Главная Случайная страница


Полезное:

Как сделать разговор полезным и приятным Как сделать объемную звезду своими руками Как сделать то, что делать не хочется? Как сделать погремушку Как сделать так чтобы женщины сами знакомились с вами Как сделать идею коммерческой Как сделать хорошую растяжку ног? Как сделать наш разум здоровым? Как сделать, чтобы люди обманывали меньше Вопрос 4. Как сделать так, чтобы вас уважали и ценили? Как сделать лучше себе и другим людям Как сделать свидание интересным?


Категории:

АрхитектураАстрономияБиологияГеографияГеологияИнформатикаИскусствоИсторияКулинарияКультураМаркетингМатематикаМедицинаМенеджментОхрана трудаПравоПроизводствоПсихологияРелигияСоциологияСпортТехникаФизикаФилософияХимияЭкологияЭкономикаЭлектроника






Классификация дорог на ГМС





Классификация автомобильных дорог по ТКП 45-3.03-19-2006.

Согласно ТКП автомоб дороги подраздел на дороги общего и не общего пользования. Дороги общего пользования подразделяются на республиканские и местные. Автомоб дороги на всем протяжении или на отдельных участках подразделяют на классы и категории в соотв

Классы дорог

автомагистрали
Скоростные авт дороги
Обычные авт дороги
Авт дороги низших категорий

Категории дорог

1-а
1-б
1-в      
6-а 6-б

30. С/х дороги – это сочетание сети внутрихоз дорог, колхозов и совхозов, подъездов к центральным усадьбам а также некоторых местных дорог, используемых для перевозок к агропромыш комплексу данного района.

 

31. К внутрихоз относят: дороги, соединяющие отделения и фермы колхозов и совхозов и др с/х объекты с ж/ди водными путями, дорогами общего пользования и между собой.

 

32. К внешнехозяйств дорогам относят основ дороги и подъездные пути, необходимые для связи хоз-го центра колхоза или совхоза с сущ сетью автом дорог с ж/д и водными путями располож вне территории хоз-ва, с элеваторами нефтебазами, пунктами сдачи с/х продукции а также с отдельными населенными пунктами района.

 

33. Классиф. внутрихоз. дорог: внутрихоз дороги согласно СНиП 2.05.11-83 делят на категории 1-с, 2-с,3-с в зависимости от объема выполн по ним грузовых перевозок.

К категории 1-с относят дороги расчет объем грузовых перевозок по кот в месяц пик составляет более 10000 тон нетто. К категории 2-с менее 10000 тон нетто и кот соединяют центр усадьбы колхозов и совхозов с их бригадами и отделениями. К категории 3-с относят полевые дороги предназначенные для транспортного обслуживания, отдельных с/х угодий.

 

Классификация дорог на ГМС.

Дороги на ГМС классиф согласно таблице:

Дороги Интенсивность движения, ед/сут Тип покрытия Материал дорог
.Магистральные )3000 2000….3000 1500….2000 Капитальный Капитальный облегченный Цементобетон Асфальтобетон Щебеночногравийная смесь, обработан. битумным вяжущим
Межхозяйст 1500….2000 облегчен Асфальтобетон из смесей укладыв. в теплом состоянии
  1500…1000 облегчен Щебеночно-гравийные обработанные битумным мат-ом по способу пропитки
Внутрихоз. инспект. вдоль магистр. каналов До 500 переходный Щебеночные, гравийные, шлаковые, необраб. вяжущие
Внутрихоз. инспект.вдоль прочих каналов До 300 переходный Грунтовые, укрепленные органич. вяжущими
Полевые магистральные До 200 низший грунтовые
полевые: Тип а Тип б   До 50 До 10   Низший низший   Грунтовые Грунтовые

 

35. Конфигурация сети полевых дорог: постоянные, соед полевой массив с центр усадьбами, колхозов, совхозов и со складами. Направление этих дорог не изменяют в зависимости от севооборота, т.к. их местоположение опред размещением хозяйственных предприятий колхозов и совхозов пост полевых ставов и принятых системой землепользования.

временные дороги, проклад в контуре отдельного полевого массива, их направление можно периодически менять в зависимости от изиенения расположения полей севооборота.

36. Схемы организации перевозок в зависимости от характера с/х производства Примен 2схемы организации перевозок:

1) продукцию с полей вывозят в опред. пункты внутри хозяйства, где ее обрабатывают или хранят а затем вывозят на заготов. пункты.

2) продукцию обрабат. на месте, после чего вывозят на заготов. пункты.

37. По назначению полевые дороги делят на:

1) основные дороги, кот обслуживают весь массив или большие части севооборотов, садов и др. угодий. Они связывают поля с населенным пунктом и произв. центром.

2) линии обслуживания, для заправки агрегатов для перевозки грузов с полей и из садов а также для произв. и переходов людей. Размещ. эти дороги по коротким сторонам полей.

