Главная Случайная страница


Полезное:

Как сделать разговор полезным и приятным Как сделать объемную звезду своими руками Как сделать то, что делать не хочется? Как сделать погремушку Как сделать так чтобы женщины сами знакомились с вами Как сделать идею коммерческой Как сделать хорошую растяжку ног? Как сделать наш разум здоровым? Как сделать, чтобы люди обманывали меньше Вопрос 4. Как сделать так, чтобы вас уважали и ценили? Как сделать лучше себе и другим людям Как сделать свидание интересным?


Категории:

АрхитектураАстрономияБиологияГеографияГеологияИнформатикаИскусствоИсторияКулинарияКультураМаркетингМатематикаМедицинаМенеджментОхрана трудаПравоПроизводствоПсихологияРелигияСоциологияСпортТехникаФизикаФилософияХимияЭкологияЭкономикаЭлектроника






Тротиловый эквивалент. Избыточное давление во фронте ударной волны





 

Для оценки уровня воздействия случайных и преднамеренных взрывов широко применяется метод оценки через тротиловый эквивалент. По этому методу степень разрушения характеризуют тротиловым эквивалентом, где определяют массу тротила, которая требуется, чтобы вызвать данный уровень разрушений. Тротиловый эквивалент взрыва парогазовой среды Wτ (кг) определяемый по условиям адекватности характера и степени разрешения при взрывах парогазовых облаков, а также твердых и жидких химически нестабильных соединений, рассчитывается по формулам:

1 Для парогазовых сред

 

 

где 0,4 − доля энергии взрыва парогазовой среды, затрачиваемая непосредственно на формирование ударной волны;

0,9 − доля энергии взрыва тринитротолуола (ТНТ), затрачиваемая непосредственно на формирование ударной волны;

q/ − удельная теплота сгорания парогазовой среды, кДж кг,

qT − удельная энергия взрыва ТНТ кДж/кг.

 

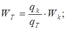
2 Для твердых и жидких химически нестабильных соединений

 

где Wk - масса твердых и жидких химически нестабильных соединений; qk− удельная энергия взрыва твердых и жидких химически нестабильных соединений. На производстве при взрыве газовоздушной, паровоздушной смеси или пыли образуется ударная волна. Степень разрешения строительных конструкций, оборудования, машин и коммуникаций, а также поражение людей зависит от избыточного давления во фронте ударной волны ΔРФ (разность между максимальным давлением во фронте ударной волны и нормальным атмосферным давлением перед этим фронтом).

Расчеты оценки действия горючих химических газов и жидкостей сводятся к определению избыточного давления в фронте ударной волны (ΔРФ) при взрыве газовоздушной смеси на определенном расстоянии от емкости, в которой хранится определенное количество во взрывоопасной смеси.

 

За что держится пламя?

На косом фронте пламя удерживается только при непрерывном поджигании.

 


 


Как организовать непрерывное поджигание?

Схемы огневых конусных фронтов однородной горючей смеси.

 

Воздействие окружающей среды на очаг горения.


 


Приемы усиления смесеобразовательных процессов в топочной камере

 

 
 

 


Горение жидкого топлива

 

 

 

 
 

 
 

Сжигание распыленного жидкого топлива

 

 


 

Слоевые процессы горения твердого топлива

 
 

 

 

 

 
 

 

 


 







Date: 2015-07-24; view: 2011; Нарушение авторских прав



mydocx.ru - 2015-2026 year. (0.816 sec.) Все материалы представленные на сайте исключительно с целью ознакомления читателями и не преследуют коммерческих целей или нарушение авторских прав - Пожаловаться на публикацию