Главная Случайная страница


Полезное:

Как сделать разговор полезным и приятным Как сделать объемную звезду своими руками Как сделать то, что делать не хочется? Как сделать погремушку Как сделать так чтобы женщины сами знакомились с вами Как сделать идею коммерческой Как сделать хорошую растяжку ног? Как сделать наш разум здоровым? Как сделать, чтобы люди обманывали меньше Вопрос 4. Как сделать так, чтобы вас уважали и ценили? Как сделать лучше себе и другим людям Как сделать свидание интересным?


Категории:

АрхитектураАстрономияБиологияГеографияГеологияИнформатикаИскусствоИсторияКулинарияКультураМаркетингМатематикаМедицинаМенеджментОхрана трудаПравоПроизводствоПсихологияРелигияСоциологияСпортТехникаФизикаФилософияХимияЭкологияЭкономикаЭлектроника






Формування асортименту

КУРСОВА РОБОТА

на тему:

«Організація та ефективність збуту метало-пластикових виробів»

Виконав студент

ІІІ курсу групи К-34

Гарнага Руслан Васльович

 

Керівник: М. О. Долінська,

спеціаліст вищої категорії,

викладач-методист

Оцінка________

Члени комісії:

__________М.О. Долінська

_____________ Г.Г. Наглюк

___________С.О. Савченко

Зміст

Вступ.

1. Ринок збуту метало-пластикової продукції в Україні, його проблеми.

2. Організайційно-економічна характеристика діяльності підприємства

2.1. Місце знаходження підприємства, його віддаленість від ринку збуту та забезпечення.

2.2. Потужність і матеріально технічна база підприємства.

3. Організація виробництва метало-пластикових виробів.

3.1. Зварювання ПВХ профілів.

3.2. Установка імпостів та ущільнювальної гуми.

3.3. Встановлення фурнітури.

3.4. Встановлення склопакетів на металопластикові вікна.

4. Організація збуту метало-пластикових виробів.

4.1. Формування асортименту.

4.2. Товаропостачання підприємств роздрібної торгівлі.

4.3. Організація відпуску-приймання метало-пластикових виробів.

4.4. Контроль якості.

4.5. Відділ збуту продукції.

5. Організація зберігання, підготовки до продажу та транспортування продукції. Оформлення приймально здавальних документів.

6. Шляхи підвищення ефективності збуту продукції підприємства.

7. Організація охорони праці.

7.1. Юредично-правові аспекти охорони праці.

7.2. Санітарно-гігієнічні вимоги на робочому місці працівник.

Висновки і пропозиції.

 

ВСТУП

З позиції системного підходу діяльність підприємства в цілому можна розглядати як складну систему, яка складається із підпорядкованих меншскладних систем. Важливою підсистемою підприємства метало-пластикових виробів є виробництво або виробнича підсистема (система).

Виробнича система самостійно чи при взаємодії і іншими системами задовольняє ті чи інші потреби і запити потенційних споживачів за допомогою виробленої цією системою продукції.

Виробнича система є особливим класом систем, яка складається з таких елементів: працівників, засобів і предметів праці, а також іншихелементів (технології, організації виробництва), що необхідні дляфункціонування системи. У процесі функціонування створюється продукціяпідприємства металопластикових виробів.

 

Актуальність обраної теми курсової роботи полягає в тому, що організаціявиробництва метало-пластикових вікон та дверей в нових умовах визначаються,насамперед, триваючим становленням ринкової економіки, що у свою чергувимагає перебудови форм і методів організації. Новий механізморганізації повинний забезпечувати підприємству як стійкість, так ігнучкість, його сприйнятливість до змін кон'юнктури ринку і різнихнововведень. Формування такого механізму - процес занадто дорогий ізатяжний. Тому необхідною умовою вирішення поставлених задач є науковийпошук щодо удосконалення процесу виробництва, аналіз та узагальненняпрактики й обґрунтування такої системи управління підприємством,що змогла б забезпечити підвищенняефективності його виробництва в сучасних умовах.

 

 

РОЗДІЛ 1: РИНОК МЕТАЛО-ПАЛСТИКОВОЇ ПРОДУКЦІЇ В УКРАЇНІ, ЙОГО ПРОБЛЕМИ

Близько 5 роківтому на українському ринку споживачам пропонували понад 40 брендів ПВХ-профілю. Переважно це були марки імпортного виробництва. Сьогодні вони також присутні на ринку, але не в такій кількості, оскільки вагома частина ринку сьогодні все ж таки належить компаніям, які екстрадують профіль в Україні.

Серед торгових марок ПВХ-профілю, який виробляється в Україні, можна зазначити: ТМ Winbau, WDS, Wintech, VEKA, Aluplast, KBE та ряд інших. При цьому далеко не всі компанії витримують конкуренту боротьбу: багато хто залишає ринок. Наприклад, минулого року припинив свою діяльність завод Venta.

У загальній структурі виробництва частка профілю, виробленого в Україні, становить 80%. Зараз обсяги продажів в натуральному і фінансовому вираженні корелюють. Ринок настільки щільний, що всі працюють на утримання клієнта. Цінова політика виробників практично ідентична. Інакше кажучи, завоювати клієнта лише шляхом економічно вигідної пропозиції вже не достатньо, оскільки цінова різниця між конкуруючими компаніями незначна. Тому частки обсягу в коштах і в метрах майже однакові.

На сьогодні ринок переходить у стадію насичення. Останні два роки він майже не розвивається, особливо, у порівнянні з тими темпами зростання, які були на світанку його формування.


Безумовно, на темпах розвитку ринку позначилася криза і зниження платоспроможності населення. Різко скоротилися обсяги будівництва, а з ними й обсяги продажів пластикових вікон. Разом з тим, ринок перейшов у іншу площину і став розвиватися переважно у бюджетному сегменті. З ринка йдуть дрібні дилери, малі та середні підприємства. Причому невеликі виробники закривають свій бізнес масово. Наприклад, в 2012 році в Донецькій області тільки навесні понад 30 компаній припинили свою діяльність.

У той же час частина виробників трансформувалася у дилерів. Для виробників ПВХ-профілю, в тому числі для ГК Winbau, це означає, що партнерів-переробників стало менше, але вони стали більшими.

Початком процесу консолідації ринку можна вважати 2008-2009 рр. Однак у цей період процес тільки розпочався, і попит на ринку ще залишався на високому рівні. Переломним став 2012 рік, коли процес трансформації та реструктуризації вступив до активної стадії і дрібних виробників практично не залишилося.

Безумовно, існує регіональна специфіка ринку, – наприклад, у Харкові та Львові продовжують працювати невеликі підприємства. У той час як в інших регіонах домінують великі заводи. При цьому якщо в регіоні немає своїх великих переробників, то вікна привозять із сусідніх областей. В цілому, в Україні сьогодні працюють понад 30 великих заводів.

Великі переробники зараз виробляють у середньому 500-600 вікон на добу. Найчастіше 100 вікон – це нижня сходинка рентабельності. Найпотужніші компанії виробляють 1000-1500 вікон на добу.

