Главная Случайная страница


Полезное:

Как сделать разговор полезным и приятным Как сделать объемную звезду своими руками Как сделать то, что делать не хочется? Как сделать погремушку Как сделать так чтобы женщины сами знакомились с вами Как сделать идею коммерческой Как сделать хорошую растяжку ног? Как сделать наш разум здоровым? Как сделать, чтобы люди обманывали меньше Вопрос 4. Как сделать так, чтобы вас уважали и ценили? Как сделать лучше себе и другим людям Как сделать свидание интересным?


Категории:

АрхитектураАстрономияБиологияГеографияГеологияИнформатикаИскусствоИсторияКулинарияКультураМаркетингМатематикаМедицинаМенеджментОхрана трудаПравоПроизводствоПсихологияРелигияСоциологияСпортТехникаФизикаФилософияХимияЭкологияЭкономикаЭлектроника






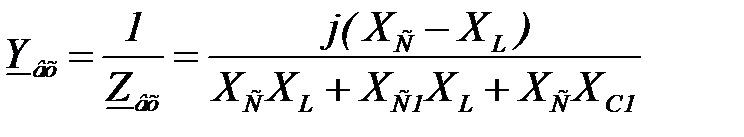
Задание 2. 1.Записать входное сопротивление и входную проводимость, выразив их через и





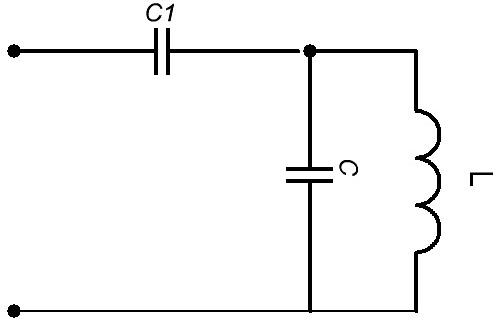
Рис 2.1

1.Записать входное сопротивление и входную проводимость, выразив их через и .

Входная проводимость:

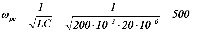
Определение резонансных частот.

Если то что означает резонанс токов в LC

Если (если при этом ), имеем что означает резонанс напряжений

Резонанс токов :

Резонанс напряжений

По условиям задачи => тогда:

Сократив уравнение на получим:

откуда частота резонанса напряжений:

Окончательно:

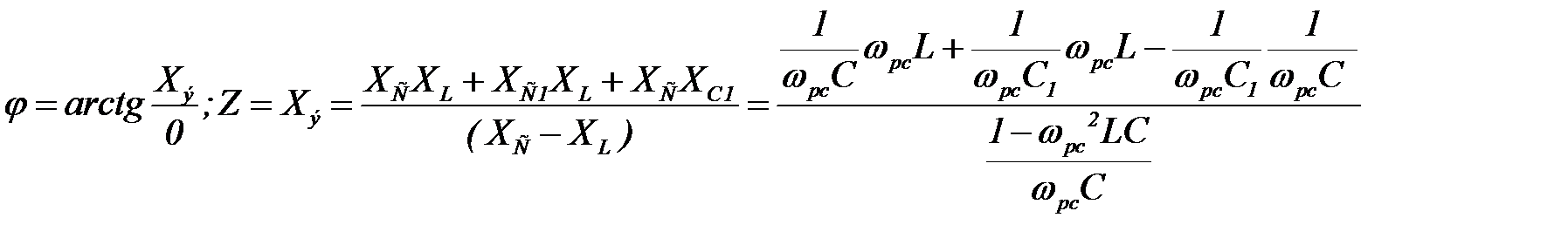
3. Строим амплитудно-частотную характеристику , для чего выразим через .

Т.к. =>

Полученное выражение может быть использовано для вычислений АЧХ по заданным точкам.

Расчеты по этому выражению сведены в таблицу 2,1

Табл. 2,1

  0,5( + )
               
-120,4   135,15 86,7 36,7 30,65


 

Задание 3.

Рисунок 3.1. Схема цепи.

Первая ветвь Вторая ветвь Третья ветвь M f
R1 C1 L2 E2 R3 L3 E3
Ом мкФ мГн   Ом мкФ   мГн Гц
             

 







Date: 2015-07-27; view: 836; Нарушение авторских прав



mydocx.ru - 2015-2026 year. (0.692 sec.) Все материалы представленные на сайте исключительно с целью ознакомления читателями и не преследуют коммерческих целей или нарушение авторских прав - Пожаловаться на публикацию