-осных грузовых вагонов, т

2. Рассчитываем основное удельное сопротивление 4-осных грузовых вагонов на подшипниках качения, Н/кН:

; (13)

1,43 Н/кН;

3. Рассчитываем основное удельное сопротивление 4-осных грузовых вагонов на подшипниках скольжения, Н/кН:

 

; (14)

Н/кН;

4. Рассчитываем основное удельное сопротивление 6-осных вагонов, Н/кН:

; (15)

Н/кН;

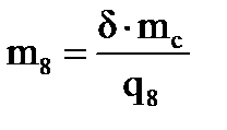
5. Рассчитываем основное удельное сопротивление 8-осных вагонов, Н/кН:

. (16)

Н/кН;

6. Зная основные удельные сопротивления движению вагонов, находим основное удельное сопротивление всего состава по формуле:

 

, (17)

где - соответственно доли (не проценты) 4-, 6-,8-осных грузовых вагонов в составе;

Н/кН;

7. Кроме этого нам необходимо рассчитать основное удельное сопротивление локомотива:

= 1,9+0,01 VP+ 0,0003 VP2. (18)

= 1,9+0,01*46+ 0,0003*462=2,99 Н/кН;

Определив все виды основного удельного сопротивления и зная расчетную скорость движения на расчетном подъеме, массу состава в соответствии с /2/ определяют по формуле

, (19)

 

где Fкр - расчетная сила тяги, Н;

mэ - масса электровоза, т (см. табл.1);

- основное удельное сопротивление движению состава, Н/кН;

- основное удельное сопротивление движению электровоза при работе в режиме тяги, Н/кН;

g = 9,81 м/с2 – ускорение свободного падения.

т

В связи с тем, что при трогании поезда его сопротивление больше, чем при движении, рассчитанную по условию движения на расчетном подъеме массу состава нужно проверить на трогание с места на станции (iр = 0) и на расчетном подъеме iр по формуле согласно /2/:

, (20)

где mс тр - масса состава по условиям трогания с места, т;

Fктр - сила тяги электровоза при трогании с места, кН, которую берут из тяговых характеристик на ограничивающей линии по сцеплению колес с рельсами при V=0 в табл. 6 (точка А на рис. 2);

i - подъем, ‰, на котором проверяется масса состава на трогание;

wтр - удельное сопротивление состава при трогании, Н/кН;

g = 9,81 м/с2 – ускорение свободного падения

 

Значение удельного сопротивления состава при трогании определяется по формуле:

, (21)

 

 

Определяем число вагонов в составе:

. (22)

 

Массу состава mc необходимо также проверить по длине приемоотправочных станционных путей l ст, в пределах которых поезд должен устанавливаться (с запасом в 10м) согласно /2/.

Длину поезда l п, м с этим запасом определяют по формуле:

l п = l с + l э + 10, (23)

l п = 614+33+10=657

где l э – длина электровоза, м (см. задание);

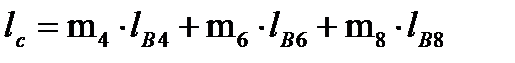
l с – длина состава,м, определяемая по формуле

, (24)

где l В4, l В6, l В8, - длина соответственно 4-, 6-, 8-осных вагонов, м

 

 

Вывод: Входе проделанной работы установлено, что масса состава при трогание меньше массы состава значит необходимо подъем где проверялась масса состава проследовать без остановки.

 







Date: 2015-07-27; view: 1162; Нарушение авторских прав



mydocx.ru - 2015-2026 year. (0.128 sec.) Все материалы представленные на сайте исключительно с целью ознакомления читателями и не преследуют коммерческих целей или нарушение авторских прав - Пожаловаться на публикацию