Главная Случайная страница


Полезное:

Как сделать разговор полезным и приятным Как сделать объемную звезду своими руками Как сделать то, что делать не хочется? Как сделать погремушку Как сделать так чтобы женщины сами знакомились с вами Как сделать идею коммерческой Как сделать хорошую растяжку ног? Как сделать наш разум здоровым? Как сделать, чтобы люди обманывали меньше Вопрос 4. Как сделать так, чтобы вас уважали и ценили? Как сделать лучше себе и другим людям Как сделать свидание интересным?


Категории:

АрхитектураАстрономияБиологияГеографияГеологияИнформатикаИскусствоИсторияКулинарияКультураМаркетингМатематикаМедицинаМенеджментОхрана трудаПравоПроизводствоПсихологияРелигияСоциологияСпортТехникаФизикаФилософияХимияЭкологияЭкономикаЭлектроника






Уравнения геометрических связей. Как и раньше, начало координат помещаем в точку , ось направляем вправо, ось – вверх





Как и раньше, начало координат помещаем в точку , ось направляем вправо, ось – вверх.

Уравнения связей:

 

, , , ,

, , .

 

Последние два соотношения получены интегрированием равенств

 

и .

 

Определение угловой скорости и углового ускорения маховика.

Кинетическая энергия системы

Кинетическую энергию механизма находим как сумму кинетических энергий его звеньев

.

 

Кинетическая энергия вращающегося маховика:

 

,

момент инерции маховика относительно оси вращения.

Кинетическая энергия поступательно движущейся кулисы:

 

,

Кинетическая энергия катка, совершающего плоское движение:

,

момент инерции маховика относительно оси вращения.

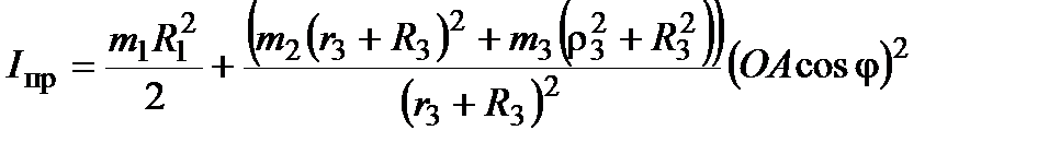
Кинетическая энергия системы:

 

.

 

После тождественных преобразований:

 

приведенный к ведущему звену момент инерции.







Date: 2015-07-24; view: 430; Нарушение авторских прав



mydocx.ru - 2015-2026 year. (0.567 sec.) Все материалы представленные на сайте исключительно с целью ознакомления читателями и не преследуют коммерческих целей или нарушение авторских прав - Пожаловаться на публикацию