У свій час компанія Winbau вибрала революційний підхід – зробила ставку на формування мережі філій. Відбувалося це у період, коли з великими клієнтами переважно працювали імпортні постачальники, і щоб закріпитися на ринку, потрібно було розвивати своїх клієнтів. Ми орієнтувалися на дрібного і середнього клієнта і розраховували на масовість. Великих заводів як таких майже не було. У кожному регіоні була філія,яка забезпечувала максимальну кількість клієнтів. На той момент компанія працювала з понад 450 клієнтами.

З самого початку стратегія ГК Winbau була спрямована на вирощування клієнта на своєму продукті: на маркетинговому інвестуванні у розвиток його бізнесу, – працювала програма навчання, на постійній основі проводилися тренінги, здійснювалась широка рекламна підтримка.

Коли клієнти стали консолідуватись, стратегія рекламної підтримки була переглянута. Якщо спочатку основним акцентом маркетингу був сам продукт, то пізніше – адресна реклама продукту у конкретного партнера (наприклад, на транспорті). Там, де в регіоні було кілька невеликих заводів, реклама супроводжувалася гарячою лінією, для того щоб не посилювати конкуренцію всередині регіону. Таким чином компанія змінювала свою стратегію просування відповідно до ринкової кон'юнктури.

На сьогодні позиції на ринку розподілені між кількома великими виробниками, а динаміку продажів визначає сформована дилерська мережа. На ринку завжди була і залишається дуже велика дилерська складова. Проте, сьогодні можна констатувати, що рівень кваліфікації дилерів щодо продажів значно впав. Раніше багато виробників, постачальників проводили тренінги, семінари, спрямовані на створення цінності продукту, на навчання тому, як працювати зі споживачем, як продавати дорогий продукт. Зараз майже ніхто такі заходи не використовує. Компанія Winbau залишається однією з небагатьох компаній, яка докладає зусилля в цьому напрямку.


На ринку b2b, зокрема, в бюджетній сфері зараз масово встановлюють вікна в соціальному секторі в регіонах – школи, дитячі садки, лікарні. При цьому фінансування в соціальному секторі в областях відбувається переважно за рахунок бюджету, а у містах, зазвичай, за рахунок приватних інвестицій (батьки, фонди тощо).

Найбільш привабливий для бізнесу сегмент – сегмент будівництва – зараз не такий активний, але він також займає певну частку. Однак мова йде скоріше про будівництво житла економ-класу, і, відповідно, віконні конструкції в основному встановлюються також економ-класу.

Відносно цінових сегментів слід сказати, що хоча преміальний сегмент займає незначну частку ринку, спостерігається деяка позитивна динаміка. Зокрема, збільшується обсяг продажів 5-ти камерних систем. У деяких регіонах зростання сягає 15%. Надалі сегмент продовжить зростання, оскільки, наприклад, до участі у тендерах приймаються тільки 5-ти камерні системи.

Якщо говорити про регіональну специфіку, то продукція преміум-сегменту має більший попит у Росії через діючи ГОСТи на енергоефективність.

В Україні 5-ти камерна система має непогані показники продажів в західних регіонах. Так само як ламінація і тонуванняе.

Цього року набув чинності закон, який регламентує підвищення коефіцієнту опору теплопередачі. У результаті тільки 5-ти камерні системи та енергозберігаючі пакети будуть підходити для будівництва нового житлового фонду.

Маркетингові інструменти завойовування уваги споживачів постійно змінюються. Якщо в період становлення ринку інтерес до бренду формувала зовнішня реклама, реклама на транспорті, то тепер провідну роль відіграє Інтернет, в якому споживач знаходить усю необхідну йому інформацію. У мережі Інтернет споживач може відразу побачити велику кількість пропозицій, які є на ринку, і ознайомитися з цінами на продукцію.

Основним фактором, який впливає на вибір ТМ ПВХ-профілю, залишається досвід (власний або досвід знайомих). Велику роль відіграють репутація виробника і точки продажів. Збираючись встановлювати вікна, споживачі, як правило, знають, до якої точки вони підуть, і де вона розташована. Тому дуже часто дилери не змінюють свою дислокацію роками.

Певні маркетингові інструменти актуальні і досі. Наприклад, обсяги продажів все ще сильно залежать від місця розташування салонів. Якщо вони розташовані в людних місцях, значно зростають шанси, що туди будуть заходити випадкові споживачі. Зберігає свій вплив і телевізійна реклама.

У той час як реклама в газетах перестала бути ефективною. На її місце прийшла реклама на квитанціях для сплати комунальних послуг і використання інших нестандартних форматів.


Відносно новими важелями залучення споживачів є активні телефонні продажі (використовують телефонні довідники підприємств, заводів, колгоспів, навіть квартир), он-лайн продажі через Інтернет.

Тенденції такі, що першу скрипку в галузі грає недорогий сегмент. Чим потужніше виробництво, тим сильніше прагнення до збільшення обсягів. Чим дешевше вікно, тим вище оборотність і темпи зростання прибутку. Якщо обсяг виробництва на заводі нижче порога рентабельності (близько 100 вікон на добу), то утримувати таке підприємство не має сенсу. Тому виробники концентруються на недорогому сегменті, а дорогий скорочують або взагалі відмовляються від нього.

Але навіть сегмент 5-ти камерних систем зараз трансформувався у формат економ-класу, оскільки виробник зацікавлений створити масовий продукт – за рахунок зменшення товщини стінки, ваги, габаритних розмірів.
Проте перспективи є й у невеликих виробництв, які працюють на якісних профілях (наприклад, на 5-ти камерні системі, на Optimum). Вони будуть працювати доти, доки у них буде високий рівень менеджменту, доки власник, топ-менеджер розуміє, як працювати з клієнтами, як їх залучати та утримувати.

Сьогодні деякі компанії просувають свою продукцію і якості інноваційної, наприклад, 8-ми камерну систему. Однак нічого інноваційного в ній немає, це не більше ніж маркетинговий хід. 8-ми камерна система передбачає високу маржу. Якщо людина бачить таке вікно, вона розуміє, що це не масовий продукт, і за нього доведеться заплатити більше.

Ще 2-3 роки особливих змін на ринку не буде. Коли ситуація з ГОСТами стабілізується, виробники та дилери будуть працювати в основному з 5-ти камерними профілями, 3-х камерні системи залишаться тільки в сегменті роздрібного продажу і теж поступово зникнуть з ринку.

Продовжиться подальше падіння ринку. Цього року його обсяг скоротився мінімум на 20%. Точніше масштаб скорочення можна буде оцінити по закінченню року. Думаю, на ринку до кінця року відбудеться закриття деяких підприємств. Вже сьогодні на ряді підприємств керівництво знижує витрати за рахунок скорочення заробітних плат та чисельності персоналу.

Невелике пожвавлення ринку може викликати вливання грошей в економіку в передвиборний період. Однак це не принесе довгострокового ефекту. Глобально позитивні зміни на ринку можуть відбутися тільки в разі поліпшення економічної ситуації в країні і зростання матеріального добробуту громадян.

