Главная Случайная страница


Полезное:

Как сделать разговор полезным и приятным Как сделать объемную звезду своими руками Как сделать то, что делать не хочется? Как сделать погремушку Как сделать так чтобы женщины сами знакомились с вами Как сделать идею коммерческой Как сделать хорошую растяжку ног? Как сделать наш разум здоровым? Как сделать, чтобы люди обманывали меньше Вопрос 4. Как сделать так, чтобы вас уважали и ценили? Как сделать лучше себе и другим людям Как сделать свидание интересным?


Категории:

АрхитектураАстрономияБиологияГеографияГеологияИнформатикаИскусствоИсторияКулинарияКультураМаркетингМатематикаМедицинаМенеджментОхрана трудаПравоПроизводствоПсихологияРелигияСоциологияСпортТехникаФизикаФилософияХимияЭкологияЭкономикаЭлектроника






Установление нагрузки на очистной забой





 

Расчет максимально возможной добычи угля в лаве Ал (т/сут) производится, по двум факторам:

- по производительности выемочного механизма ;

- по газовому фактору .

Расчетная суточная добыча в лаве не должна быть меньше величины нормативной добычи для заданных горнотехнических условий. Величина нормативной суточной нагрузки на очистные забои

А0 – норматив нагрузки на очистной забой, т/сут

m1, m2 – соответствующие ближайшее меньшее и большее табличные значения вынимаемой мощности пласта, м (m1=1,4м, m2=1,6м)

А1, А2 – табличные значения нормативных нагрузок,, т/сут (А2=1260 т/сут – для 3МКД90 при устойчивой кровле)

а- поправка к нормативу нагрузки при изменении длины очистного забоя на 1м, т/сут (а=4,0 т/сут при устойчивой кровле для 3МКД90)

– разность длин очистного забоя (принятой и нормативной),

=200-170=30м

nсм – число смен по добыче угля, смены (nсм=2)

Тсм – продолжительность смены, мин (Тсм=360мин)

– плотность горной массы в массиве – 1,36 т/м3

– коэффициент, учитывающий горно-геологические условия,

– поправочный коэффициент, вводимый при использовании 2 комбайнов ()

– поправочный коэффициент, зависящий от срока эксплуатации комплекса (

Определяется нагрузка на очистной забой, рассчитанная по возможности выемочного механизма РКУ13

qп – производительность комбайна, рассчитанная по скорости подачи

qп=m

qп=1,5 12,7 т/мин

kпс — коэффициент снижения производительности комбайна из-за недостаточного резерва приемной способности участковой конвейерной линии. Определяется с помощью графика зависимости kпс от коэффициента резерва приемной способности участковой конвейерной линии

qпс – приемная способность участковой конвейерной линии

Qд – производительность средств доставки, т/ч(400т/ч для СПЦ162-12)

– насыпная плотность горной массы, т/м3 (0,9 т/м3)

– приемная способность участковой конвейерной линии, м3/мин

Ограничение осталось, но нагрузка повысилась.

Среднюю производительность комбайна при устойчивой и средней устойчивости кровлях определим по

Q м — пропускная способность сборных конвейерных линий по маршруту углепотока данного очистного забоя, м/мин. В данной работе процессы подземных горных работ рассматриваются и проектируются только в пределах выемочного участка. Поэтому расчет Q м не производится.

– пропускная способность участковой конвейерной линии

Для комплексно-механизированных очистных забоев скорость крепления определяется по формуле

- скорость крепления при последовательной схеме передвижки секций крепи и устойчивых боковых пород, м/мин;(

- коэффициент, учитывающий схему передвижки крепи. (

- коэффициент снижения скорости крепления с увеличением угла падения пласта α

При работе комплексов по простиранию пласта

kуп=1-0,013(α-90) при 90<α<350

kуп=1-0,013(140-90)=0.935

– коэффициент снижения скорости крепления при неустойчивых породах

kп – коэффициент снижения скорости крепления при недостаточной несущей способности почвы

kп=0.5(1+ )

- величина, зависимая от удельного давления опорной поверхности крепи на почву и несущей способности почвы σвд=30МПа,

kп=0.5(1+ )=1

kкр - коэффициент снижения скорости крепления в зависимости от площади кровли, подлежащей затяжке (при устойчивых и средней устойчивости породах кровли принимаем равным 1)

- коэффициент, учитывающий снижение скорости крепления в связи с необходимостью крепления обнаженной кровли из-за вывалов угля из верхних пачек пласта вследствие интенсивного отжима.