3) вспомогат. дороги, для вывоза урожая с полей, подвоза удобрений и при раб. поперек поля они выполн. функции линий обслуживания. Размещ. по длинным сторонам полей.

38. Требования при проложении трассы дорог на ГМС:

1) эконом. целесообразно обходить болотные участки, если это не связано со значит. удлинением и извилистостью дороги.

2) пересекать болотные участки в наиб. узком и мелком месте перпендикулярно направ. течения воды.

3) не рекомендуется пересекать болотные участки в местах больших попереч. уклонов дна во избежание сползания зем. полотна.


4) необход. рассматривать варианты трассы и выбирать проектный на основе технико-эконом. сравнения.

5) обязательным явл изучение гидрологич режима болот, создавая условия свободного прохода воды, исключая ее застой и заиление процесса заболачивания.

6) трассирование выполняется по картам крупного масштаба с последующим осмотром местности.

7) для назначенных вариантов трасы выполн съемку плана масштабом 1:1000 или 1:2000 с сечением горизонталей 0,25-0,3м и съемку мощности торфа.

8) при пересечении болот с большим попереч уклоном дна проводят полное выторфовывание и выравнивание дна болота. При поперечном уклоне более 100 промилей на дне болота делают уступы и рыхление взрывом.

9) для пропуска пост ручьёв и поверхностных вод предпочтения отдается мостам, располагая их у края болота.

39. Показатели, учитываемые при оценке вариантов трасс внутрихоз автодорог:

1) насколько они удовлетв. требов. экономически народного хозяйства (степень удобства и полнота обслужив. производства администр. связей уровень удовлетвор. запросов населения, степень связи с др. видами транспорта, общая стоимость строительства.

2) эксплуат. показатели, длины трасы, коэф. развития, извилистость, степень пологости трассы, обеспечение безопасности движения, сред. скорость, расход топлива, себестоимость перевозок.

3) условия строительства, объемы строит работ, условия снабжения дорожно-строит. материалами, протяженность участков сооружаемых в неблагопр. грунтово-геологич. условиях, необход. затраты рабочей силы, машин, материалов и сроки строительства.

40. Коэфф. развития автодороги (коэф. удлинения) -удлинение дороги вызванное введением угла поворота

 

41. Воздушная линия - отношение фактической длины дороги к длине прямой, соединяющей начальный и конечный ее пункты

42. Трасса автодороги -положение геометр. оси дороги на местности, кот. измен. свое направление в плане и продольном профиле, и поэтому явл. пространственной линией.

 

43. План трассы автодороги -графич. изображение проекции трасы на гориз. плоскость, выполненное. в уменьш. масштабе.

 

44. Угол поворота трассы: в простейшем случае трассирование дороги прямыми и дугами окружности, каждое изменение, направление трассы опред. углом поворота, кот. измеряют между продолжением направления трассы и новым ее направлением.

45. Привязка трассы автодороги к местности: углы поворота вдоль дороги последовательно нумеруют по ходу трассы. Для воспроизведения трассы на местности ее ориентируют относительно сторон света. Для чего вычисляют румбы прямых участков трассы.

46. Основные геометрические элементы кругового закругления (схема):

угол поворота ; радиус R; кривая ; тангенс ; биссектриса ; ;

домер ;

47. Понятие переходной кривой: в момент въезда автомобиля с прямого участка на кривую в плане условие движения автомобиля изменяется, на него начинает действовать центробежная сила. Практика показала, что при въезде на кривые с радиусом меньше 600м водитель снижает скорость движения. Чтобы изменение условий движения не происходило слишком быстро между прямым участком и кривой малого радиуса вводят переходную кривую, в пределах кот. кривизна оси дороги плавно изменяется от нуля на прямом участке до значения 1/R в начальной точке круговой кривой. На автодорогах общего пользования автомобили проезжают кривые без снижения скорости, в этих случаях применяют переходные кривые простого очертания.


48. Уравнение клотоиды: , т. е. основ. переход. кривой.

 

49. Геометрич. элементы закругления с переходными кривыми и круговой вставкой (рис 5.8):

1 – угол поворота ; 2 – длина переходной кривой L; 3 – угол смещения ; 4 – сдвижка круговой кривой ;5 – тангенс ;6 – смещение ;

Где и - координаты конца переходной кривой.

7 элемент – биссектриса ;8 – длина кругового закругления ; 9 – домер ;

Разбивка переходной кривой возможна только при условии . Если условие не соблюдается, нужно уменьшить L или увеличить радиус. Введение переходных кривых нецелесообразно, если сдвижка м.

50. Понятие виража: во многих случаях местные условия не позволяют разместить кривую расчетного радиуса. В этих случаях для повышения устойчивости автомобиля и большей уверенности управления на кривых устраивают односкатный поперечный профиль – вираж, с уклоном проезжей части и обочины к центру кривой.

