Главная Случайная страница


Полезное:

Как сделать разговор полезным и приятным Как сделать объемную звезду своими руками Как сделать то, что делать не хочется? Как сделать погремушку Как сделать так чтобы женщины сами знакомились с вами Как сделать идею коммерческой Как сделать хорошую растяжку ног? Как сделать наш разум здоровым? Как сделать, чтобы люди обманывали меньше Вопрос 4. Как сделать так, чтобы вас уважали и ценили? Как сделать лучше себе и другим людям Как сделать свидание интересным?


Категории:

АрхитектураАстрономияБиологияГеографияГеологияИнформатикаИскусствоИсторияКулинарияКультураМаркетингМатематикаМедицинаМенеджментОхрана трудаПравоПроизводствоПсихологияРелигияСоциологияСпортТехникаФизикаФилософияХимияЭкологияЭкономикаЭлектроника






На подкрановой балке





в) горизонтальная поперечная нагрузка Hm от боковой силы крана:

(4.6)
где, H01 - характеристическое значение боковой силы от одного крана, наиболее неблагоприятного по воздействию из кранов, расположенных на одном крановом пути; для четырехколесных мостовых кранов определяется как и :
  характеристическое значение горизонтальной нагрузки четырехколесных мостовых кранов, направленной поперек кранового пути и вызываемой перекосами мостовых электрических кранов и непараллельностью крановых путей (боковая сила) для колеса крана:
α - коэффициент, принимаемый равным 0,03 при центральном приводе механизма передвижения моста и 0,01 – при раздельном приводе, в данном примере принимаем – 0,03;
B, L соответственно база и пролет крана (B=К, L=Lcr из ГОСТ стандарта на краны);
– сумма ординат линии влияния опорных реакций подкрановых балок от одного четырехколесного крана;
  (или в случае, когда это более невыгодно).

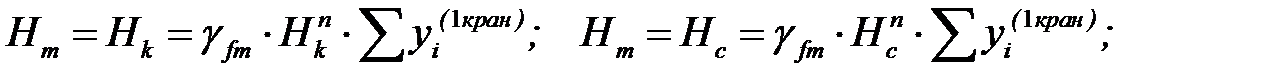
Горизонтальная поперечная нагрузка Hm включает в себя боковые силы Hk и Hс приложенные к соответствующим колесам крана.

Боковые силы Hk приложены только к двум колесам с одной стороны или по диагонали и всегда направлены в разные стороны, к двум другим колесам приложены силы Hс, всегда направленные в одну сторону – внутрь или наружу пролета (рис. 1.14., в).

Горизонтальная нагрузка на колонну определяется для каждой стороны пролета по той же линии влияния, что и вертикальная нагрузка, но с учетом воздействия только одного крана.

Для расчета поперечной рамы следует выбрать из возможных схем приложения боковых сил Hk и Hс наиболее невыгодную схему загрузки линии влияния (рис.).

Для приведенной схемы (рис.) предельная расчетная горизонтальная нагрузка на колонну от боковых сил равна:

- на левую колонну

 

(4.7)

 

- на правую колонну

 

(4.8)

 

где, y1, y2 - ординаты линии влияния опорных реакций подкрановых балок

В курсовом проекте в целях упрощения расчетов допускается рассмотреть одну составляющую расчетного горизонтального давления на колонну от сил поперечного торможения







Date: 2015-07-24; view: 736; Нарушение авторских прав



mydocx.ru - 2015-2026 year. (0.668 sec.) Все материалы представленные на сайте исключительно с целью ознакомления читателями и не преследуют коммерческих целей или нарушение авторских прав - Пожаловаться на публикацию