Главная Случайная страница


Полезное:

Как сделать разговор полезным и приятным Как сделать объемную звезду своими руками Как сделать то, что делать не хочется? Как сделать погремушку Как сделать так чтобы женщины сами знакомились с вами Как сделать идею коммерческой Как сделать хорошую растяжку ног? Как сделать наш разум здоровым? Как сделать, чтобы люди обманывали меньше Вопрос 4. Как сделать так, чтобы вас уважали и ценили? Как сделать лучше себе и другим людям Как сделать свидание интересным?


Категории:

АрхитектураАстрономияБиологияГеографияГеологияИнформатикаИскусствоИсторияКулинарияКультураМаркетингМатематикаМедицинаМенеджментОхрана трудаПравоПроизводствоПсихологияРелигияСоциологияСпортТехникаФизикаФилософияХимияЭкологияЭкономикаЭлектроника






Шешім





1)Жаңа бетке өтініз және оны Тапсырма 2 атына өзгертініз. 5 - ші суретке сәйкес есептеулер үшін кестені дайынданыз.

 

Сурет 5.

2) Берілген есепте базалық мерзім - квартал, сондықтан ссуда мерзімі – 6.мерзімге 7% = 28% / 4ставкасы есептелініп қояды.Сонда есеп шешімін беретін формула мынадай болады: =БС(28%/4;6;;20000). Он нәтижені қайтарады: -$30 014,61

3)Өзгерістерді қаржы есептеулері файлында сақтаныз.

№3Тапсырма Банк 3 айлық мерзімге 100% жарияланған жылдық ставкімен немесе 6айлық 110% салым қабылдайды.Жарты жылғы ақшаны қалай салуға тиімдірек: 3 айда екі рет немесе 6айға бір рет пе?

Шешім:

1)Жаңа бетке өтіңіз және оны Тапсырма 3 атына өзгертініз 6шы суретке сәйкес есептеулер үшін кестені дайындаңыз.

2)В 4және С4 ұяшығына екі үлестері үшін мерзімдік ставканы есептеніз. Бірінші үлес үшін мына формула қолданылады: =B2*B3/12 (100%*3/12),

,екінші үшін =C2*C3/12 (110%*6/12).

3)Жиналған соманы Бс функциясын пайдалана есептеніз. Бірінші үлес үшін =БС(B4;2;;B5), формуласын алыныз, төлемдердің саны- 2 (біз жарты жылда ақшаны рет саламыз). Екінші үшін: =БС(C4;1;;C5), тәлемдер саны - 1(біз ақшаны бір рет саламыз)

4)Алған нәтижелерді салыстырыңыз(7сурет) және қорытынды жасаныз.

7 сурет

5)Өзгерістерді қаржылық есептеулер файлында сақтаныз.

№4Тапсырма(өз бетінізбен) 10%, 20%,..., 50%. Жылдық ставкымен1, 2, 3, 4, 5 жылдан кейінгі 1000 долл.үлестің келешектегі мәнің есептеніз.Қосымша түсулер және төлемдер болмайды.  

Ескерту. Есептеулер үшін8 ші суретке сәйкес Задача4 атты жаңа бетте кесте жасаңыз. В5:В8 ұяшықтары үшін формулаларды көшіру әдісін қолданыныз

Сурет8

Өзгерістерді қаржы есептеулері файлында сақтаныз.

 

2)Рентаның есептеуі. Үлестің мерзімдерінің есептеулері(заем)

Бірінші жарналары бар схеманы немесе төлемдерді қарап шығамыз.

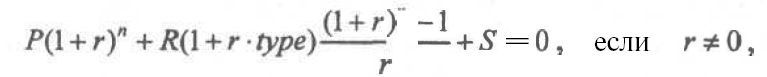
Барлық мүшелері бірдей R шамаларын алатын және уақыттың тең аралықтарымен бөлінген төлемдер - тұрақты рента деп аталады.

Мұндай ағынның болуы мүмкін варианттарының бірі {-Р, -R, -R,..., -R, S},,яғни, алғашқы салым Р және келесі төлемдер R нәтижесінде S мәнін береді. Егер төлемдер мерзімнің соныңда төленсе, онда рентаны «кәдімгі» немесе постнумерандо деп атайды. Егер төлемдер мерзімдердің басында төленсе,онда рентаны пренумерандо деп атайды.

Есептеулер үшін мына формулалар қолданылады:

 

 

Р - қазіргі мән,

S - келешектегі мән,

R - периодтық төлем,

r - мерзімге проценттік ставкі,

n -мерзімдер саны,

type- рента түрі,егер type = 0 немесе төмендетілсе,онда рента постнумерандо(төлем мерзім соныңда),егер type = 1, онда рента пренумерандо (төлем мерзімнің басында)

№5 Тапсырма Банктегі есепке тең бөліктермен 10 жыл ішінде 1000 доллар сомасы енгізіледі: 1)жылдың соңында, 2)жылдың басында. Жылдық ставкы - 4%.. екі жағдайда банк есебінде 10жылдан кейін қандай сома болатының есепте.

Шешім.

1)Жаңа бетке өтіңіз және оны Задача5 атына өзгертініз.Есептеулер жүргізу үшін 9шы суретке сәйкес кесте жасаныз.

Сурет 9.

