Главная Случайная страница


Полезное:

Как сделать разговор полезным и приятным Как сделать объемную звезду своими руками Как сделать то, что делать не хочется? Как сделать погремушку Как сделать так чтобы женщины сами знакомились с вами Как сделать идею коммерческой Как сделать хорошую растяжку ног? Как сделать наш разум здоровым? Как сделать, чтобы люди обманывали меньше Вопрос 4. Как сделать так, чтобы вас уважали и ценили? Как сделать лучше себе и другим людям Как сделать свидание интересным?


Категории:

АрхитектураАстрономияБиологияГеографияГеологияИнформатикаИскусствоИсторияКулинарияКультураМаркетингМатематикаМедицинаМенеджментОхрана трудаПравоПроизводствоПсихологияРелигияСоциологияСпортТехникаФизикаФилософияХимияЭкологияЭкономикаЭлектроника






Постановка задачи. Пусть в точках таких, что





Пусть в точках таких, что . Известны значения функции , то есть на отрезке [ a, b ] задана табличная (сеточная) функция :

 

Таблица 1

 

x
y

 

 

Функция f (x) называется интерполирующей или интерполяционной для на отрезке [ a, b ], если ее значения в заданных точках , называемых узлами интерполяции, совпадают с заданными значениями функции , то есть с соответственно.

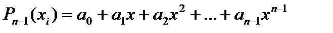
Будем считать, что интерполяционная функция f (x) есть многочлен степени n -1, тогда задача интерполяции формулируется так: для функции заданной таблицей 1 найти многочлен такой, чтобы выполнялась совокупность условий интерполяции

 

,(2)

 

найти многочлен это значит, учитывая его каноническую форму

 

, (3)

 

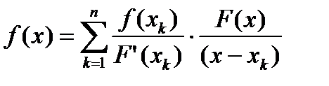
найти его n коэффициентов . Обозначим через и рассмотрим рациональную дробь . Она правильная, так как степень многочлена в числителе меньше степени многочлена стоящего в знаменателе. Мы можем применить формулу Лагранжа для разложения дроби на простейшие. Получим интерполяционную формулу Лагранжа:

 

.

 







Date: 2015-07-24; view: 450; Нарушение авторских прав



mydocx.ru - 2015-2026 year. (0.919 sec.) Все материалы представленные на сайте исключительно с целью ознакомления читателями и не преследуют коммерческих целей или нарушение авторских прав - Пожаловаться на публикацию