Главная Случайная страница


Полезное:

Как сделать разговор полезным и приятным Как сделать объемную звезду своими руками Как сделать то, что делать не хочется? Как сделать погремушку Как сделать так чтобы женщины сами знакомились с вами Как сделать идею коммерческой Как сделать хорошую растяжку ног? Как сделать наш разум здоровым? Как сделать, чтобы люди обманывали меньше Вопрос 4. Как сделать так, чтобы вас уважали и ценили? Как сделать лучше себе и другим людям Как сделать свидание интересным?


Категории:

АрхитектураАстрономияБиологияГеографияГеологияИнформатикаИскусствоИсторияКулинарияКультураМаркетингМатематикаМедицинаМенеджментОхрана трудаПравоПроизводствоПсихологияРелигияСоциологияСпортТехникаФизикаФилософияХимияЭкологияЭкономикаЭлектроника






Разработка мероприятий по разупрочнению пород основной кровли





 

Так как категория пород по обрушаемости А3, применяется передовое торпедирование, после чего категория пород по обрушаемости становится А2. В очистном забое следует применять полное обрушение кровли.

Выбор схемы расположения и параметров заложения скважин при разупрочнении пород кровли способом передового торпедирования

Расстояние между основными скважинами по нормам, принимаем:

м.

Минимально допустимое расстояние от нижних торцов зарядов до пласта = 6м. Расстояние от верхних торцов зарядов до пласта:

 

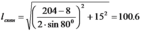
Длина основной скважины нижнего яруса определяем по формуле:

где с=8 – расстояние между верхними торцами зарядов встречных скважин нижнего яруса, м

м.

Угол наклона основной скважины нижнего яруса к плоскости пласта:

Минимально необходимая длинна забойки в основной скважине нижнего яруса:

м.

Длина забойки в основной скважине нижнего яруса, обеспечивающая минимально допустимое расстояние от нижних торцов до пласта:

6/sin(8)=43,1 м.

Длина забойки в нижнем ярусе =43,1 м, расстояние от нижних торцов зарядов в основных скважинах нижнего яруса до пласта

м.

Длина заряда в основной скважине нижнего яруса:

= 100,6-43,1=57,5 м.

Максимально возможная масса ВВ в основной скважине нижнего яруса при максимальном диаметре заряда = 9 см:

кг.

Масса ВВ в основной скважине нижнего яруса Qн (кг) принимается равной 300кг, т.е. Qн = 300кг. Определяется диаметр заряда в основной скважине нижнего яруса dзар.н ,(см) по формуле

В качестве вида заряда в основной скважине нижнего яруса принимается «монозаряд».

Минимально необходимый диаметр основной скважины нижнего заряда:

Длина отсечной скважины:

=28,12 м

Угол наклона отсечной скважины к плоскости пласта:

Длина забойки в отсечной скважине:

Длина забойки в отсечной скважине, обеспечивающая минимально допустимое расстояние от нижних торцов зарядов пласта до пласта:

Длина забойки в отсечной скважине:

lзаб отс = lзаб отс 1=11,32м

Расстояние от нижних торцов зарядов в отсечных скважинах до пласта

hнт.отс (м) принимается равным величине hнтmin , т.е.

hнт.отс =hнт.min=6м

Длина заряда в отсечной скважине:

Вид заряда в отсечной скважине принимается таким же, как и в основных скважинах нижнего и верхнего ярусов.

Диаметр заряда в отсечной скважине d зар отс (см) принимается равным диаметрам зарядов в основных скважинах нижнего и верхнего ярусов, т.е.

dзаротс = dзар н = dзар в=8см

Диаметр отсечной скважины dскв отс (см) принимается равным диаметрам основных скважин нижнего и верхнего ярусов, т.е.

dскв отс = dскв н = dскв в=10,5см

Масса ВВ в отсечной скважине Qотс (кг):

 

Общие показатели

Таблица 3

Наименования и единицы измерения показателей Условные обозначения Значения показателей
1.Схема расположения основных скважин Диагональная- двухсторонняя
2.Количество основных скважин в вертикальной плоскости, шт.  
3.Расстояние между основными скважинами по нормали, м а  
4.Минимально допустимое расстояние от нижних торцов зарядов до пласта, м  
5.Расстояние от верхних торцов зарядов  
6.Расстояние между верхними торцами зарядов встречных основных скважин нижнего яруса (двухсторонняя схема расположения основных скважин), м   c  
7.Вид заряда в скважинах   монозаряд

 

Показатели по скважинам

Таблица 4

№ п/п Условные обозначения показателей, их численные значения и единицы измерения  
Основные скважины Отсечные скважины  
Нижний ярус  
  100,6 м =28,12 м
  =80 =34 0
  =43,1 м =11,32 м
  =6 м =6 м
  =57,3 м =16,8 м
  =300 кг =84,4 кг
  =8 см =8 см
  =10,5 см =10,5 см
  =800 =400






Date: 2015-07-24; view: 654; Нарушение авторских прав



mydocx.ru - 2015-2026 year. (0.154 sec.) Все материалы представленные на сайте исключительно с целью ознакомления читателями и не преследуют коммерческих целей или нарушение авторских прав - Пожаловаться на публикацию