Главная Случайная страница


Полезное:

Как сделать разговор полезным и приятным Как сделать объемную звезду своими руками Как сделать то, что делать не хочется? Как сделать погремушку Как сделать так чтобы женщины сами знакомились с вами Как сделать идею коммерческой Как сделать хорошую растяжку ног? Как сделать наш разум здоровым? Как сделать, чтобы люди обманывали меньше Вопрос 4. Как сделать так, чтобы вас уважали и ценили? Как сделать лучше себе и другим людям Как сделать свидание интересным?


Категории:

АрхитектураАстрономияБиологияГеографияГеологияИнформатикаИскусствоИсторияКулинарияКультураМаркетингМатематикаМедицинаМенеджментОхрана трудаПравоПроизводствоПсихологияРелигияСоциологияСпортТехникаФизикаФилософияХимияЭкологияЭкономикаЭлектроника






Производная кинетической энергии по времени. Производную кинетической энергии по времени находим по правилу вычисления производной произведения и производной сложной функции





Производную кинетической энергии по времени находим по правилу вычисления производной произведения и производной сложной функции

 

.

Здесь

 

2.3. Элементарная работа и мощность внешних сил и работа внешних сил на конечном перемещении (механизм в горизонтальной плоскости)

 

В случае, когда механизм расположен в горизонтальной плоскости работу совершает только вращающий момент . Элементарная работа при этом определяется равенством

 

.

Мощность

 

Работа при повороте маховика на угол

 

.

 

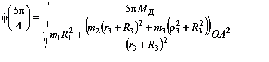
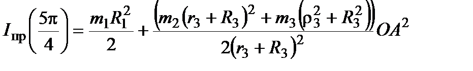
2.4. Определение угловой скорости маховика при его повороте на угол φ*

 

Для определения угловой скорости маховика применяем теорему об изменении кинетической энергии в конечной форме, полагая, что механизм в начальный момент находился в покое.

 

, , .

 

Подстановка в это равенство найденных выражений и дает

 

,

где .

Тогда

.

 

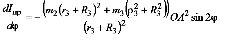
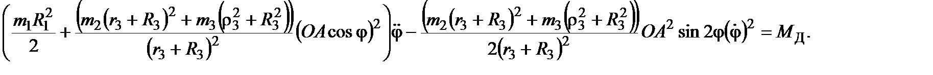
2.5. Определение углового ускорения маховика при его повороте на угол φ*

Воспользуемся теоремой об изменении кинетической энергией в дифференциальной форме

 

, .

 

Подставляя в это уравнение найденные выше значения, находим

 

.

Откуда

(1)

и

Это дифференциальное уравнение второго порядка описывает движение кулисного механизма. Оно может быть проинтегрировано только численно, а также использовано для нахождения углового ускорения маховика в произвольном его положении.

Определим угловое ускорение маховика при угле его поворота .

.







Date: 2015-07-24; view: 582; Нарушение авторских прав



mydocx.ru - 2015-2026 year. (1.142 sec.) Все материалы представленные на сайте исключительно с целью ознакомления читателями и не преследуют коммерческих целей или нарушение авторских прав - Пожаловаться на публикацию