Главная Случайная страница


Полезное:

Как сделать разговор полезным и приятным Как сделать объемную звезду своими руками Как сделать то, что делать не хочется? Как сделать погремушку Как сделать так чтобы женщины сами знакомились с вами Как сделать идею коммерческой Как сделать хорошую растяжку ног? Как сделать наш разум здоровым? Как сделать, чтобы люди обманывали меньше Вопрос 4. Как сделать так, чтобы вас уважали и ценили? Как сделать лучше себе и другим людям Как сделать свидание интересным?


Категории:

АрхитектураАстрономияБиологияГеографияГеологияИнформатикаИскусствоИсторияКулинарияКультураМаркетингМатематикаМедицинаМенеджментОхрана трудаПравоПроизводствоПсихологияРелигияСоциологияСпортТехникаФизикаФилософияХимияЭкологияЭкономикаЭлектроника






Е. Расчет шпунтовых ограждений





- Шпунтовые стенки рассчитывают по первой группе предельных состояний;

- Подавляющее большинство методов основано на классической теории предельного равновесия грунтов (Ea, Eп, Eо)

Рис. 14.6. Работа безанкерной шпунтовой стенки:

а – действующие силы; б – фактическая эпюра давления грунта; в – эпюра давления грунта, принятая в расчете; 1 – активное давление; 2 – пассивное давление; 3 – предельное активное давление; 4 – предельное пассивное давление.

Безанкерные шпунтовые стенки (рис. 14.6)

Задача состоит в определении глубины ее забивки, усилий, действующих в стенках, и размеров поперечного сечения шпунта.

- Принимается, что под действием Ea, стенка стремится повернуться вокруг т.О, расположенной на некоторой глубине to ниже дна котлована

- Устойчивость стенки обеспечивается вследствие уравновешенного активного и пассивного давления грунта с разных ее сторон.

- За счет перемещений и гибкости стенки получается довольно сложным криволинейная эпюра давлений грунта на стенку (рис. 14.6. б)

- С целью упрощения расчета эта эпюра заменяется на более простую (рис. 14.6. в). После этого задача становится статически определимой с двумя неизвестными to и Eр’, которые находятся из уравнений равновесия.

равновесие момента относительно т. О

∑Мт.о.=0 следовательно приводит к уравнению 3й степени относительно to; to

будучи определена, позволяет найти Eр’ из ∑X=0 – уравнение равновесия горизонтальных сил.

- Поскольку полученная to определена из условия предельного состояния, для обеспечения запаса, ее увеличивают на величину ∆t

полная глубина заделки шпунтовой стенки ;

∆t определяется из условия реализации обратного отпора грунта Eр

 

где qto – вертикальное давление грунта на глубине приложенной силы Eр

λр, λа – коэффициент активного и пассивного давления грунта

- На практике чаще всего составляется только одно уравнение моментов, не содержащее Eр’, и определяется to, а полная заделка шпунтовой стенки в грунт принимается равной

Анкерные шпунтовые стенки

- В зависимости от жесткости стенки различают 3 расчетные схемы:

  • свободно опертая стенка (схема Ю.К.Якоби)
  • заделанная стенка (схема Блюма-Ломейера)

Рис. 14.7. Расчет заанкеренной стенки схеме Э.К.Якоби:

а – схема работы стенки; б – расчетная схема

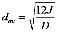
Критерий жесткости шпунтовой стенки определяется отношением:

dav – приведенная высота стенки

J – момент инерции приведенного сечения стенки «М»

D – ширина шпунтины, м;

t – глубина заложения стенки, м.

- При - стенка повышенной жесткости (ж/б стена или стенка из буронабивных свай) ее следует рассчитывать по схеме «свободного опирания».

Свободно опертая стенка (схема Э. К. Якоби)

- Расчет исходит из предположений, что в момент потери устойчивости стенка под действием сил активного давления грунта Ea, будет поворачиваться вокруг точки крепления анкера (рис. 14.7 а). При этом на дне котлована возникает выпор грунта и реакция массивного давления

Упрощенная расчетная схема – рис.14.7. б

- Необходимо найти:

- to,- длина заделки стенки;

- R - усилия в стенке и в анкере;

- подобрать сечение стенки и анкера.

  • Приняв т.О (точка крепления анкера) – неподвижной to и R определяют из уравнений равновесия:

За расчетное значение заделки принимают

 

Заделанная стенка (схема Биома-Ломейера) или (метод упругой линии)

  • Расчет ведется в предположении, что нижний участок забитой части стенки полностью защемлен в грунте.
  • Упрощенная диаграмма строится по аналогии т.О расположена на расстоянии 0,2to от нижнего конца стенки (рис. 14.8)
  • Задача статически неопределенна, т.к. содержит три неизвестные:

t; R; Усилие в анкере; и Eр

 

 

Рис. 14.8. Расчет заанкерной стенки по схеме Блюма-Ломейера:

а – схема работы стенки; б – расчетная схема.

Необходимо помимо уравнений равновесия добавочное условии – это равенство …угла поворота защемленного участка в месте заделки стенки, т.е. в т. О

- Решение ведется методом последовательных приближений.

  1. Задаемся to - глубиной заделки, определяем t

  1. Из уравнение равновесия находим R и Eр
  2. Строим эпюру изгибающих моментов выше т.О
  3. Путем двойного интегрирования составленного уравнения моментов получаем уравнение упругой линии стенки.

(Две постоянные интегрирования определяются из условия, что точка анкеровки и т.О являются неподвижными)

  1. Из уравнения упругой линии стенки определяют угол ее поворота в т.О

Если угол θ≠0, то изменяем глубину to и производим действия п.п 1-5 заново.


  1. Дальнейший расчет заключается в построении эпюры изгибающих моментов и определении Ммах, по которому проверяют сечение шпунта.

- Объем вычислений можно существенно сократить если использовать графоаналитический метод расчета, изложенный в справочнике проектировщика.

 







Date: 2015-07-24; view: 1229; Нарушение авторских прав



mydocx.ru - 2015-2026 year. (0.706 sec.) Все материалы представленные на сайте исключительно с целью ознакомления читателями и не преследуют коммерческих целей или нарушение авторских прав - Пожаловаться на публикацию