Главная Случайная страница


Полезное:

Как сделать разговор полезным и приятным Как сделать объемную звезду своими руками Как сделать то, что делать не хочется? Как сделать погремушку Как сделать так чтобы женщины сами знакомились с вами Как сделать идею коммерческой Как сделать хорошую растяжку ног? Как сделать наш разум здоровым? Как сделать, чтобы люди обманывали меньше Вопрос 4. Как сделать так, чтобы вас уважали и ценили? Как сделать лучше себе и другим людям Как сделать свидание интересным?


Категории:

АрхитектураАстрономияБиологияГеографияГеологияИнформатикаИскусствоИсторияКулинарияКультураМаркетингМатематикаМедицинаМенеджментОхрана трудаПравоПроизводствоПсихологияРелигияСоциологияСпортТехникаФизикаФилософияХимияЭкологияЭкономикаЭлектроника






Основна суть методу тригонометричного нівелювання





Геодезичне (тригонометричне) нівелювання у XVII-XVIII ст. було основним методом визначення висот опорних пунктів та широко застосовувався для висотного обгрунтування топографічного знімання. В ХІХ-ХХ ст. в зв’язку з розвитком методу геометричного нівелювання стрімким зростанням об’ємів великомасштабних топографічних знімань з малими висотами перерізу рельєфу та відсутністю точних теодолітів, зацікавленість до геодезичного нівелювання стала поступово слабшати.

На сьогоднішній день більшість вишукувальних організацій та підприємств мають високоточні теодоліти (електронні тахеометри) та світловіддалеміри, що дозволяє знову розпочати широке застосування тригонометричного методу нівелювання. Перевищення між двома точками планово-геодезичного обгрунтування можна визначити двічі встановлюючи теодоліт на одну або іншу точку, вимірюючи вертикальний кут. Так як відстань від точки відома, то перевищення вираховують за формулою:

або з врахуванням кривизни землі і рефракції за формулою:

- горизонтальне прокладання між двома точками;

- вертикальний кут; - висота наведення;

і- висота приладу; - поправка в перевищення за кривизну землі;

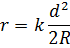
- поправка за рефракцію.

де - коефіцієнт рефракції







Date: 2015-07-22; view: 669; Нарушение авторских прав



mydocx.ru - 2015-2026 year. (3.742 sec.) Все материалы представленные на сайте исключительно с целью ознакомления читателями и не преследуют коммерческих целей или нарушение авторских прав - Пожаловаться на публикацию