 

qкр – производительность комбайна, рассчитанная по скорости крепления

 

µп.кр. - коэффициент готовности очистного забоя по процессу крепления за комбайном; учитывает перерывы в работе комбайна из-за отставания крепи на расстояние большее, чем максимально допустимое по устойчивости обнажения незакрепленной непосредственной кровли. Определяется только для средней устойчивости и неустойчивых кровель.

Определяется μп.кр. по графику зависимости его от коэффициента резерва скорости крепления и коэффициента резерва обнажения кровли за комбайном. В свою очередь

Коэффициент резерва обнажения кровли за комбайном

l=ly – если отрабатываемый пласт не опасен по внезапным выбросам угля и газа

lк - параметр, характеризующий изменчивость устойчивости кровли по длине лавы. Для Донбасса lк=30 м.

ty – минимальное время устойчивости нижних слоев пород кровли, незакрепленной у забоя, мин (ty=100мин)


kу.в - коэффициент, учитывающий изменение устойчивости кровли в зависимости от угла встречи (угол между линией очистного забоя и направлением основной системы трещин пород)

kу.в= c при 450<β≤700

kу.в=1.4

µп.кр.=0,55 при и

 

Коэффициент готовности очистного забоя по группе последовательных перерывов μ1 определяется по формуле

q — средняя производительность комбайна, т/мин;

T техн — суммарные нормативные затраты времени на неперекрываемые технологические перерывы, приходящиеся на 1 цикл работы комбайна, мин.

tвсп – нормативные затраты времени на вспомогательные операции, мин/м

tвсп=0,05 lл

tвсп=0,05 200=10 мин

tобм – нормативные затраты времени на обмен партии вагонеток, мин/м (tобм=0)

tвзр – нормативные затраты времени на заряжание и взрывание шпуров в нишах и проветривание лавы, мин (tвзр=0)

θзач – затраты времени на зачистку лавы при односторонней схеме работы комбайна, мин

θпор – затраты времени на выемку породного прослойка (при селективной выемке), мин (θпор=0)

θк.о – средняя продолжительность подготовки комбайна к выемке следующей полосы, мин (θк.о=26мин)

 

µк – коэффициент готовности комбайна

- среднеотраслевой коэффициент готовности комбайна =0,9 для РКУ13)

µкр – коэффициент готовности мехкрепи

- среднеотраслевой коэффициент готовности мехкрепи (

µку - коэффициент готовности участковой конвейерной линии, начиная с лавного скребкового конвейера и включающей все конвейеры (ленточные и скребковые) на промштреках, просеках, печах, участковых транспортных выработках до первого сборного конвейера, на который углепоток поступает из нескольких очистных забоев.

nлк – число ленточных конвейеров в участковой транспортной цепи (nлк=1)

µm – коэффициент готовности m-го ленточного конвейера, принимается равным 0,95

nск – число скребковых конвейеров в участковой транспортной линии (nск=2)

µ1 – коэффициент готовности 1-го скребкового конвейера (µ1=0,94 для СПЦ162-12)

µоп – коэффициент готовности системы магистрального локомотивного транспорта (µоп=1)

µпп – коэффициент готовности погрузочного пункта при погрузке угля в вагонетки (µпп=1)

µпр – коэффициент готовности очистного забоя по процессу проветривания (µпр=0,93 для шахт 3 категории)

Коэффициент готовности очистного забоя по группе параллельных перерывов µ11 рассчитываем по формуле

0,88 – коэффициент, учитывающий время отдыха (12% времени смены)

Тпз – суммарные нормативные затраты времени на выполнение подготовительно-заключительных операций, мин (17 мин/смену)

µс.э – коэффициент готовности системы электроснабжения (0,965)

µс.к, µс.с, µс.в – коэффициенты готовности сопряжений очистной выработки соответственно с транспортной(конвейерной), средней и вентиляционной выработками. Коэффициент готовности сопряжений очистной и примыкающих(транспортной, средней, вентиляционной) выработок

µэ.с – коэффициент готовности эталонного сопряжения (0,98-для пород средней устойчивости)

ki – коэффициент увеличения времени простоев очистного забоя при действии i-го технологического фактора, осложняющего поддержание сопряжения


