Главная Случайная страница


Полезное:

Как сделать разговор полезным и приятным Как сделать объемную звезду своими руками Как сделать то, что делать не хочется? Как сделать погремушку Как сделать так чтобы женщины сами знакомились с вами Как сделать идею коммерческой Как сделать хорошую растяжку ног? Как сделать наш разум здоровым? Как сделать, чтобы люди обманывали меньше Вопрос 4. Как сделать так, чтобы вас уважали и ценили? Как сделать лучше себе и другим людям Как сделать свидание интересным?


Категории:

АрхитектураАстрономияБиологияГеографияГеологияИнформатикаИскусствоИсторияКулинарияКультураМаркетингМатематикаМедицинаМенеджментОхрана трудаПравоПроизводствоПсихологияРелигияСоциологияСпортТехникаФизикаФилософияХимияЭкологияЭкономикаЭлектроника






Записываем уравнения Кирхгофа для мгновенных значений напряжений, токов и ЭДС





В соответствии с показанными на рис. 3-1 направлениями токов около каждой из индуктивно связанных катушек показаны стрелками направления напряжений взаимоиндукции.

Для этих напряжений характерно:

1) ;

, при этом .

2) Эти напряжения входят в расчетные уравнения Кирхгофа, в левую их часть (для напряжений). Знак выбирается по обычным правилам: если совпадают «+», если не совпадают «-».

Уравнения Кирхгофа:

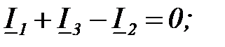
Узел А:

, или ;

Контур :

Контур :

Где: .

Уравнения Кирхгофа в комплексной форме:

Узел А:

Контур :

Контур :

где:

Для записи уравнений по методам контурных токов и узловых потенциалов, применим «развязывание» индуктивных связей:

Рисунок 3.2 Символическая схема замещения рассчитываемой схемы с использованием «развязки» индуктивных связей.

Здесь:

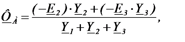
Уравнения по методу узловых потенциалов:

откуда:

где:

находим из того, что:

отсюда (с учетом того, что ):

По аналогии:

 

 

Уравнения по методу контурных токов составляем по схеме рис 3-2.

Контур :

Контур :







Date: 2015-07-27; view: 687; Нарушение авторских прав



mydocx.ru - 2015-2026 year. (1.023 sec.) Все материалы представленные на сайте исключительно с целью ознакомления читателями и не преследуют коммерческих целей или нарушение авторских прав - Пожаловаться на публикацию