 

РОЗДІЛ 2: ОРГАНІЗАЦІЙНО- ЕКОНОМІЧНА ХАРАКТЕРИСТИКА ДІЯЛЬНОСТІ ПІДПРИЄМСТВА.

2.1. Місце знаходження підприємства, його віддаленість від ринку збуту та забезпечення.

Підприємство ТзОВ «ВІК – 2» розташоване у Львівській області Радехівський район місто Радехів вул. Транзитна, 5в, що знаходиться в північно-східній частині Львівської області. Радехівський район межує з Кам'янко-Бузьким, Сокальським, Бродівським,Буським районами та Горохівським районом Волинської області, а також з м. Червоноград.

Від обласного центру місто радехів розташовано на відстані 70 кілометрів.Підприємство на дуже близькій відстані від ринків збуту, адже вона розташоване в центрі районного центру і постачає свою продукцію по всій частині району.Також підприємство ТзОВ «ВІК – 2» постачає свою продукці по всіх західній Україні

2.2. Потужність і матеріально технічна база підприємства.

Виробнича потужність підприємства, як і матеріально-технічна база підприємстав є досить великою. Підприємство «ВІК – 2» оснащене новітньою матеріально-технічною базою. Тобто на підприємстві все обладнання яке використовується для виготовлення продукціє є новим, що дозволяє, суттєво, знизити фізичні та матеріально витрати на виготовлення одиниці продукції. Також, це сприяє сутєві економії часу, адже час це гроші і кожне підприємство яке хоче процвітати на ринку повине вдало розпоряджуватись часмо.

Те, що на підприємстві задіяне новітнє обладнання дозволяє суттєво збільшити виробничу потужність підприємста. Із новітнім обладнанням підприємство має змогу вироблять від 75 до 100 одиниць продукції на добу, це дуже високий показник.

 

 

РОЗДІЛ 3: ОРГАНІЗАЦІЯ ВИРОБНИЦТВА МЕТАЛО-ПЛАСТИКОВИХ ВИРОБІВ.

3.1. Зварювання ПВХ профілів.

ЗварюванняПВХ профілів відбувається за допомогою спеціального зварювального устаткування. В залежності від обсягів виробництва зварювальні верстати можуть мати 1,2 або 4 зварні головки. Самим продуктивним природно є верстат з 4 зварювальними головками, процес зварювання рами відбувається одночасно в 4-х кутах. На 2-х головочную обладнанні зварювання відбувається за два цикли, а на 1-головочную відповідно за 4 циклу. У процесі зварювання потрібно чітко витримувати необхідні умови:

Температ зварного ножа 230 – 250 ° С. Повинна бути чистою сама поверхня ножа.Тефлонове покриття протирають чистою бавовною або паперовим рушником щогодини, на «гарячу», без використання будь-яких розчинників.

Час нагрівання шва: від 25 до 40 секунд. Зварювання шва відбувається: від 25 до 40 сек.

Перед установкою ПВХ профілю на зварювальний верстат потрібно перевірити чистоту обох поверхонь, що зварюються, так як стружка ПВХ профілю, масло, бруд або стружка сильно погіршують якість зварного шва. Після закінчення зварювання необхідно здійснювати візуальний контроль якості зварного шва металопластикового вікна:

· шов повинен бути білого кольору (потемніння неприпустимо, оскільки говорить про те, що температура нагріву була вище допустимої або було збільшено час розігріву)

· шов повинен бути рівномірним по всій довжині

Заготовки повинні бути проварені по всій площі зварюваної поверхні. Контроль відповідності габаритних розмірів рами згідно листу замовлення.

 

Зачистка кутів пластикових вікон.

Зачистку кутів виробів роблять вручну або на спеціальному зачисні верстаті. При зачистці швів вручну використовують стамеску з вузьким лезом і спеціальний серповидний ніж. При зачистці зачистними автоматами потрібно приділяти увагу поверхні профілю, щоб небуло пошкоджень фрезами. Автоматичний верстат зачищає 1 або 2 кута одночасно. Після закінчення зачисних робіт і контролю якості зачищення, вироби продувається стисненим повітрям і поміщається на спеціальні стійки для зберігання.

3.2. Установка імпостів та ущільнювальної гуми.

У різних профільних системах кріплення імпоста здійснюється по різному (куточки, пробки і т.д) В профілі імпоста є пази до яких за допомогою двох шурупів 5х40мм (4х40мм) приєднуються з'єднувач імпоста. Олівцем або маркером роблять розмітку в місці установки майбутнього імпоста. Так само потрібно звернути увагу, що розмітку проводять від одного краю рами і потім контролюють відстань з іншого боку рами. По спеціальному кондуктору свердлиться отвір під саморіз 5х70 мм. для кріплення інпоста. Імпост з уже встановленим з'єднувачем ставитися в раму у відповідності з розміткою. З'єднувач імпоста прикріплюється до рамного профілю за допомогою 4-х саморізів 4х25 мм. У заздалегідь просвердлений отвір у рамному профілі загортається саморіз 5х70 мм. Якщо імпост встановлений як потрібно виріб переходить до установника ущільнювальної гуми.

Ущільнення в стулку пластикового вікна проводиться цілісним шматком ущільнювальної гуми. Установка гуми в паз повинне починатися в середині верхньої поперечини рами. Ущільнювальна гума вручну встановлюється в паз так, щоб запобігти її розтягування. Клеїться гума за допомогою спеціального молекулярного клею. Додатково підклеюється на стулці по кутах. У конструкції пластикового вікна з імпостом в рамі необхідно додатково фрезерувати отвір в місці примикання імпоста (В). У разі глухого скління допускається стикувати методом А (див рис. Вище) У цьому випадку в місцях з'єднання імпоста і рами фрезерувати отвори не потрібно. У місцях з'єднання ущільнювач клеїться модекулярним клеєм. Далі свердлять отворів для вирівнювання тиску всередині пвх профілю. Отвори для вирівнювання тиску свердляться у верхній частині рами в торці наплава і бічній частині притвору з внутрішньої сторони.

 

3.3 Встановлення фурнітури.

На цьому етапі встановлюють фурнітуру на пластикове вікно у відповідності з листом замовлення. На стулку встановлюються кутові передачі, з'єднувачі запорів і середні запори, які закріплюються саморізами 4х25 мм.) Основний запор обрізається до потрібних розмірів на пневматичній гільйотині. Перед обрубанням фахівець повинен точно визначити розмір стулки по фальці й установити цей розмір на масштабній лінійці. Маленька похибка у вимірах призводить до браку всього вікна! Основний запор монтується на стулку і кріпитися шурупами (4х25 мм). В основному вся фурнітура мають спеціальні фіксатори, що утримують положення фурнітури в нейтральному положенні. Це потрібно для того, щоб під час установки всі частини фурнітури правильно з'єднувалися між собою. Фіксатори самостійно обриваються при першому повороті ручки. Ножиці теж обрізаються під потрібний розмір на гільйотині. Далі встановлюються на стулку і закріплюються шурупами 4х25 мм. Якщо стулка вище 800 мм по фальцу, то потрібна додаткова установка притиску стулки між верхньою і нижньою петлею. Для цих цілей існує середній замок. На стулку за допомогою шаблону монтується частину нижньої петлі і закріплюється саморізами 3.9х40 мм. Більш довгі саморізи застосовуються бо вони заходять тільки в пластик. Самонарізи повинні пройти як мінімум через 2 перегородки профілю. На раму встановлюються верхня і нижня петлі. Вони кріпляться саморізами 4х25 мм. Потім рама і стулка соедіняються в цельнуое виріб. На раму крепяться всі необхідні відповідні частини. Далі проводиться візуальна і функціональна перевірка фурнітури. Ручка повинна повертатися плавно ривків. Перевіряється відстань між лицьовою поверхнею рами і стулки рівне. Затиснутий аркуш паперу між стулкою і рамою не повинен вийматися дуже легко.

