Главная Случайная страница


Полезное:

Как сделать разговор полезным и приятным Как сделать объемную звезду своими руками Как сделать то, что делать не хочется? Как сделать погремушку Как сделать так чтобы женщины сами знакомились с вами Как сделать идею коммерческой Как сделать хорошую растяжку ног? Как сделать наш разум здоровым? Как сделать, чтобы люди обманывали меньше Вопрос 4. Как сделать так, чтобы вас уважали и ценили? Как сделать лучше себе и другим людям Как сделать свидание интересным?


Категории:

АрхитектураАстрономияБиологияГеографияГеологияИнформатикаИскусствоИсторияКулинарияКультураМаркетингМатематикаМедицинаМенеджментОхрана трудаПравоПроизводствоПсихологияРелигияСоциологияСпортТехникаФизикаФилософияХимияЭкологияЭкономикаЭлектроника






Расчет годовой производственной программы станции технического обслуживания





В качестве исходных данных принимаем:

Тип СТО – городского типа.

Количество жителей проживающих на терристории обслуживания (65000 чел.).

Среднегодовой пробег автомобилей (7000 км).

Количество дней работы СТОА в год – 345 дней.

Число смен – 1.

Продолжительность смены,час - 8 часов.

Число автомобилей на 1000 жителей – 50 чел.

Число автомобилей, принадлежащих населению с учетом перспективы развития парка:

Годовая производственная программа городских СТОА - это расчетное количество обслуживаемых автомобилей:

N(СТО)= N′ ∙К1 · К2 · К3

где N´ - число легковых автомобилей, принадлежащих населению данного

населенного пункта

K1 - коэффициент, учитывающий количество автомобилей, владельцы которых пользуются услугами СТО; К1 = 0,8

К2 — коэффициент, учитывающий увеличение парка обслуживающих автомобилей за счет транзита; К2 принимается от 1,1 до 1,2;

К3 - коэффициент, учитывающий перспективы роста автомобилизации района; К3= 1,1

где А - численность населения в данном населенном пункте; (по индивидуальному заданию);

п - число автомобилей на 1000 жителей (по индивидуальному заданию).

 

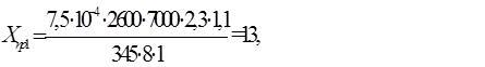
В первом приближении число рабочих постов можно определить по формуле:

X =

где tn - нормативное значение удельной трудоемкости ТО и ТР, чел-ч/1000 км (таб. 1);

D раб -число дней работы в году СТО, дни (по заданию);

Тсм - продолжительность смены, час; (по заданию);

С - число смен (по заданию);

Кпр - коэффициент корректирования удельной трудоемкости ТО и ТР в зависимости от природно-климатических условий (табл. 3);

Ncto - количество комплексно обслуживаемых автомобилей в год (формула 2);

Lг - среднегодовой пробег автомобиля, км (по заданию).

По найденному значения Хпр1 по табл. 2 определяется коэффициент корректирования Кп удельной трудоемкости ТО и ТР в зависимости от количества рабочих постов на СТО. С учетом коэффициента Кп корректируется удельная трудоемкость ТО и ТР на 1000 км пробега и рассчитывается годовой объем работ по ТО и ТР автомобилей.

Нормативы трудоемкости ТО и ТР автомобилей на 1000 км пробега и разовые в зависимости от типов автомобилей для городских и дорожных СТО следует принимать не более величин, приведённых в табл. 1.

Удельная трудоемкость ТО и ТР корректируется в зависимости от количества постов на СТО и природно-климатических условий:

t=tn ∙ Kn ∙ Knp (2.7),

где tn - нормативное значение удельной трудоемкости ТО и ТР, чел-ч/1000 км (таб. 1);

Кп - коэффициент корректирования удельной трудоемкости ТО и ТР в зависимости от количества рабочих постов на СТО (табл. 2);

Кпр - коэффициент корректирования удельной трудоемкости ТО и ТР в зависимости от природно-климатических условий (табл. 3). (2.8)

 

 

Таблица 1 - Нормативы трудоемкости ТО и ремонта автомобилей

Тип подвижного состава Удельная ТО и ТР на 1000 км. пробега Нормативы трудоемкости, чел-ч.
Разовая на 1 заезд
ТО и ТР Мойка и уборка Приёмка и выдача Предпро- дажная подготовка Противо- коррозионное покрытие автомобиля
Городские СТО            
Автомобили легковые:            
Особо малого класса 2,0 0,15 0,15 3,5 3,0
Малого класса 2,3 - 0,2 0.2 3,5 3,0
Среднего класса   2,7 - 0,25 0,25 3,5 3,0
Дорожные СТО            
Автомобиле легковые всех классов - 2,0 0,2 0,2 - -
Автомобили грузовые и автобусы - 2,8 0,25 0,3 - -

Таблица 1-Значение коэффициентов Кп

Количество рабочих постов на СТО,Хр Значение Кп
<10  
От 10 до 15 0,9
От 15 до 25 0,85
>25 0,8

 

Годовой объем работ по ТО и ТР городской СТО, обслуживающей автомобили одной марки: (2.9),

 
 

где Nсто – число автомобилей, обслуживаемых проектируемой СТО в год;

Lг – среднегодовой пробег автомобилей (км.);

t – скорректированная трудоемкость работ по ТО и ТР; для городских СТО

 
 

(2.10),

 

 

Таблица 2 Значение коэффициента Кпр

Природно-климатический район Кир
Умеренно-холодный (УХ)  
Умеренно-теплый, умеренно-тёплый влажный, теплый влажный (УТВ) 0,9
Жаркий сухой,очень жаркий сухой(ЖС) 1,1
Умеренно-холодный (со средней температурой января -15...-20°С) (УХ1) 1,1
Холодный со средней температурой января -20...-30°С) (X) 1,2
Очень холодный (со средней температурой января >°С) (ОХ) 1,3

 








Date: 2015-07-24; view: 2669; Нарушение авторских прав



mydocx.ru - 2015-2026 year. (1.556 sec.) Все материалы представленные на сайте исключительно с целью ознакомления читателями и не преследуют коммерческих целей или нарушение авторских прав - Пожаловаться на публикацию