Главная Случайная страница


Полезное:

Как сделать разговор полезным и приятным Как сделать объемную звезду своими руками Как сделать то, что делать не хочется? Как сделать погремушку Как сделать так чтобы женщины сами знакомились с вами Как сделать идею коммерческой Как сделать хорошую растяжку ног? Как сделать наш разум здоровым? Как сделать, чтобы люди обманывали меньше Вопрос 4. Как сделать так, чтобы вас уважали и ценили? Как сделать лучше себе и другим людям Как сделать свидание интересным?


Категории:

АрхитектураАстрономияБиологияГеографияГеологияИнформатикаИскусствоИсторияКулинарияКультураМаркетингМатематикаМедицинаМенеджментОхрана трудаПравоПроизводствоПсихологияРелигияСоциологияСпортТехникаФизикаФилософияХимияЭкологияЭкономикаЭлектроника






Выбор типа и типоразмера крепи и выемочно-транспортного оборудования





 

Так как породы кровли весьма труднообрушаемые, относятся к категории А3, нужно провести комплекс специальных мероприятий, направленных на снижение прочности пород кровли, для того, что бы в дальнейшем была возможность применения способа управления кровлей полным обрушением. Добиваюсь снижения прочности с помощью торпедирования.

Торпедирование применяется в пластах, представленных твердыми породами: известняками, доломитами, крепкими песчаниками. Оно осуществляется при помощи взрыва в скважине заряда взрывчатого вещества. При взрыве происходит частичное разрушение призабойной зоны скважины с образованием каверны, а в прилегающей зоне пласта возникают трещины, облегчающие разрушение.

Таким образом понизила категорию обрушаемости до А2 – среднеобрушаемые породы кровли, и применяю способ управления кровлей полным обрушением. В связи с этим и тем, что пласт пологий, применяю механизированный тип крепи.

2.1 Выбор типа и типоразмера механизированного комплекса

В лаве принят механизированный тип креп. Выбираем механизированного комплекса в следующем порядке:

Так как в лаве принят механизированный тип крепи, то провожу выбор механизированного комплекса:

1. выбираю типы комплексов, соответствующие категориям кровли по обрушаемости и устойчивости ее нижнего слоя.

2. устанавливаю минимально допустимые величины сопротивлений поддерживающей части Р, МПа, и посадочного ряда Рпос, МН/м, механизированной крепи в зависимости от категории пород кровли по обрушаемости и средней мощности пласта. Выбираю те комплексы, которые удовлетворяют требованиям по нагрузке на поддерживающую крепь и посадочный ряд механизированной крепи, т.е. те, которые удовлетворяют требованиям

Р1≥Р Р1≥0,35

Р1пос≥Рпос Р1пос≥0,6

3. выбираю те комплексы, которые соответствуют прочности пород на вдавливание, т.е. – для которых соблюдается условие

σ1вд≤σвд σ1вд≤30

 

4. выбираю комплексы, которые соответствуют углу падения пласта при заданном направлении выемки, т.е. - для которых выполняется условие

а1 ≥аmax а1 ≥14

5. комплексы, которые соответствуют сопротивляемости угля резании, т.е. те, для которых соблюдается условие

А' ≥ Ар А' ≥ 195

 

6. определяю минимально допустимый шаг установки секции механизированной крепи lс, м, передвигающейся без подпора кровли, при котором не будут происходить расслоение и обрушение нижнего слоя кровли (во время передвижки секций). Для этого необходимо воспользоваться формулой

lс=1,6 В+0,5Г

где В -высота нижнего слоя пород кровли, м; Г -среднее расстояние между трещинами в нижнем слое кровли, м.

lс=1,6 *0.6+0,5*1=1.46 м.

Выбираю крепи, которые передвигаются без подпора кровли, и без ее расслоения и обрушения пород кровли (во время передвижки секций крепи), то есть те, которые удовлетворяют условию

l1с≤lс l1с≤1,46

7. выбираю те комплексы, которые удовлетворяют условиям

m1max ≥ mmax,

hmin ≤mmin

Таблица 1 — Результаты выбора типов комплексов

Показатель   Типы комплексов  
1КМ103М МКД90 МКД90Т КМК98 КМ88 КМ87УМН КМ87УМП КМ87УМС КМТ КДД   КДТ МДМ КМ137 КМ138 МК75 УКП
Категория пород кровли по обрушаемости + + + + + + + + + + + + + + + +
Категория пород кровли по устойчивости нижнего слоя + + + + + + + + + + + + + + + +
Сопротивление поддерживающей части крепи + + + + + + + + + + + + + + + +
Сопротивление посадочного ряда крепи + + + + + + + + + + + + + + + +
Прочность пород почвы на вдавливание + + + + + + + + + + + + + + + +
Угол падения пласта + + + + + + + + + + + + + + + +
Сопротивляемость угля резанию + + + + + + + + + + + + + + + +
Шаг установки секций крепи + + + - + + + + + + + + + + + +
Максимальная мощность пласта - + - - - + - + - + + - - + + +
Минимальная мощность пласта + + + + + + + + + + + + + + + -
Надежность секции* 0.9 0.9 0.9 0.82 0.87 0.88 0.86 0.88 0.92 0.95 0.95 0.95 0.9 0.92 0.9 0.92
Цена, тыс. грн.                                

* – надежность секции характеризуется коэффициентом готовности крепи. В таблице приведены ориентировочные средние значения по отрасли.


8. устанавливаю те типы комплексов и типоразмеры, а также типы и типоразмеры механизированных крепей, типы конвейеров и выемочных машин, которые удовлетворяют требованиям

m11max ≥ mmax

h1min ≤mmin

 

Установленные и записанные в таблице 2 типы и типоразмеры механизированных комплексов с соответствующим составом оборудования будут удовлетворять условиям максимальной мощности пласта, а их механизированные крепи могут быть установлены в частях лавы с минимальной мощностью угольного пласта.