3.4. Встановлення склопакетів на металопластикові вікна.

Остаточна регулювання металопластикові вікна відбувається на стенді. Він дозволяє імітувати установку вікна в проріз. На цьому ж стенд потрібно здійснювати загальний контроль якості конструкції.

Призначення підкладок під склопакети.

Розподіляти вагу склопакета щоб виключати не бажані напруги в склі, які утворюються при різних умовах експлуатації, через перепад температур та ін.

· виключити можливість віджиму стулки при її зламі

· виключити не бажаний контакт склопакета з рамою і стулкою

Технологія регулювання пластикових вікон.

В створку ставиться подкладка в те места, где будут установлены подкладки под стеклопакет, на расстоянии примерно 50 мм от углов стеклопакета. Стеклопакет монтируется в створку окна на две подкладки толщиной где то 5 мм. №1 и №2.(см. рис. ниже). Далее выравниваем стеклопакет в проеме окна при помощи монтажной лопатки и ставим №3 и №4 толщиной по 5 мм каждая. Убираем подкладку №2, при этом весь вес стеклопакета перейдет на подкладку №1. Поворачиваем ручку и проверяем работу створки. При провисанні стулки потрібно здолати наступне. Вставити монтажну лопатку між фальцем рами і верхом склопакета. Натискаючи на склопакет перемістити верх рами вгору і встановити підкладку № 6 необхідної товщини (Мал.2). Перевірити роботу стулки і при необхідності змінити товщину підкладки № 6. При висоті стулки більше 1,3 м необхідно встановити додаткові дистанційні підкладки № 7 і № 8. Всі підкладки необхідно закріпити не великою кількістю силікону. Це потрібно щоб не відбувалося їх зміщення при монтажі штапиків і подальшому транспортуванні на обьект. Після монтажу штапиків потрібно "осадити" пластиковим молотком частини стулки. Всі операції з подальшої регулювання стулок відбуваються на спеціальному стенді вертикальному положенні. На місця встановлення несучих і дистанційних підкладок встановлюються підкладки для вирівнювання фальца. Склопакет встановлюють на несучі підкладки № 1 й № 2 товщиною 5 мм. М

онтажною лопаткою вирівнюють положення склопакета в прорізі рами. Підбирають дистанційні підкладки № 3 і № 4 потрібної товщини. Якщо відбувається заскленні глухих конструкцій з горизонтальним імпостом то потрібно вагу верхнього склопакета передати на стіни через підкладки та нижній склопакет. Для цього зверху нижнього склопакета потрібно встановити додаткові підкладки № 5 та № 6. (Мал.3)

РОЗДІЛ 4: ОРГАНІЗАЦІЯ ЗБУДУ МЕТАЛОПЛАСТИКОВИ ВИРОБІВ

Формування асортименту.

Асортимент продукції VIK-2 представлений 4- і 5-камерними профільними системами, які розроблені з урахуванням кліматичних умов України. Найсучасніші технічні розробки були використані для забезпечення протистояння крижаному морозу і спеці. Системи Вікон і Дверей VIK-2 допоможуть Вам контролювати клімат усередині Вашого будинку найбільш розумно і не марнотратно. Больш того, VIK-2 ПВХ вікна і двері допоможуть заощадити до 40% енергії.

4.2.Товаропостачання підприємств роздрібної торгівлі.

При організації товаропостачання підприємства роздрібної торгівлі враховувались наступні основні вимоги:

· Джерела і прийняті форми постачання визначаються з урахуванням асортименту і об’єму випускаються підприємствами промисловості та іншими виготовниками товарів віддаленості від забезпечення підприємств торгівлі.

· Завезення товарів здійснюється відповідно до попиту населення і встановленого для магазина асортиментного переліку.

 

4.3. Організація відпуску-приймання метало-пластикових виробів.

Приймання виробів проводить відділ технічного контролю підпри­ємства-виробника партіями у відповідності з вимогами цього стандарту і комплекту технічної документації на конкретний тип виробів.

Партією треба вважати вироби одного виду, виготовлені за однією технологією з одних і тих самих матеріалів.

Вхідний контроль матеріалів, що поставляються, комплектуючих ви­робів, наведених в 4.3.1, проводиться у відповідності з вимогами ГОСТ 24297, цього стандарту, нормативних документів на конкретні види матеріалів і виробів та за переліком матеріалів, які підлягають вхідному контролю, затвер­дженому за встановленим порядком і діючому на підприємстві-виробнику.

Вироби підлягають приймально-здавальним та періодичним випро­буванням.

Приймально-здавальним випробуванням підлягає кожний виріб у відповідності з вимогами цього стандарту та технічної документації.

До приймально-здавальних випробувань вироби пред'являються в остаточио зібраному вигляді у відповідності з вимогами цього стандарту і конструкторської документації.

Приймально-здавальні випробування суцільним контролем проводяться у відповідності з вимогами 4.2.31; 4.4.1 -4.4.4; 4.5.1 -4.5.4; 4.6.1.

Приймально-здавальні випробування вибірковим контролем проводяться у відповідності з вимогами 4.2.1 - 4.2.6.

Вибірковий контроль проводиться відповідно до ГОСТ 18321 в кількості виробів не менше 3 шт.

При отриманні незадовільних результатів контролю проводять повтор­ний контроль на подвоєній кількості зразків, відібраних від тієї самої партії. В разі незадовільних результатів повторного контролю партія виробів прийманню не підлягає.

Дозволяється поштучне приймання виробів.

Операційний контроль виробів проводиться у відповідності з вимогами 4.2.22; 4.2.24-4.2.30.

Періодичним випробуванням підлягають вироби, які витримали фиймально-здавальні випробування. Кількість зразків: за 4.2.7 – 4.2.16; 4.2.18; 4.2.19; 4.2.23 - 1 шт.

Періодичним випробуванням на відповідність вимогам 4.2.7 - 4.2.16; 4.2.18; 4.2.19; 4.2.23 повинні підлягати вироби не рідше одного разу за три роки або при зміні технології виготовлення і комплектуючих.

Випробування на відповідність 4.2.17 проводяться на трьох зразках не рідше одного разу за три місяці.

