Главная Случайная страница


Полезное:

Как сделать разговор полезным и приятным Как сделать объемную звезду своими руками Как сделать то, что делать не хочется? Как сделать погремушку Как сделать так чтобы женщины сами знакомились с вами Как сделать идею коммерческой Как сделать хорошую растяжку ног? Как сделать наш разум здоровым? Как сделать, чтобы люди обманывали меньше Вопрос 4. Как сделать так, чтобы вас уважали и ценили? Как сделать лучше себе и другим людям Как сделать свидание интересным?


Категории:

АрхитектураАстрономияБиологияГеографияГеологияИнформатикаИскусствоИсторияКулинарияКультураМаркетингМатематикаМедицинаМенеджментОхрана трудаПравоПроизводствоПсихологияРелигияСоциологияСпортТехникаФизикаФилософияХимияЭкологияЭкономикаЭлектроника






Глава 6 «СТАТИКА СООРУЖЕНИЙ». Определение усилий в сечениях трёхшарнирной арки





Министерство образования и науки Российской Федерации

 

Федеральное государственное образовательное учреждение

Среднего профессионального образования

«Ижевский монтажный техникум»

 

Определение усилий в сечениях

Трёхшарнирной арки

Методические рекомендации для студентов

 

 

СОГЛАСОВАНО Цикловая комиссия Естественно-научных дисциплин     Председатель   _____________ И.Н. Невоструева «» __________ 2011 г.   Составлена в соответствии с Государственными требованиями к минимуму содержания и уровню подготовки выпускников по специальностям СПО   Заместитель директора по учебной работе ___________ О.Л. Меркушева «» __________ 2011 г.  

 

 

Составители: Шадрин А.В., И.Н. Невоструева

 

Рецензент: Курбанова Д.М., преподаватель ИМТ

Содержание

Введение. 3

Глава 6 «СТАТИКА СООРУЖЕНИЙ». Определение усилий в сечениях трёхшарнирной арки. 4

(Пример нечётного варианта) 4

Построение эпюр в Microsoft Excel 9

Чётный вариант. 9

Построение эпюр изгибающих моментов, поперечных и продольных сил. 12

Нечётный вариант. 16

Формулы используемые для вычисления x, y, tga, sin a, cos a, Qб, Mб, Q, M, N. 20

Список литературы.. 24

Введение.

Дисциплина «техническая механика» содержит в себе задания для расчётно-аналитических и расчётно-графических работ по всем разделам курса технической механики. Данная методичка содержит задание для расчётно-графической работы «Определение усилий в сечениях трёхшарнирной арки» как для чётного так и нечётного вариантов и построения эпюр Q,M,N в Excel.


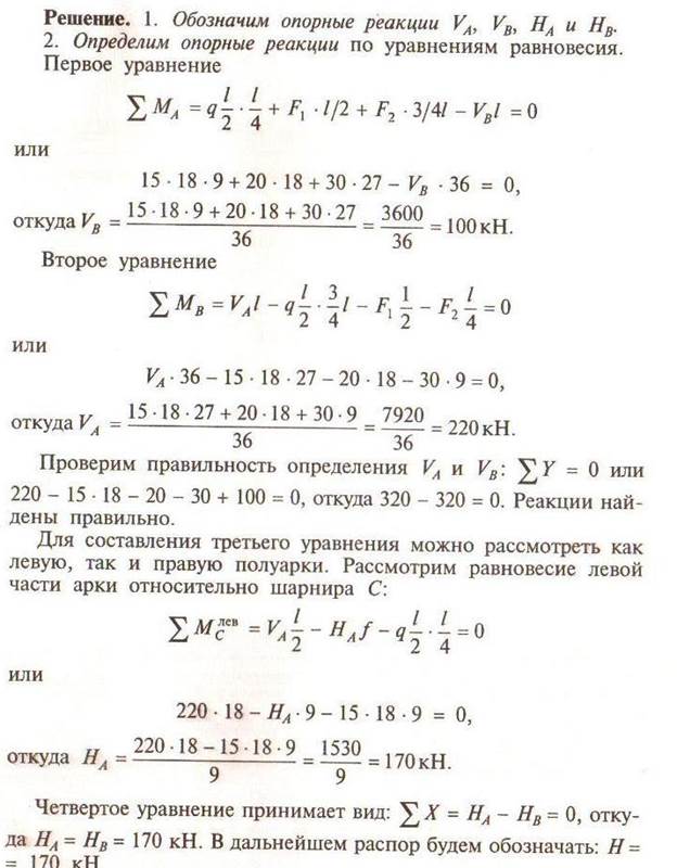
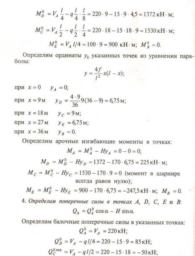
Глава 6 «СТАТИКА СООРУЖЕНИЙ». Определение усилий в сечениях трёхшарнирной арки.

(Пример нечётного варианта)

 







Date: 2015-07-27; view: 2146; Нарушение авторских прав



mydocx.ru - 2015-2026 year. (1.238 sec.) Все материалы представленные на сайте исключительно с целью ознакомления читателями и не преследуют коммерческих целей или нарушение авторских прав - Пожаловаться на публикацию