 

Таблица 2. Параметры механизированных комплексов

 

Комплекс Состав, тип и типоразмер оборудования m1min, м m2min, м m3min, м   mнmin, м   m11max, м  
Тип   Типо размер Механизированная крепь Конвейер   Комбайн  
Тип   Типо размер
КМ87УМН II   2М87УМН   II   СП87-35   1ГШ-68   1,28 1,07 1,31 1,31 2,0
МКД90 III КД90 III СПЦ162-12 РКУ13 1,34 0,9 1,30 1,34 2,0
КДД I   КДД   I СПЦ 163 РКУ10 1,18 - 0,97 1,18 1,8
КМ138 I М138 I СПЦ271.38 РКУ10 1,15 - 1,24 1,24 2,35
МК75 I   М75Б I   СУМК75Б 2ГШ68Б 1,05 0,95 1,73 1,73 2,2

 

Установленные и записанные в таблицу 2 типы и типоразмеры механизированных комплексов с соответствующим составом оборудования будут удовлетворять условиям максимальной мощности пласта, а их механизированные крепи могут быть установлены в частях лавы с минимальной мощностью угольного пласта.

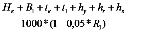
9. Для записанных в таблицу 2 типов и типоразмеров механизированных комплексов и входящего в их состав оборудования определить минимально необходимую мощность пласта m1min, м, при которой обеспечивается нормальное функционирование выемочной машины в зоне ее прохода под крепью по формуле

m1min = , (2.9)

 

где Нк - высота корпуса выемочной машины от почвы пласта, мм;

B1 - толщина перекрытия секции крепи в зоне прохода выемочной машины под крепью, мм;

tk - величина подштыбовки завальной боковины конвейера, мм;

t1 -высота породной подушки на перекрытии секции крепи в зоне прохода выемочной машины под крепью, мм;

hу - величина свободного пространства для управления комбайном, мм;

hr - величина свободного пространства для прохода выемочной машины под крепью при изменении гипсометрии пласта, мм;

h3 = 50 - запас свободного пространства для прохода выемочной машины под крепью, мм;

R1 - расстояние от забоя до наиболее удаленной от него части корпуса комбайна или борта струговой установки, м.

Для 3МКД90 с РКУ13

 

10. Для записанных в табл. 2.5 типов и типоразмеров механизированных комплексов и входящего в их состав оборудования определить минимально необходимую мощность пласта m2min, м, при которой обеспечивается допустимая высота для прохода людей под механизированной крепью из выражения


m2min = (2.10)

где: Во, В2 - соответственно толщина основания и верхнего перекрытия секции крепи, мм;

Нл =500-минимальная высота прохода для людей под крепью, мм,

t0, t2 - соответственно высота "штыбовой подушки" под основанием и "породной подушки" на верхнем перекрытии секции крепи, мм;

R2 - расстояние от забоя до середины прохода для людей, м.

Для 3МКД90 с РКУ13

 

Результаты расчетов записываются в таблицу 2.

10. Для записанных в табл. 2.5 типов и типоразмеров механизированных комплексов и входящего в их состав оборудования определить минимально необходимую мощность пласта m3min, м, при которой обеспечивается работа механизированной крепи без исчерпания ее податливости в условиях максимального опускания пород кровли по формуле

m3min = , (2.11)

где Hmin - минимальная высота крепи в сдвинутом положении, мм;

hp - запас гидравлической раздвижности для разгрузки крепи, мм; для пластов мощностью менее I м принимается 30 мм, для пластов большей мощности - 50 мм;

Rз - расстояние от забоя до заднего ряда стоек крепи, м.

Для 3МКД90 с РКУ13

 

Результаты расчетов записываются в таблицу 2.

12. Полученные величины m1min, m2min и m3min для записанных в табл. 2.5 типов и типоразмеров механизированных комплексов и входящего в их состав оборудования необходимо сравнить между собой и большую из них принять за нижний предел вынимаемой комплексом мощности пласта mнmin, м. Величины mнmin записываются в таблицу 2.

13. Из табл. 2.4 в табл. 2.5 переписать значения максимально возможной вынимаемой мощности пласта m11max м, для всех записанных там типов и типоразмеров механизированных комплексов и входящего в их состав оборудования.

14. На базе данных заполненной таблицу 2 установить типы и типоразмеры механизированных комплексов и входящего в их состав оборудования, которые можно использовать в заданных конкретных горно-геологических условиях. Этими комплексами будут те, которые удовлетворяют условиям

mmах ≤ mmах,

mmin ≥ mнmin (2.12)

Исходя из этих условий, комплекс КМ75Б не удовлетворяет требованиям.

По горно-геологическим и горно-техническим условиям возможно применение нескольких типов и типоразмеров комплексов, но из них выбираю 3МКД90, так как для кровель легко- и среднеобрушаемых А1, А2 средней устойчивости и устойчивых Б4, Б5 целесообразно применять комплексы, механизированные крепи которых имеют сопротивление поддерживающих частей до 500 кН/м2, а посадочного ряда — до 950 кН/м; отдается предпочтение легким и новым комплексам, что отражает коэффициент готовности крепи (0,9); более дешевым комплексам (70 тыс. грн стоимость выбранного); учитывается среднеотраслевой коэффициент готовности комбайна (РКУ13 - 0,84).







Date: 2015-07-24; view: 1066; Нарушение авторских прав



mydocx.ru - 2015-2026 year. (0.493 sec.) Все материалы представленные на сайте исключительно с целью ознакомления читателями и не преследуют коммерческих целей или нарушение авторских прав - Пожаловаться на публикацию