При отриманні незадовільних результатів випробувань проводятьпов­торні випробування на подвоєній кількості зразків. В разі незадовільних результатів повторних випробувань випуск виробів припиняється до виявлення причин браку та відпрацювання технологічного процесу.

Результати періодичних випробувань оформлюються протоколом і затверджуються керівником підприємства-виробника.

Споживач має право проводити контрольну перевірку відповідності виробів вимогам цього ДС'ГУ, дотримуючись при цьому приведеного порядку відбору виробів та застосовуючи вказані методи контролю.

Кожна партія виробів повинна мати документ про якість (паспорт), який складається підприємством-виробником і повинен містити:

- найменування підприємства-виробника, його місцезнаходження; - найменування та умовне позначення виробів;

- номер партії;

- дату виготовлення;

- кількість виробів в штуках;

- специфікацію приладів і комплектуючих;

- дані випробувань.

4.4. Контроль якості.

Геометричні розміри виробів і профілів із ПВХ, пожолобленість та відхилення площинності виробів, відхилення товщин зовнішніх стінок профілів, відхилення розмірів пазів для штапиків (4.2.1 - 4.2.6; 4.3.3; 4.3.4) вимірюються у відповідності з ГОСТ 26433.1. Для вимірів використовують граничні калібри за ГОСТ 15876, штангенциркуль за ГОСТ 166, вивірні лінійкі за ГОСТ 8026, набір щупів за ГОСТ 8925, кутомір з ноніусом за ГОСТ 5378, рулетку за ГОСТ 7502.

Вимірювання геометричних розмірів (4.3.3; 4.3.4) проводиться на п'яти зразках профілів довжиною 20 мм кожний.

Контроль відхилення площинності виробу відносно прилеглої площини перевіряється на двох зразках довжиною 1 м за ГОСТ 23166.

Контроль шорсткості поверхні проводиться візуально, порівнянням із зразками-еталонами шорсткості, затвердженими за встановленим порядком.

Випробування виробів при відчиненні-зачиненні (4.2.8) проводяться за методами, вказаними в ГОСТ 24033 та СТ СЕВ 3285.

Випробування виробів на опір статичним навантаженням, які діють в площині віконної стулки і дверного полотна (4.2.9), проводяться за методами вказаними в ГОСТ 24033 і СТ СЕВ 4178.

Випробування виробів на опір статичним навантаженням, які діють перпендикулярно площині стулки і полотна (4.2.10), проводяться за методом. вказаним в ГОСТ 24033 і СТ СЕВ 4179.

Випробування виробів на опір статичним навантаженням, які діють на замикаючі прилади і ручки (4.2.11), проводяться за ГОСТ 24033.

Випробування виробів на опір ударному навантаженню (4.2.12), яке діє в напрямку відчинення, проводяться за ГОСТ 26892.

Випробування виробів на опір ударному навантаженню (4.2.13), яке діє в напрямку зачинення дверей, проводяться за СТ СЕВ 4180.

Випробування виробів на опір пробиванню дверного полотна (4.2.14) проводяться за СТ СЕВ 3284.

Випробування виробів на опір вітровим навантаженням (4.2.15) про­водяться у відповідності з "Методикою випробувань зовнішніх огороджувальних конструкцій будівель на дію вітрових навантажень", КиївЗНДІЕП.

на установці, схема якої наведена в додат­ку М. Зразок установлюється 7.10 Випробування на визначення зусиль відчинення-зачинення виробів (4.2.16) проводяться у відповідності з методикою КиївЗНДІЕП.

Для перевірки міцності зварного кутового або "Т"-подібного з'єднання виробів (4.2.17) необхідно відібрати три зразки кутових або "Т"-подібних зварних- з'єднань під кутом 90±10. При цьому гіпотенуза кутового з'єднання по нейтральним осям профілів повинна бути 400±2 мм (додаток Л).

Перед випробуваннями зразки повинні бути витримані при температурі +23°С ±5°С протягом 2 годин.

Випробування проводяться на спеціальні візки таким чином, щоб нейт­ральна вісь профілю співпадала з віссю візка, що забезпечує прикладення сили Вільно та рухомо. Візки не повинні мати обмежень свободи пересування.

Для асиметричних профілів, з метою рівномірної передачі зусилля на зварне з'єднання, повинні застосовуватися накладки.

Ціна поділки шкали вимірювального приладу новинна бути не більше 100 Н, а швидкість навантаження - 50±5 мм/хв.

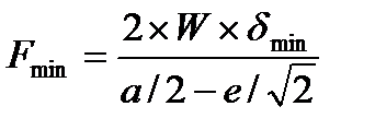
Зразок з'єднання навантажується до зруйнування, при цьому руйнівна сила Fp не повинна бути меншою за мінімальну силу Fmin , яка визначається за формулою

,

де Fmin - мінімальна руйнівна сила;

W -момент опору профілю в напрямку навантаження;

dmin - мінімальне руйнівне напруження;

а - відстань між осями повороту (а = 400±2 мм);

e - відстань від нейтральної осі до крайніх волокон, мм.

Для "Т'-подібних з'єднань вибирають мінімальний момент опору із профілів, що з'єднуються.

Опір теплопередачі виробів (4.2.18) визначають за ГОСТ 26602.

Опір повітропроникності виробів (4.2.19) визначають за ГОСТ 25891.

Випробування на звукоізоляцію виробів (4.2.20) проводиться у відповідності з ГОСТ 27296.

Визначення коефіцієнта світлопропускання виробів (4.2.21) проводиться у відповідності з ГОСТ 26302.

Перевірка виробів на водопроникність (4.2.23) проводиться у відпо­відності з "Методикою визначення водозахисних якостей зовнішніх огороджувальних конструкцій", КиївЗНДІЕП, (наказ Держкоммістобудування України №8/12-16 від 12.02.97 р).

Наявність гнучких ущільнювальних прокладок (4.2.22), прорізів для відведення води і сконденсованої вологи (4.2.24), наявність елементів жорсткості, вкладишів, обмежувальних та фіксуючих підкладок під скло і склопакети ущільнювальних прокладок і відповідність їх установки вимогамнормативної документації (4.2.26-4.2.30) перевіряється візуально.

Колір, якість поверхонь профілів із ПВХ та їхню шорсткість (4.2.5; 4.2.31) перевіряють візуально, шляхом порівняння із зразками-еталонами, затвердженими за встановленим порядком.

Визначення температури розм'якшення профілів із ПВХ заВіка(4.3.5) проводиться на трьох зразках за ГОСТ 15088, спосіб В.

Випробування на ударну в'язкість профілів із ПВХ (4.3.6) проводяться у відповідності з ГОСТ 4647 з таким доповненням: товщина зразка та сама, як товщина профілю в місці вирізування зразка. За результат випробувань приймають середнє арифметичне значення трьох зразків, при цьому кожне індивідуальне значення повинно складати не менше 20 кДж/м2.

4.4. Організація відпуску-приймання метало-пластикових виробів.

