Главная
Случайная страница
Полезное:
Как сделать разговор полезным и приятным
Как сделать объемную звезду своими руками
Как сделать то, что делать не хочется?
Как сделать погремушку
Как сделать так чтобы женщины сами знакомились с вами
Как сделать идею коммерческой
Как сделать хорошую растяжку ног?
Как сделать наш разум здоровым?
Как сделать, чтобы люди обманывали меньше
Вопрос 4. Как сделать так, чтобы вас уважали и ценили?
Как сделать лучше себе и другим людям
Как сделать свидание интересным?
Категории:
АрхитектураАстрономияБиологияГеографияГеологияИнформатикаИскусствоИсторияКулинарияКультураМаркетингМатематикаМедицинаМенеджментОхрана трудаПравоПроизводствоПсихологияРелигияСоциологияСпортТехникаФизикаФилософияХимияЭкологияЭкономикаЭлектроника
|
В) Ветровая нагрузка
При расчете рамы рассматривают раздельно ветровую нагрузку на колонны рамы и на ригель рамы (рис. 1.8.).
1) Ветровая нагрузка на колонны рамы передается панелями стенового ограждениями, как равномерно распределенная.
Предельное расчетное значение равномерно распределенной ветровой нагрузки на колонну рамы определяется по формуле:

Рис. 1.8. Эпюра воздействия ветра
| где,
| γ fm -
| коэффициент надежности по предельному расчетному значению ветровой нагрузки. Определяется в зависимости от заданного среднего периода повторяемости Т, для объектов массового строительства допускается средний период повторяемости Т принимать равным установленному сроку эксплуатации конструкции. Для производственных зданий Т = 60 лет, соответственно принимаем γ fm = 1,035 (т. 9.1 [2],);
|
Таблица 1.5.
| Т
|
|
|
|
|
|
|
|
|
|
|
|
| | γ fm
| 0,55
| 0,69
| 0,77
| 0,87
| 0,96
| 1,00
| 1,07
| 1,14
| 1,22
| 1,28
| 1,35
| 1,45
| | | |
W0 -
|
характеристическое значение ветрового давления, которое определяется в зависимости от ветрового района строительства по карте (см. Приложение, т. 2);
| | | С -
| коэффициент, определяемый по формуле:
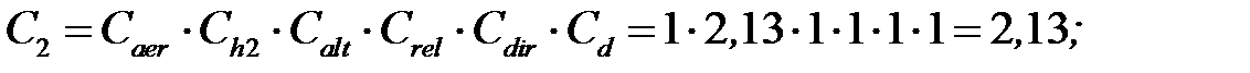
| | | С aer -
| аэродинамические коэффициенты (п. 9.8. [2]), определяется в зависимости от формы сооружения, С e1 = 0,8 с наветренной стороны, С e2 = 0,6 с заветренной стороны: эти коэффициенты учтены в программе статического расчета рамы, поэтому С aer принимаем равным 1.
| | | С h –
| коэффициент высоты сооружения, учитывающий увеличение ветровой нагрузки в зависимости от высоты конструкции или рассматриваемой ее части над поверхностью земли (Z) и типа окружающей местности. В данном примере тип местности III – пригородные и промышленные зоны (для промежуточных значений высоты над поверхностью земли, коэффициент высоты сооружения следует определять линейной интерполяцией по т. 6), (п. 9.9. [2]):
С h,1 =1,97 (для отметки низа фермы H0 = 14,4 м);
С h,2 = 2,13 (для отметки верха (конька) шатра H0+Hш =
= 14,4 м+ 3,375 м = 17,775 м);
| | | Таблица 1.6.
| Тип местности
| Высота над поверхностью земли Z, м
| |
|
|
| | III
| 1,75
| 2,25
| 2,50
| | | |
Сalt –
|
коэффициент географической высоты, учитывает высоту Н (в километрах) размещения строительного объекта над уровнем моря, при Н ≤ 0,5 км, Сalt = 1;
| | | Сrel –
| коэффициент рельефа, Сrel = 1 за исключением случаев, когда объект расположен на холме или склоне (п. 9.11. [2]);
| | | Сdir –
| коэффициент направления, который учитывает неравномерность ветровой нагрузки по направлениям ветра и, как правило, принимается равным единице (п. 9.12. [2]);
| | | Сd –
| коэффициент динамичности, который учитывает влияние пульсационной составляющей ветровой нагрузки и пространственную корреляцию ветрового давления. Для зданий со стальным каркасом этот коэффициент учитывается (Сd> 1) при высоте здания больше 30 м. В курсовом проекте может быть принят равным 1;
| | | В -
| шаг рам, м.
| 
Рис 1.9. Коэффициент высоты сооружения Сh
Типы местности, что окружают здание или сооружение, определяются для каждого расчетного направления ветра отдельно:
I – открытые поверхности морей, озер, а также плоские равнины без преград, которые подаются действию ветра на участках длинной не менее, чем 3 км;
II – сельская местность с ограждениями (заборами), небольшими сооружениями, домами и деревьями;
III – пригородные и промышленные зоны, лесные массивы;
IV – городские территории, на которых хотя бы 15 % поверхности заняты зданиями, которые имеют среднюю высоту белее 15 м.
2) Ветровая нагрузка на шатер каркаса
Ветровая нагрузка, расположенная выше нижнего пояса стропильных ферм приводится к сосредоточенной силе , условно приложенной к нижнему поясу фермы, определяется по следующей формуле:
|
(4.4)
| 
| где,
| i= 1,5 % -
| уклон поясов фермы;
| | |
| Hф-
| высота фермы, H ф = 3,15 м;
| | |
| L-
| пролет рамы, м;
| |
| Рис. 1.10 Карта районирования территории Украины
по характеристическим значениям ветрового давления
| | | | | | |
Date: 2015-07-24; view: 1537; Нарушение авторских прав | Понравилась страница? Лайкни для друзей: |
|
|