Главная Случайная страница


Полезное:

Как сделать разговор полезным и приятным Как сделать объемную звезду своими руками Как сделать то, что делать не хочется? Как сделать погремушку Как сделать так чтобы женщины сами знакомились с вами Как сделать идею коммерческой Как сделать хорошую растяжку ног? Как сделать наш разум здоровым? Как сделать, чтобы люди обманывали меньше Вопрос 4. Как сделать так, чтобы вас уважали и ценили? Как сделать лучше себе и другим людям Как сделать свидание интересным?


Категории:

АрхитектураАстрономияБиологияГеографияГеологияИнформатикаИскусствоИсторияКулинарияКультураМаркетингМатематикаМедицинаМенеджментОхрана трудаПравоПроизводствоПсихологияРелигияСоциологияСпортТехникаФизикаФилософияХимияЭкологияЭкономикаЭлектроника






Проверка по критерию погоды и ускорения





 

1) Проверка по критерию погоды

Руководство по проведению расчетов по этим параметрам и необходимая справочная информация содержатся в «Правилах классификации и постройки морских судов» (ч. IV «Остойчивость»,) Регистра РФ.

 


lw1= = =0.06

 

где

Av=1.5∙Lвл∙Ннб=1.5∙120∙(8.36-6.89=264.6

zv= +0.75∙Hнб= +0.75∙1.47=4.5

 

 

 

lw2=1.5∙ lw1=1.5∙0.006=0.009

 

 

 

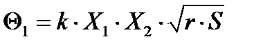
k=1

X1=0.96 (находится по таблице).

X2=1.00 (находится по таблице).

 

r=0.73+0.6∙ =0.73+0.6∙∙ =0.73-0.16=0.57

 

 

Период качки:

 

 

T= = =9.3, где

с=0.373+ - = 0.373+ - =0.381

 

 

Ɵ=109∙1∙0.96∙1∙ =220

 

 

К= = =2.4 >1 → условие выполняется

2) проверка по кретерию ускорения

К *=0.3/арасч

арасч=0.0105∙ ∙k0∙Ɵr=0.0105∙ ∙1.08∙22=0.06

c=0.7

h0=2.13

k0=1.08

Ɵr=220

К*=0.3/0.06 =5>1 – условие выполняется


 

Заключение

Проведенные нами расчеты показали, что в рассмотренном варианте нагрузки и повреждения данное пассажирское судно неограниченного района плавания удовлетворяет требованиям к посадке, остойчивости и непотопляемости судов, регламентированным «Правилами классификации и постройки морских судов» (ч. IV «Остойчивость», ч. V «Деление на отсеки») Регистра РФ, включая требования к критерию погоды, ускорения и элементам диаграммы статической остойчивости.


 

Список литературы.

 

1. Дорогостайский Д.В., Жученко М.М., Мальцев Н.Я. Теория и устройство судна. Учебник для ВУЗов. Л.: Судостроение, 1976.

2. Семенов-Тян-Шанский В.В. Статика и динамика корабля. Учебник для ВУЗов. Л.: Судпромгиз, 1960.

3. Цуренко Ю.И. Расчеты по статике корабля с использованием ЭВМ. Учебное пособие.

Северодвинск, СЕВМАШВТУЗ, 2000.

4. Правила классификации и постройки морских судов. 2012 г.

 







Date: 2015-07-24; view: 1205; Нарушение авторских прав



mydocx.ru - 2015-2026 year. (0.782 sec.) Все материалы представленные на сайте исключительно с целью ознакомления читателями и не преследуют коммерческих целей или нарушение авторских прав - Пожаловаться на публикацию