Приймання виробів проводить відділ технічного контролю підпри­ємства-виробника партіями у відповідності з вимогами цього стандарту і комплекту технічної документації на конкретний тип виробів.

Партією треба вважати вироби одного виду, виготовлені за однією технологією з одних і тих самих матеріалів.

Вхідний контроль матеріалів, що поставляються, комплектуючих ви­робів, наведених в 4.3.1, проводиться у відповідності з вимогами ГОСТ 24297, цього стандарту, нормативних документів на конкретні види матеріалів і виробів та за переліком матеріалів, які підлягають вхідному контролю, затвер­дженому за встановленим порядком і діючому на підприємстві-виробнику.

Вироби підлягають приймально-здавальним та періодичним випро­буванням.

Приймально-здавальним випробуванням підлягає кожний виріб у відповідності з вимогами цього стандарту та технічної документації.

До приймально-здавальних випробувань вироби пред'являються в остаточио зібраному вигляді у відповідності з вимогами цього стандарту і конструкторської документації.

Приймально-здавальні випробування суцільним контролем проводяться у відповідності з вимогами 4.2.31; 4.4.1 -4.4.4; 4.5.1 -4.5.4; 4.6.1.

Приймально-здавальні випробування вибірковим контролем проводяться у відповідності з вимогами 4.2.1 - 4.2.6.

Вибірковий контроль проводиться відповідно до ГОСТ 18321 в кількості виробів не менше 3 шт.

При отриманні незадовільних результатів контролю проводять повтор­ний контроль на подвоєній кількості зразків, відібраних від тієї самої партії. В разі незадовільних результатів повторного контролю партія виробів прийманню не підлягає.

Дозволяється поштучне приймання виробів.

Операційний контроль виробів проводиться у відповідності з вимогами 4.2.22; 4.2.24-4.2.30.

Періодичним випробуванням підлягають вироби, які витримали фиймально-здавальні випробування. Кількість зразків: за 4.2.7 – 4.2.16; 4.2.18; 4.2.19; 4.2.23 - 1 шт.

Періодичним випробуванням на відповідність вимогам 4.2.7 - 4.2.16; 4.2.18; 4.2.19; 4.2.23 повинні підлягати вироби не рідше одного разу за три роки або при зміні технології виготовлення і комплектуючих.

Випробування на відповідність 4.2.17 проводяться на трьох зразках не рідше одного разу за три місяці.

При отриманні незадовільних результатів випробувань проводятьпов­торні випробування на подвоєній кількості зразків. В разі незадовільних результатів повторних випробувань випуск виробів припиняється до виявлення причин браку та відпрацювання технологічного процесу.

Результати періодичних випробувань оформлюються протоколом і затверджуються керівником підприємства-виробника.

Споживач має право проводити контрольну перевірку відповідності виробів вимогам цього ДС'ГУ, дотримуючись при цьому приведеного порядку відбору виробів та застосовуючи вказані методи контролю.

Кожна партія виробів повинна мати документ про якість (паспорт), який складається підприємством-виробником і повинен містити:

- найменування підприємства-виробника, його місцезнаходження; - найменування та умовне позначення виробів;

- номер партії;

- дату виготовлення;

- кількість виробів в штуках;

- специфікацію приладів і комплектуючих;

- дані випробувань.

4.5. Відділ збуту продукції.

Відділ збуту на підприємстві ТзОВ «ВІК – 2» досить розвинутий. На підприємстві працює два працівники які приймають закази від клієнтів і допомагають вибрати найкращу продукцію для різних клієнтів. Після того як замовлення було оформлене його передають на виробництво, де виробляється продукція. Також ТзОВ «ВІК – 2» співпрацює із дилерами і дистребюторами. Така співпраця дозволяє значно підвищити продаш продукції і більше уваги приділити виготовленю продукції.


РОЗДІЛ 5: ОРГАНІЗАЦІЯ ЗБЕРІГАННЯ, ПІДГОТОВКИ ДО ПРОДАЖУ ТА ТРАНСПОРТУВАННЯ ПРОДУКЦІЇ. ОФОРМЛЕННЯ ПРИЛЬМАНО ЗДАВАЛЬНИХ ДОКУМЕНТІВ.

Вироби транспортують будь-яким видом транспорту за умови дот­римання правил та вимог, чинних на данному виді транспорту.

При транспортуванні та зберіганні виробів повинні бути прийняті заходи для захисту їх від механічних пошкоджень, дії атмосферних опадів та теплової дії (прилади опалювання, пряме сонячне проміння)

Маркування наноситься на нелицьову поверхню кожного виробу або на металеву, пластмасову бірку або паперову етикетку, яка прикріплюється до виробу, і повинно містити:

- найменування і товарний знак підприємства-виробника;

- умовне позначення виробу;

- дату виготовлення;

- номер партії;

- штамп ВТК;

- знак відповідності за ДСТУ 2296 (якщо такий надано при сертифікації продукції);

- масу;

- позначення нормативного документа.

Маркування вантажних місць треба виконувати у відповідності з вимогами ГОСТ 14192 із зазначенням маніпуляційних знаків: "Крихке. Обережно", "Верх". Маркування повинно виконуватися українською мовою або мовою, указаною в договорі на поставку. Спосіб виконання маркування та додаткові вимоги до нього встановлюють в технічній документації на вироби конкретних типів.

В кожному виробі перед пакуванням повинні бути зачинені і зафіксовані стулки або полотна. 2 Пакування виробів проводиться в тару, виготовлену за кресленнями заводу-виробника, розробленими та затвердженими за встановленим поряд­ком. Допускається вироби не пакувати при перевезенні на спеціально оснащеному транспорті.

Кількість виробів та способи їх укладання повинні забезпечувати збереження під час вантажно-розвантажувальних робіт та транспортуванні різними видами транспорту.

Масса (брутто) вантажного місця повинна бути не більше 1000 кг.

Неустановлені на вироби прилади або частини приладів, елементи для кріплення виробів в прорізах несучих конструкцій повинні бути загорнуті в двошаровий пакувальний папір за ГОСТ 8828 або укладені в пакети з полі­етиленової плівки за ГОСТ 10354 і упаковані в тару (ГОСТ 2991).

Допускається застосування в якості пакувального матеріалу інших типів паперу, поліетиленової плівки та обв'язувальних матеріалів (стрічки, шпа­гати), які не поступаються за своїми властивостями, що зазначені вище. Великогабаритні і покупні деталі, що входять в комплект поставки, але не установлені в конструкції, можна поставляти в упаковці підприємства-виробника.

Вироби повинні поставлятися комплектно. В комплект поставки повинні входити:

- виріб у відповідності із замовленням;

- комплект елементів кріплення до несучих конструкцій будинку;

- паспорт;

- неустановлені комплектуючі вироби;

- вказівки з монтажу та експлуатації..

Вироби повинні поставлятися замовнику у зібраному вигляді. Допуска­ється ручки для виробів, прилади та інші елементи, які виступають відносно площини виробів, не установлювати при виготовленні, а поставляти в комп­лекті з виробами.