µс.б – коэффициент готовности очистного забоя по фактору отказа на сборных транспортных линиях, µк.б – коэффициент готовности очистного забоя по фактору переполнения капитального бункера. Расчет этих величин при выполнении работ может не производиться

– для транспортного штрека (БВР, подрывка, отсутствие мех.крепи на концевом участке лавы, отсутствие мех.крепи сопряжения, ниша)

– для вентиляционного штрека (БВР, подрывка, повторное использование, отсутствие мех.крепи на концевом участке лавы, отсутствие мех.крепи сопряжения, ниша

kм – сменный коэффициент машинного времени комбайна по выемки угля (kм=0,26 при и )

Среднесменную нагрузку на очистной забой при однокомбайновой выемке в лаве и непосредственной кровле не ниже средней устойчивости вне зависимости от организации крепления за комбайном определим как минимальную из возможных

Асмсм min{q kм ; m γ r kr µкр Vкр}

Асм=360 min{6,48 0,26; 1,5 1,36 0,63 1 0,94 5,6}=360 min{1,68; 4,77}=604,8 т/смену

Среднесуточная нагрузка на очистной забой рассчитывается по горной массе

Асутсм nсм kг.н

kг.н – коэффициент уменьшения нагрузки при работе очистного забоя в сложных горно-геологических условиях (kг.н =0,85)

Асут=604,8 2 0,85=1028,16 т/сут

Нагрузка на очистной забой по возможности выемочного механизма не ограничивает нормативную. Это означает, что были правильно выбраны средства механизации выемки.

Определяется максимально допустимая нагрузка на очистной забой по газовому фактору

qр — используемое при расчете значение относительной метанообильности

qp=qоч=

q'пл — относительное метановыделение из разрабатываемого пласта в пределах очистного забоя, определяется по формуле:

qпл — относительное метановыделение из разрабатываемого пласта 5м3/т.

qтр — относительное метановыделение из отбитого угля при его транспортировании по участковой выработке, qтр = (0,1–0,15)qпл.=0,5 м3/т.

м3

kв.п — коэффициент, учитывающий метановыделение из выработанного пространство в призабойное пространство лавы, для схем с направлением исходящей струи воздуха из лавы на выработанное пространство и с охраной участковой вентиляционной выработки кострами, бутокострами, бутовой полосой с окнами (каналами) или сплошной бутовой полосой шириной до пяти метров kв.п принимается равным 0.

k — коэффициент, учитывающий возможность поступления метана из отбитого угля на участковой транспортной выработке в лаву (при полном или частичном обособленном разбавлении вредностей по источникам выделения k = 0).

kд.пл — коэффициент дегазации пласта, принимается в пределах 0,2–0,4

qв.п — относительное метановыделение из смежных пластов и пропластков, вмещающих пород в выработанное пространство 10 м3

qp=qоч= м3

Qр — расход воздуха (м3/мин), который проходит по выработкам и который можно использовать для разбавления метана до допустимой концентрации.


Qp=60VmaxFочkо.з

Vmax — максимально допустимая по ПБ средняя скорость движения воздуха в призабойном пространстве, 4 м/с

Fоч — минимальная площадь (м2) поперечного сечения призабойного пространства лавы в свету.

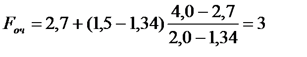
Fmin и Fmах — соответственно минимальная и максимальная площадь поперечного сечения лавы в свету, м2; Fmin=2,7м2, Fmах=4,0м2

и — соответственно минимальная и максимальная мощность пласта, вынимаемая комплексом, м. =1,34м, =2,0м

м2

kо.з — коэффициент, учитывающий движение части воздуха по выработанному пространству, примыкающему к призабойному (1,25 – для пород непосредственной кровли песчаный сланец)

Qp=60·3,6·3·1,25=810 м3/мин

 

т/сут

Для окончательного установления величины нагрузки на очистной забой Ал производится проверка соответствия меньшей из полученных величин:

Ал=min(3351,8; 1028,16)=1028,16 т/сут

 

 


 







Date: 2015-07-24; view: 1694; Нарушение авторских прав



mydocx.ru - 2015-2026 year. (0.849 sec.) Все материалы представленные на сайте исключительно с целью ознакомления читателями и не преследуют коммерческих целей или нарушение авторских прав - Пожаловаться на публикацию