Главная
Случайная страница
Полезное:
Как сделать разговор полезным и приятным
Как сделать объемную звезду своими руками
Как сделать то, что делать не хочется?
Как сделать погремушку
Как сделать так чтобы женщины сами знакомились с вами
Как сделать идею коммерческой
Как сделать хорошую растяжку ног?
Как сделать наш разум здоровым?
Как сделать, чтобы люди обманывали меньше
Вопрос 4. Как сделать так, чтобы вас уважали и ценили?
Как сделать лучше себе и другим людям
Как сделать свидание интересным?
Категории:
АрхитектураАстрономияБиологияГеографияГеологияИнформатикаИскусствоИсторияКулинарияКультураМаркетингМатематикаМедицинаМенеджментОхрана трудаПравоПроизводствоПсихологияРелигияСоциологияСпортТехникаФизикаФилософияХимияЭкологияЭкономикаЭлектроника
|
Виконати перетворення координат земельної ділянки, отриманих в розділі 4, в іншу систему координат для якої відомі параметри трансформації
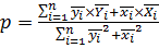
Формули для чисельного розрахунку перетворення:
x, y – вихідні координати
X, Y – трансформовані координати
xo, yo, Xo, Yo – проміжні координати точок
n – кількість опорних точок
p, q – проміжні параметри перетворення
µ - коефіцієнт масштабування
α – кут повороту
С1, С2 – ключі паралельного переносу
1. ; ; ; .
2. ; ; ; .
3. ; .
4. ; .
5. ; 
Відхилення рахується в останню чергу:
;
.
Щоб перейти в іншу систему координат потрібно мати необхідні параметри які розраховуємо за формулами:
С1 = 586145,32+5 nC2 = 256963,86+5 n
α=2°14′23′′+5n µ= 1,0000452
де n – номер прізвища студента в журналі групи.
С1= 56775,12 м
С2= 23509,76 м
A=26,166
M=1,000
Проектування меж земельної ділянки(трикутником)
|
точки
| Координати
| | вихідні
| трансформовані
| | X
| Y
| X
| Y
| | 1
| 906,2
| 46,7
| 57567,889
| 23951,313
| | 2
| 835,95
| 386,89
| 57604,228
| 23911,199
| | 3
| 833,68
| 765,64
| 57608,838
| 24275,435
| | 4
| 699,98
| 736,16
| 57475,132
| 24245,953
| | 5
| 582,13
| 863,16
| 57357,276
| 24372,959
| | 6
| 505,08
| 652,24
| 57280,223
| 24162,029
| | 7
| 371,38
| 752,03
| 57146,517
| 24261,824
| | 8
| 210,48
| 663,58
| 56985,61
| 24173,37
| | 9
| 219,09
| 46,7
| 56994,22
| 23556,462
|
Розрахунок площі земельної ділянки
| № точки
| Координати
| Обчислення площі
| | Х
| Y
| Xi-1-Xi+1
| Yi+1-Yi-1
| Yi*(Xi-1-Xi+1)
| Xi*(Yi+1-Yi-1)
| | 1
| 57567,89
| 23951,31
| -610,01
| 354,74
| -14610487,37
| 20421466,45
| | 2
| 57604,23
| 23911,20
| -40,95
| 324,12
| -979106,95
| 18670751,49
| | 3
| 57608,84
| 24275,43
| 129,10
| 334,75
| 3133862,41
| 19284792,43
| | 4
| 57475,13
| 24245,95
| 251,56
| 97,52
| 6099345,22
| 5605228,18
| | 5
| 57357,28
| 24372,96
| 194,91
| -83,92
| 4750504,43
| -4813640,19
| | 6
| 57280,22
| 24162,03
| 210,76
| -111,14
| 5092377,88
| -6365838,89
| | 7
| 57146,52
| 24261,82
| 294,61
| 11,34
| 7147856,42
| 648070,79
| | 8
| 56985,61
| 24173,37
| 152,30
| -705,36
| 3681528,91
| -40195476,71
| | 9
| 56994,22
| 23556,46
| -582,28
| -222,06
| -13716469,44
| -12655942,03
| | ∑
|
|
|
|
| 599417,52
| 599417,52
| Вирахування площ за координатами
| №
| Координати
| Обчислення площі
| | X
| Y
| Xi-1-Xi+1
| Yi+1-Yi-1
| Yi*(Xi-1-Xi+1)
| Xi*(Yi+1-Yi-1)
| |
| 57608,84
| 24275,43
| 133,71
| 29,48
| 3245772,309
| 1698385,298
| |
| 57475,13
| 24245,95
| 251,56
| -97,52
| 6099345,224
| -5605228,182
| |
| 57357,28
| 24372,96
| 194,91
| 83,92
| 4750504,425
| 4813640,195
| |
| 57280,22
| 24162,03
| 210,76
| 111,14
| 5092377,878
| 6365838,886
| |
| 57146,52
| 24261,82
| 294,61
| -11,34
| 7147856,416
| -648070,791
| |
| 56985,61
| 24173,37
| -462,32
| -13,61
| -11175854,07
| -775609,201
| |
| 56994,22
| 23556,46
| -623,23
| -102,06
| -15129134,65
| -5879823,73
| | ∑
|
|
|
|
| 30867,52
| 30867,52
| |
|
| Рішення оберненої геодезичної задачі
| Позначення
| 1)8
| 1)8
| | 2)3
| 2)9
| | X2
| 57608,84
| 56994,22
| | X1
| 56985,61
| 56985,61
| | ΔX
| 623,23
| 8,61
| | Y2
| 24275,43
| 23556,46
| | Y1
| 24173,37
| 24173,37
| | ΔY
| 102,66
| -616,91
| | α
| 9°18`0,7``
| 270°47`58,5``
| | d1
| 631,53
| 617,00
| | d2
| 631,56
| 616,97
| | dсер
| 631,54
| 616,98
|
B=93°30`2,12``
α=98°50`17,76``
△x=-14,610
△y=97,752
Координати точки 10
X=56971,00
Y=24271,12
d =637,852 d=715,037
Напрямок 3-10
X=-637,84
Y=-4,31
α =180°23`13,7``
| №
| Координати
| Обчислення площі
| | Х
| Y
| Xi-1-Xi+1
| Yi+1-Yi-1
| Yi*(Xi-1-Xi+1)
| Xi*(Yi+1-Yi-1)
| |
| 57567,89
| 23951,31
| -36,34
| 40,11
| -870333,83
| 2300289,45
| |
| 57604,23
| 23911,20
| -40,95
| -324,12
| -979106,94
| -18670751,49
| |
| 57608,84
| 24275,43
| 633,23
| -359,92
| 15371894,47
| -20734759,84
| |
| 56971,00
| 24271,12
| 614,62
| 718,97
| 1491746,339
| 40960581,56
| |
| 56994,22
| 23556,46
| -596,89
| 319,81
| -14060634,8
| 18227267,47
| |
| 57567,89
| 23951,31
| -537,67
| -394,85
| -13740153,53
| -22730755,91
| | ∑
|
|
|
|
| 599417,52
| 599417,52
|
Date: 2015-07-22; view: 523; Нарушение авторских прав | Понравилась страница? Лайкни для друзей: |
|
|