51. Понятие отгона виража: необходимую минимальную длину отгона виража, кот. не должна быть меньше длины переходной кривой, определяют. исходя из дополнит. уклона, возникающего у внешней кромки проезжей части в результате ее поднятия при устройстве виража.

52. Продольный профиль дороги – разрез земл. полотна вертикальной плоскостью в продольном направлении по оси дороги.

 

53. Прод. уклон дороги: продольный профиль характеризует крутизну отдельных участков измеряемую продольным уклоном и расположение проезжей части дороги относительно поверхности земли.

54. Выемка – места, где поверхность дороги в результате срезки грунта расположена ниже поверхности земли.

 

55. Насыпь – участки, где дорога проходит выше поверхности земли по искусственно насыпанному грунту.

56. Понятие «нулевых отметок»: при высоте насыпей до 1 м говорят, что дорога проходит в нулевых отметках.

57. Рабочая отметка -разница между отметкой поверхности земли по оси дороги и отметкой оси дороги, определяющая высоту насыпи или глубину выемки .(схема)

58. Масштабы прод. профиля: для дорог в равниной местности приняты следующие масштабы продольного профиля: Мг 1:5000; Мв 1:500 и масштаб грунтового профиля 1:50.

59. Чёрная линия прод. профиля - тонкая линия на продольном профиле, соед. отметки поверхности земли

 

60. Проектная линия прод. проф. – линия, соответств. отметкам оси дороги. Она изображ. на прод. проф. и обознач. в 2 раза толще, чем черная линия.

61-62. Уравнение вертик. кривых. Основные зависимости для расчета. Вертик. кривые на автодорогах описывают по квадратичной параболе с уравнения:


Где R – радиус кривизны в начале координат расположенном в вершине кривой.

Знак «+» соотв. выпуклым кривым, знак «-» вогнутым.

63. Основные элементы вертик. кривых (схема):

1) тангенс ;

2) алгебраическая разность уклонов ;

3) длина кривой ;

4) биссектриса ;

64. Схемы переломов проектной линии в прод. проф.: вертик. кривые бывают выпуклые и вогнутые. Сущ. след схемы:

 

65. При проектировании продольного профиля необход. предусмотреть:

1) продольные уклоны не превышающие допускаемый;

2) возвышение поверх дороги над источниками увлажнения необходимое для создания благоприятного водно-теплового режима грунтового основания;

3) возвышение с земл. полотна над уровнем снегового покрова обеспечивающие незаносимость дороги снегом;

66. Проектирование продольного профиля (нанесение проектной линии) - положение поверхности дороги в продольном профиле по отношению к поверхности земли.

 

67. Методы нанесения проектной линии (схема):

1) по обертывающей, когда проектная линия максимально повторяет линию поверхности земли;

2) по секущей, характеризуется нанесением проектной линии с обеспечением примерного.

 

68. При нанесении проектной линии необход. обеспечить:

1) плавность продольного профиля;

2) допустимый продольный уклон;

3) достаточную видимость позволяет автомобилям развивать высокие скорости;

4) отвод воды от земляного полотна;

5) отсут. пилообразности проектной линии;

6) прохождение дороги через контрольные точки:

6.1 имеющие высотные отметки(примыкание к сущ дорогам в начале и конце трассы);

6.2 пересечение с дорогами более высоких категорий с ж/д;

6.3 отметки проезжей части мостов;

6.4 отметки зем. полотна над уровнем высоких вод в затопл. местностях;

 

69. Руководящая (рекомендуемая) рабочая отметка – это наименьшая высота насыпи, обеспечивающая нормальные условия эксплуатации зем. полотна. Ее расчет выполн. в зависимости от типа местности по увлажнению, водно-теплового режима зем. полотна и снегонакопления.

 

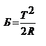
71. Для 1-го типа местности по условиям увлаж. расчет проводится по условию снегонезаносимости:

Где -расчетная высота снегового покрова 5% обеспеченности; -возвышение бровки насыпи над расчетным уровнем снегового покрова, для в/х дорог .

72. Для 2-го и 3-го типа местности расчет ведется по условию оптим. водно-теплового режима зем. полотна. Для второго типа местности:

Где минимальное возвышение поверх покрытия над поверх земли в зависимости от грунта и дорожно-климатической зоны; а-ширина обочины; -поперечный уклон обочины.

73. Для 3-го типа местности:

-глубина залегания грунтовых вод.

75. Полоса отвода или дорожная полоса -полоса местности, выделяемая для расположения на ней дороги, разработки грунта, предназначенного для отсыпки насыпей, постройки вспомогат. сооружений и посадки зеленых насаждений.

76. Поперечный профиль изображение, в уменьш. масштабе, сечения дороги в вертик. плоскости перпендикулярно к оси дороги.







Date: 2015-07-24; view: 976; Нарушение авторских прав



mydocx.ru - 2015-2026 year. (0.347 sec.) Все материалы представленные на сайте исключительно с целью ознакомления читателями и не преследуют коммерческих целей или нарушение авторских прав - Пожаловаться на публикацию