Технічна документація на вироби (вікна, балконні двері та двері) повинна містити такі дані:

1 Пояснювальну записку.

2 Типи і розміри виробів.

3 Складальні креслення виробів:

- вузли прилягання складових складальних одиниць;

- кількість і розташування віконних та дверних приладів, підкладок під скло і склопакети, ущільнювальних прокладок і кріпильних виробів;

- типи, розміри і варіанти кріплення елементів жорсткості.

4 Креслення деталей:

- поперечні перерізи профілів із ПВХ із зазначенням розмірів і допусків, моменту опору, відстані до критичних волокон.

5 Варіанти установлення та кріплення виробів у прорізах.

РОЗДІЛ 6: ШЛЯХИ ПІДВИЩЕННЯ ЕФЕКТИВНОСТІ ЗБУТУ ПРОДУКЦІЇ ПІДПРИЄМСТВА.

Конкурентне ринкове середовище вимагає від підприємства постійного вдосконалення. Для того щоб бути конкурентоспроможним, підприємство повинно мати конкурентні переваги. Основними шляхами їх отримання є такі:

- стати кращим самому через вживання заходів щодо удосконалення власної діяльності та підвищення її ефективності;

- безпосередньо послабити конкурентів;

- змінити ринкове середовище.

Оскільки реалізація останніх двох напрямків потребує значних зусиль, основним засобом отримання конкурентних переваг залишається підвищення ефективності власної діяльності.

Пошук резервів зростання ефективності роботи підприємства проводиться шляхом ґрунтовного аналізу всіх складових його діяльності з використанням чинників.

Підприємство працює в певному економічному середовищі, яке впливає на його діяльність. Досконалість податкової та амортизаційної систем, кредитна і фінансова політика держави, стабільність і прогресивність норм чинного законодавства, рівень регулювання цін у національній економіці, система ліцензування - ці та інші, незалежні від підприємства, чинники безперечно впливають на ефективність його діяльності. Це зумовлює виділення серед чинників підвищення ефективності діяльності групи неконтрольованих підприємством чинників. Удосконалення механізму економічного впливу на підприємства - основна функція держави на шляху підвищення ефективності роботи суб'єктів національної економіки.

Використання ресурсних чинників дасть змогу підприємству розробити програму заходів, спрямованих на підвищення ефективності діяльності за рахунок власних можливостей, у таких напрямах.

Напрямки підвищення ефективності використання основних засобів.

Інтенсивні напрямки підвищення ефективності використання основних засобів:

- удосконалення структури основних засобів підприємства;

- технічне переозброєння підприємства;

- механізація й автоматизація виробництва;

- оптимізація структури виробничого обладнання (ліквідація проблемних місць);

- Удосконалення технологічних процесів;

- ліквідації проблемних етапів у виробничому процесі;

- скорочення тривалості виробничого циклу;

- комплексне використання і покращання якості сировини;

- застосування прогресивних форм організації виробництва і праці;

- забезпечення максимального завантаження виробничої потужності підприємства;

- підвищення професійно-кваліфікаційного рівня персоналу, який обслуговує об'єкти основних засобів, та ін.

Екстенсивні напрямки підвищення ефективності використання основних засобів:

- скорочення простоїв устаткування внаслідок підвищення якості ремонтного обслуговування, своєчасного забезпечення основного виробництва висококваліфікованим персоналом, сировиною, матеріалами, паливом, напівфабрикатами;

- підвищення коефіцієнта змінності роботи устаткування;

- зменшення кількості непрацюючого устаткування та ін.

Напрямки прискорення обертання оборотних коштів.

На етапі формування виробничих запасів:

- створення оптимальних обсягів виробничих запасів;

- застосування при формуванні виробничих запасів принципу оптимального співвідношення ціни та якості;

- використання раціональних схем постачання матеріальних ресурсів.

У сфері виробництва:

- скорочення тривалості виробничого процесу;

- упровадження прогресивних ресурсозберігаючих технологій;

- зниження матеріало- і енергомісткості продукції;

- економне використання матеріальних ресурсів; комплексна переробка сировини та використання відходів; організація використання вторинних ресурсів;

- модернізація виробничої інфраструктури підприємства;

- формування системи мотивації за раціональне використання матеріальних ресурсів.

У сфері обігу:

- удосконалення маркетингової діяльності підприємства;

- прискорення процесу реалізації готової продукції;

- стимулювання збуту продукції;

- удосконалення системи розрахунків за відвантажену продукцію;

- ефективне управління дебіторською заборгованістю;

- пошук оптимальних схем взаємодії з банківськими установами з приводу залучення коштів і здійснення розрахунків.

Напрямки підвищення ефективності роботи персоналу:

- формування оптимального складу персоналу;

ш механізація й автоматизація виробництва;

- заміна діючих технічних засобів на прогресивніші;

- модернізація устаткування;

- впровадження прогресивних технологічних процесів;

- удосконалення управління та організації виробництва і праці;

- поглиблення спеціалізації виробництва;

- збільшення реального фонду робочого часу;

- створення раціональних структур управління;

- створення відповідного морально-психологічного клімату в колективі;

- моральне заохочення працівників;

- поліпшення системи підготовки і перепідготовки персоналу;

- удосконалення систем оплати праці;

- застосування системи участі робітників у прибутках. Кожен із зазначених напрямків на ефективність діяльності

підприємства впливає різною мірою. На кожному етапі діяльності підприємства менеджери мають звертатися до найбільш актуальних і суттєвих за результативністю з них. Проте стратегічний план розвитку підприємства повинен передбачати застосування всіх можливих напрямків підвищення ефективності.

 

РОЗДІЛ 7: ОРГАНІЗАЦІЯ ОХОРОНИ ПРАЦІ.

7.1. Юредично-правові аспекти охорони праці.

Відповідно до Закону України "Про охорону праці" Кодексом законів про працю України створення безпечних і здорових умов праці на виробництві покладено на роботодавця, який не має права вимагати від працівника виконання роботи в умовах, що не відповідають вимогам нормативно-правових актів з охорони праці.

Фінансування охорони праці здійснюється роботодавцем. Крім того, фінансування профілактичних заходів поліпшення стану безпеки, гігієни праці передбачається також у державному і місцевих бюджетах, що виділяється окремим рядком.--

Регулювання взаємовідносин між роботодавцем і працівником з питань охорони праці здійснюється колективним договором (угодою).

У колективному договорі, угоді сторони передбачають забезпечення працівникам соціальних гарантій у галузі охорони праці на рівні, не нижчому за передбачений законодавством, їх обов'язки, а також комплексні заходи щодо досягнення встановлених нормативів безпеки, гігієни праці та виробничого середовища, підвищення існуючого рівня охорони праці, запобігання випадкам виробничого травматизму, професійного захворювання, аваріям і пожежам, визначають обсяги та джерела фінансування зазначених заходів.

