Главная Случайная страница


Полезное:

Как сделать разговор полезным и приятным Как сделать объемную звезду своими руками Как сделать то, что делать не хочется? Как сделать погремушку Как сделать так чтобы женщины сами знакомились с вами Как сделать идею коммерческой Как сделать хорошую растяжку ног? Как сделать наш разум здоровым? Как сделать, чтобы люди обманывали меньше Вопрос 4. Как сделать так, чтобы вас уважали и ценили? Как сделать лучше себе и другим людям Как сделать свидание интересным?


Категории:

АрхитектураАстрономияБиологияГеографияГеологияИнформатикаИскусствоИсторияКулинарияКультураМаркетингМатематикаМедицинаМенеджментОхрана трудаПравоПроизводствоПсихологияРелигияСоциологияСпортТехникаФизикаФилософияХимияЭкологияЭкономикаЭлектроника






Примеры

Нахождение равнодействующей силы

Для того, чтобы найти равнодействующую силу, необходимо: во-первых, верно обозначить все силы, действующие на тело (при этом если тело движется равноускоренно, значит в направлении ускорения действующая сила длиннее противоположной. Если тело движется равномерно или покоится длина векторов сил одинаковая); затем изобразить координатные оси, выбрать их направления; на третьем шаге необходимо определить проекции векторов на оси; на четвертом записать 2 закон Ньютона для всех тел.

Запомните: направление равнодействующей силы всегда совпадает по направлению с вектором ускорения тела.

Примеры

На движущееся равномерно по горизонтальной поверхности тело, действуют сила тяжести, сила реакции опоры, сила трения и сила, под действием которой тело движется.

Обозначим силы, выберем координатные оси

Найдем проекции

Записываем уравнения

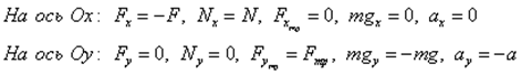
Тело, которое прижимают к вертикальной стенке, равноускоренно движется вниз. На тело действуют сила тяжести, сила трения, реакция опоры и сила, с которой прижимают тело. Вектор ускорения направлен вертикально вниз. Равнодействующая сила направлена вертикально вниз.



Тело равноускоренно движется по клину, наклон которого альфа. На тело действуют сила тяжести, сила реакции опоры, сила трения.

 

Велосипедист наклоняется в сторону поворота. Сила тяжести и сила реакции опоры со стороны земли дают равнодействующую силу, сообщающую центростремительное ускорение, необходимое для движения по окружности

Выполняя поворот, тело наклоняется в сторону по­ворота и образует угол a к вертикали:

На тело действуют сила тяжести, сила реакции опоры и сила трения, причем со стороны дороги на тело действует сила , которая в сумме с силой тяжести сообщает телу центростреми­тельное ускорение. По второму закону Ньютона:

В проекциях на координатные оси:

Значит,

 

Через неподвижный блок перекинута невесомая нерастяжимая нить, которая может скользить по блоку без трения. К нити привязаны грузы массами и

На оба груза действуют сила тяжести и сила натяжения нити. Равнодействующие этих сил сообщают телам ускорение а. По второму за­кону Ньютона для каждого тела:

Выберем оси и , связанные с направлением движения каждого из тел. В проекциях на оси уравнения для каждого из тел имеют вид:

Сила давления на ось блока направлена вверх и равна сумме сил натяже­ния, которые действуют на плечи блока:

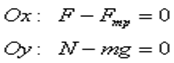
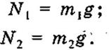
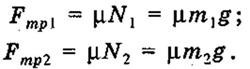
На горизонтальной плоскости на­ходятся тела с массами и , связанные невесомой нерастяжи­мой нитью. К первому телу при­ложили горизонтальную силу
Коэффициент трения обоих тел о поверхность одинаков и равен .


На первое тело действуют сила тяжести, сила реакции опоры, сила тяги, сила натяжения нити и сила трения. Направления сил указаны на рисунке.
По второму закону Ньютона:

На второе тело действуют сила тяжести, сила реакции опоры, сила натяже­ния нити и сила трения. По второму закону Ньютона:

Спроектируем уравнения (1) и (2) на оси:

первая система вторая система
Из второй системы уравнений:

Тогда силы трения:

Первая система будет иметь вид:

Движение на повороте

Поезд на повороте

 



<== предыдущая | следующая ==>
Право Арабського халіфату | Приятного Вам аппетита!





Date: 2015-07-23; view: 3222; Нарушение авторских прав



mydocx.ru - 2015-2026 year. (1.409 sec.) Все материалы представленные на сайте исключительно с целью ознакомления читателями и не преследуют коммерческих целей или нарушение авторских прав - Пожаловаться на публикацию