Главная Случайная страница


Полезное:

Как сделать разговор полезным и приятным Как сделать объемную звезду своими руками Как сделать то, что делать не хочется? Как сделать погремушку Как сделать так чтобы женщины сами знакомились с вами Как сделать идею коммерческой Как сделать хорошую растяжку ног? Как сделать наш разум здоровым? Как сделать, чтобы люди обманывали меньше Вопрос 4. Как сделать так, чтобы вас уважали и ценили? Как сделать лучше себе и другим людям Как сделать свидание интересным?


Категории:

АрхитектураАстрономияБиологияГеографияГеологияИнформатикаИскусствоИсторияКулинарияКультураМаркетингМатематикаМедицинаМенеджментОхрана трудаПравоПроизводствоПсихологияРелигияСоциологияСпортТехникаФизикаФилософияХимияЭкологияЭкономикаЭлектроника






Короткі теоретичні відомості. Основне рівняння теплопередачі для сталого процесу





Основне рівняння теплопередачі для сталого процесу

де Q - теплове навантаження, Вт;

К - коефіцієнт теплопередачі, Вт/(м2 );

F- поверхня теплообміну, м2;

- середня (корисна) різниця температур між середовищами, ° С.

Теплове навантаження Q (Вт) в залежності від характеру процесу визначають по одній з наступних формул.

1. При нагріванніG (кг/с) рідини чи газу від t1 до t2 (°C)

де c - середня теплоємність рідини чи газу в зазначеному інтервалі температур, Дж/(кг );

х1 - коефіцієнт, що враховує втрати тепла при нагріванні, х1 = 1,03—1,05.

2. При охолодженні G (кг/с) рідини чи газу від t1 до t2 (°C)

де х2 - коефіцієнт, що враховує втрати тепла при охолодженні х2 = 0,95—0,97.

Через труднощі обліку термічних опорів накипу й інших забруднень коефіцієнт теплопередачі іноді розраховують по формулі

де - коефіцієнт використання поверхні теплообміну (для технічних розрахунків приймають рівним 0,65—0,85, а для середовищ з інтенсивним виділенням осаду - 0,4-0,5).

Величину коефіцієнтів тепловіддачі і [ Вт/(м2 ) ] розраховують за однією з наступних формул.

1. При нагріванні чи охолодженні в прямих трубах чи каналах

а) при

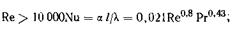
б) при
в) при

У цих рівняннях визначальним геометричним розміром є внутрішній діаметр труби, а визначальною температурою - середня температура середовища.

Еквівалентний діаметр dе (м) міжтрубного простору цього теплообмінника

dэ = Dв - dз.

Середню різницю температур (°С) при сталому теплообміні для прямотечії і протитечії визначають по одній з наступних формул:

а) при відношенні визначають як середньологарифмічну із більшою і меншою різницею температур середовищ

б) при відношенні - середньоарифметична:

.

Витрата гострої (відкритої) пари D (кг/с) на нагрівання G (кг/с) рідини чи газу від t1 до t2 (°C)

D = G c (t2 — t1) x1 / (i – ск t2),

де с - середня теплоємність середовища, Дж/(кг );

х 1 = l,03-1,05 - коефіцієнт, що враховує тепловтрати при нагріванні;

і - ентальпія гріючої пари, Дж/(кг );

ск - теплоємність конденсату, Дж/(кг ).

 

Кожухотрубний теплообмінник. Загальне число труб п діаметром dcер. (м) і довжиною l (м) для поверхні теплообміну F (м2)

Число труб n1 в одному пучку (ході) багатоходового теплообмінника

,

де V – об’єм рідини, м3/с;

d вн - внутрішній діаметр труб, м;

w - швидкість рідини в трубах, м/с.

Число ходів z у теплообміннику z = п/п1.







Date: 2015-07-27; view: 468; Нарушение авторских прав



mydocx.ru - 2015-2026 year. (4.367 sec.) Все материалы представленные на сайте исключительно с целью ознакомления читателями и не преследуют коммерческих целей или нарушение авторских прав - Пожаловаться на публикацию