Главная Случайная страница


Полезное:

Как сделать разговор полезным и приятным Как сделать объемную звезду своими руками Как сделать то, что делать не хочется? Как сделать погремушку Как сделать так чтобы женщины сами знакомились с вами Как сделать идею коммерческой Как сделать хорошую растяжку ног? Как сделать наш разум здоровым? Как сделать, чтобы люди обманывали меньше Вопрос 4. Как сделать так, чтобы вас уважали и ценили? Как сделать лучше себе и другим людям Как сделать свидание интересным?


Категории:

АрхитектураАстрономияБиологияГеографияГеологияИнформатикаИскусствоИсторияКулинарияКультураМаркетингМатематикаМедицинаМенеджментОхрана трудаПравоПроизводствоПсихологияРелигияСоциологияСпортТехникаФизикаФилософияХимияЭкологияЭкономикаЭлектроника






Определение производной кинетической энергии по времени. Производную кинетической энергии по времени находим по правилу вычисления производной произведения и производной сложной функции





Производную кинетической энергии по времени находим по правилу вычисления производной произведения и производной сложной функции

. (2)

Здесь

, .

 

2.3. Определение элементарной работы, мощности внешних сил. Определение работы внешних сил на конечном перемещении (механизм в горизонтальной плоскости).

В случае, когда механизм расположен в горизонтальной плоскости работу совершает только вращающий момент . Элементарная работа при этом определяется равенством

.

Мощность

, (3)

 

Работа при повороте маховика на угол

. (4)

 

2.4. Определение угловой скорости маховика при его повороте на угол φ*

 

Для определения угловой скорости маховика применяем теорему об изменении кинетической энергии в конечной форме, полагая, что механизм в начальный момент находился в покое.

 

, , .

 

Подстановка в это равенство найденных выражений (1) и (4) дает

 

.

Тогда

.

 

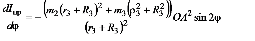
2.5. Определение углового ускорения маховика при его повороте на угол φ*

Воспользуемся теоремой об изменении кинетической энергией в дифференциальной форме

 

, .

 

Подставляя в это уравнение найденные выше значения (2) и (3), находим

 

.

Откуда

и

 

Дифференциальное уравнение второго порядка

 

(5)

 

описывает движение кулисного механизма. Оно может быть проинтегрировано только численно, а также использовано для нахождения углового ускорения маховика в произвольном его положении.

Определим угловое ускорение маховика при угле его поворота .

.







Date: 2015-07-24; view: 618; Нарушение авторских прав



mydocx.ru - 2015-2026 year. (0.203 sec.) Все материалы представленные на сайте исключительно с целью ознакомления читателями и не преследуют коммерческих целей или нарушение авторских прав - Пожаловаться на публикацию