Главная Случайная страница


Полезное:

Как сделать разговор полезным и приятным Как сделать объемную звезду своими руками Как сделать то, что делать не хочется? Как сделать погремушку Как сделать так чтобы женщины сами знакомились с вами Как сделать идею коммерческой Как сделать хорошую растяжку ног? Как сделать наш разум здоровым? Как сделать, чтобы люди обманывали меньше Вопрос 4. Как сделать так, чтобы вас уважали и ценили? Как сделать лучше себе и другим людям Как сделать свидание интересным?


Категории:

АрхитектураАстрономияБиологияГеографияГеологияИнформатикаИскусствоИсторияКулинарияКультураМаркетингМатематикаМедицинаМенеджментОхрана трудаПравоПроизводствоПсихологияРелигияСоциологияСпортТехникаФизикаФилософияХимияЭкологияЭкономикаЭлектроника






Найти действующие значения токов и напряжений ветвей без применения комплексного метода





Задание 1.

1. Расчетная схема с обозначениями сопротивлений, токов, напряжений.

Рис 1.0 Расчетная схема.

Заданные параметры схемы сведены в таблицу 1

Таблица 1

1 ветвь 2 ветвь 3 ветвь 4 ветвь
.. .. ..
Ом Ом Ом Ом Ом Ом Ом Ом Ом Ом Ом Ом
                -      

 

Найти действующие значения токов и напряжений ветвей без применения комплексного метода.

 

Расчетная схема имеет вид:

=1(Ом)

=1(Ом)

=-10(Ом)

=1(Ом)

=2(Ом)

=-1(Ом)

=1(Ом)

=1(Ом)

=1(Ом)

=3(Ом)

=-3(Ом)

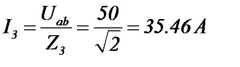
Действующее значение тока :

Действующее значение напряжения :

 

Действующее значение тока :

 

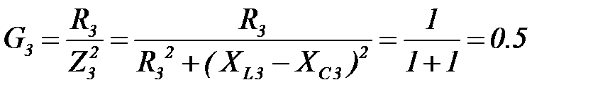
Для определения действующего значения тока заменим последовательные соединения и их параллельными моделями:

Рис. 1-2.

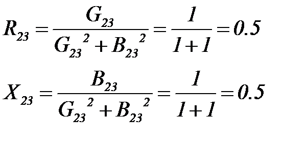
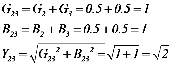
Находим эквивалентную проводимость параллельных ветвей:

Заменяем эквивалентную проводимость эквивалентным сопротивлением где:

Тогда

Действующее значение тока :

Напряжение на первой ветви

Напряжение на четвертой ветви

Общее сопротивление всей цепи найдем исходя из того, что они представляют собой последовательно включенные ветви , осюда:

Общее напряжение







Date: 2015-07-27; view: 918; Нарушение авторских прав



mydocx.ru - 2015-2026 year. (0.879 sec.) Все материалы представленные на сайте исключительно с целью ознакомления читателями и не преследуют коммерческих целей или нарушение авторских прав - Пожаловаться на публикацию