Роботодавець зобов'язаний за свої кошти забезпечити фінансування та організувати проведення попереднього (під час прийняття на роботу) і періодичних (протягом трудової діяльності) медичних оглядів працівників, зайнятих на важких роботах, роботах зі шкідливими чи небезпечними умовами праці або таких, де є потреба у професійному доборі, щорічного обов'язкового медичного огляду осіб віком до 21 року. За результатами періодичних медичних оглядів у разі потреби роботодавець має забезпечити проведення відповідних оздоровчих заходів. Медичні огляди проводяться відповідними закладами охорони здоров'я, працівники яких несуть відповідальність згідно із законодавством за відповідність медичного висновку фактичному стану здоров'я працівника. Порядок проведення медичних оглядів визначається спеціально уповноваженим центральним органом виконавчої влади в галузі охорони здоров'я.

7.2. Санітарно-гігієнічні вимоги на робочому місці працівника.

Роботодавець зобов'язаний створити на робочому місці в кожному структурному підрозділі умови праці відповідно до нормативно-правових актів, а також забезпечити додержання вимог законодавства щодо прав працівників у галузі охорони праці.

Із цією метою роботодавець забезпечує функціонування системи управління охороною праці, а саме:

• створює відповідні служби і призначає посадових осіб, які забезпечують вирішення конкретних питань охорони праці, затверджує інструкції про їхні обов'язки, права та відповідальність за виконання покладених на них функцій, а також контролює їх додержання;

• забезпечує виконання необхідних профілактичних заходів відповідно до обставин, що змінюються;

• впроваджує прогресивні технології, досягнення науки і техніки, засоби механізації та автоматизації виробництва, вимоги ергономіки, позитивний досвід з охорони праці тощо;

• забезпечує належне утримання будівель та споруд, виробничого обладнання та устаткування, моніторинг за їх технічним станом;

• забезпечує усунення причин, що призводять до нещасних випадків, професійних захворювань, та здійснення профілактичних заходів, визначених комісіями за підсумками розслідування цих причин;

• організовує проведення аудиту охорони праці, лабораторних досліджень умов праці, оцінку технічного стану виробничого обладнання та устаткування, атестацій робочих місць на відповідність нормативно-правовим актам з охорони праці в порядку і строки, що визначаються законодавством, та за їх підсумками вживає заходів з усунення небезпечних і шкідливих для здоров'я виробничих факторів.

ВИСНОВКИ І ПРОПОЗИЦІЇ.

Як не дивно, не всі ще вважають за необхідне змінювати свої старі вікна на нові металопластикові, хоча людей, які так вважають, все ж таки більшість. Причина великого відсотка негативних відповідей з цього приводу може критися в тому, що ці люди або не мають фінансової можливості цього зробити, або не вважають цей продукт екологічно чистим і більш естетичним. Хоча останніх і меншість, необхідно при розробці реклами, враховувати цю категорію населення і спрямовувати на неї певні рекламні прийоми, що руйнують такі стереотипи.
Виходячи з отриманих даних, приблизно 68% вікон, повинні бути призначені для монтування в типових багатоквартирних будинках, у відповідності з типовими розмірами за проектами, співвідношення яких можна визначити за вторинними джерелами. Але не слід повністю орієнтуватися на типові розміри вікон, хоч вони і будуть становити більшу частину замовлень, потрібно мати і можливості замовляти для продажу і нестандартні розміри вікон.

Було з'ясовано, що більшість віддають перевагу однотонні колірні рішення рам (60% в цілому) не вважають фактуру рам необхідним елементом, а для тих, хто віддає перевагу деревні кольору (35%) - фактура обов'язкове. При цьому існує 5% респондентів, які вибираючи такі кольори, не зацікавлені в наявності фактури. Це говорить про те, що для більш повного охоплення цільового сегмента ринку, і повного задоволення потреб споживача необхідно обумовлювати, при бажанні замовника, кожен елемент оформлення, не кажучи вже про інших параметрах.
Що стосується цін конкурентів, то більшість респондентів назвали їх відносно високими (38%) і середніми (25%), крім того за 15% вважають їх високими і завищеними. Вкрай низькими ціни на цей товар не вважає практично ніхто. При цьому в категорії споживачів, які вважають ціни відносно високими і середніми воліли б великі знижки і безкоштовне сервісне обслуговування безоплатного надання супутніх товарів. А категорія споживачів, які вважають ціни дуже високими воліла б безкоштовні укоси і протимоскітні сітки, в той час як визнали ціни завищеними воліли б великі знижки.
Аналіз оцінок конкуруючих наринку торгових марок показав, що найбільш сильними конкурентами для фірми є німецькі торгові марки, що продаються практично повсюдно. Турецький низькоякісний і непристосований для низьких температур аналог має негативний імідж, хоча продається і знаходить свого споживача. Таким чином, можна відзначити, що споживачі вимогливі до якості товару, і це потрібно враховувати у переговорах з постачальниками.

Всі категорії споживачів, включаючи навіть споживачів з високими доходами, вважали за краще б у більшості випадків набувати ока за низькими, і - рідше - середніми цінами. Це може пояснюватися думкою споживачів про те, що ціни на ринку і так не досить низькі. Необхідно орієнтуватися на середньо-низьку цінову категорію, для задоволення очікувань споживачів. Це допоможе переманити частину потенційних споживачів, а так само - підвищити іміджі і забезпечити окупність випуску.

Підприємству потрібно запровадити акції та знижки на вироблену продукцію для того щоб ще більше привабити покупців. Хоча ТзОВ «ВІК – 2» досить відома фірма потрібно збільшити рекламну компанію. Це сприяє більшому попиту на продукцію. Також потрібно запроваджувати конкурси між дилерами та дистребюторами, для, того щоб, вони вони активніше працювали і робили більше замовлень. Також потрібно розмістити більше реклами в інтернеті, адже зараз дуже багато людей шукають продукцію в інтернеті це також може сприяти збільшеню прожу продукції. І потрібно робити ставку на недорогу але водночас якісну продукцію.

 

Список використаної літератури.

· ДСТУ Б В.2.6.-15-99 Вікна та двері полівіхлоридні.

· Правила продажу непродовольчих товарів. Наказ МЗЕЗ України від 08.11.2007р.

· Старожилова Г.М. «Комерційна діяльність організацій»: навч. пос., 2007. –

· Памбухчиянц О.В. Технологія роздрібної торгівлі. - М.: Маркетинг, 2006. –

· Основи комерційної діяльності.- Ч. ІІ. Практикум: Навч. посіб. / Е.М.Локтєв, В.В. Базилєв, Л.Г.Саркисян. – К.: Вид-во Європ. ун-ту. – 2005.

· http://vik-2.com.ua

· http://yasno-group.com/ua

· http://www.consumerinfo.org.ua

 



<== предыдущая | следующая ==>
Риски, связанные с реализацией стратегии предприятия | АННОТАЦИЯ. Дисциплина Основы теории коммуникации Кафедра Кафедра журналистики





Date: 2015-07-24; view: 592; Нарушение авторских прав



mydocx.ru - 2015-2026 year. (1.928 sec.) Все материалы представленные на сайте исключительно с целью ознакомления читателями и не преследуют коммерческих целей или нарушение авторских прав - Пожаловаться на публикацию