2) Егер төлеулер (постнумерандо рента) мерзiмдердiң соңында iске асса, онда (немесе оны түсiруге болады) түр = 0. Жиналған соманың есептеуi үшiн формула мына жағдайда болады: =БС(B2;B3;B4;;B5) немесе = БС(4%;10; -1000 Плт (әрбiр мерзiмге төлеу) - 1000 $.
3) Егер сома (пренумерандо рента) жылды басында енгiзiлсе, онда формула мынадай түрге келедi: =БС(C2;C3;C4;;C5) немесе = БС(4%;10; -1000;;1).

4) Алған нәтижелер салыстырыңыз және қорытынды жасаңыз.


5) өзгерiстерді қаржы есептеулерi файлында сақтаңыз.xls.

№6-шы Тапсырма (өз бетімен). 3 жылға ақша салудың екi схемалары қарастырылады: Жылдың басына жылына 24%бен немесе 36%дың астында жылдың соңында. Жыл сайын 4000 долларлар енгiзiледi. Қандай схема тиiмдiрек?


Ескерту. Есептеулер үшiн 10-шi суретке сәйкес 6 кестенi жаңа парақта жасаңыз.

Алған нәтижелер салыстырыңыз және қорытынды жасаңыз. Қаржы есептеулерi файлында өзгерiстi сақтаңыз.xls.

№7-шi Тапсырма. Жылдың қандай мерзіміне сәйкес 75 000 долларға тең сома,жыл сайын және квартал сайын күрделі ставкы бойынша 15% пайыыздарды есептеп шығаруда 200 000 долларға жетедi.


Шешiм.
1. Жаңа параққа өтiңiз және оның атын Задача 7 өзгертiңiз. Есептеулердi өткiзуi үшiн 11-шi сурет сәйкес кесте жасаңыз.

Сурет11

3. С3 ұяшығындағы тоқсандық ставканы өз алдына есептеңiз.
3. Үлестiң мерзiмiн есептеуi үшiн периодты тұрақты төлеулердi негiзгі және тұрақты проценттi ставкалық инвестициясы үшiн төлеудiң мерзiмдерiнiң жалпы санын қайтаратын Кпер жаңа қаржы функциясын пайдаланамыз.
Кпер функциясының синтаксисi.
КПЕР (ставка; плт; пс; бс; тип)
ставка – мерзiмге байланысты проценттiк ставкы.
Плт - әрбiр мерзiмде шығарылған төлем; бұл мәндер төлемдер мерзiмі бойынша өзгере алмайды. Төлеу әдетте пайыздар үшін негiзгi төлеуден тұрады және өзіне салықтар және жиындар қоспайды.
Пс қазіргі мезетке келтірілген құны немесе қазіргі кезде болашақтағы төлемдерге тең жалпы соммаКелтiрiлген қазiргi мезет құнына немесе келешек төлемдердiң қатарына тең бағалы қазiргi мезет ортақ сома ит -.
Бс - Келешектегі баға мәнің қажетет ету немесе сонғы төлемнен кейінгі қалдық сомма Егер Бс аргументі төмендетілсе, онда ол 0 ге тең болады
Тип –төлем қай мезтте өткізілуі керектігін білдіретін 0 немесе 1 таңбалаушы сан.

4. Егер пайыздарды есептеп шығару жылдың соңында болса үлес мерзiмнi есептейік.Ол үшiн В5 ұяшығына =КПЕР(B3;;B2;B4) немесе =КПЕР(15%;;-75000;200000)формуласын енгіземіз.. осы жағдайда ПЛТ дәлелі төмендетілген, өйткенi ешқандай да қосымша үлестер өндiрiп алмайды.
5. Егер пайыздарды есептеп шығаруды тоқсандар бойынша өндiрiп алсақ С5 ұяшықта ұқсас түрмен үлес мерзiмiн есептеңiз. Осы жағдайда есептеудiң нәтижесiмен тоқсан саны болатынына көңiл аударыңыз.Сондықтан алған нәтижені 4ке бөлу керек.
6. Алған нәтижелерді салыстырыңыз және қорытынды жасаңыз.


7) өзгерiстерді қаржы есептеулерi файлында сақтаңыз.xls.

 

№8-шi Тапсырма (өз бетінше). е63 200 сомада 32%дық жылдық өтеумен берiлген қарыз тоқсан сайын 8400 сомамалық үшiн төлеулермен сөндiріледi.Қарыздың өтеу мерзiмiн есептеңiз.


Ескерту. Есептеулер үшiн 12-шi сурет сәйкес 8 кестенi жаңа парақта жасаңыз.

Сурет12

Қаржы есептеулерi файлында өзгерiстi сақтаңыз.xls.
3. Заемнiң жоспарлы өтеуiн құрастыру.

 

№9-шы Тапсырма. Банк 6% жылдық өтеумен 5 жылдық мерзiмге 40 000 доллар қарыздың бердi. Қарыздың өтеуi тең бөлімдермен проценттік төлемдермен қоса жылдың соңында төленеді. Пайыздарды есептеп шығару жыл сайын өткізіледі. Заемді өтеудiң жоспарын белгiлеу.

 

 

Шешiм.
1. Жаңа бетке өтiңiз және оның атын Задача 9 - ға өзгертiңiз. Есептеулердiң жүргізу үшiн 13-шi суретке сәйкес кестенi жасаңыз.

2. Пайыздар үшiн төлеулердi есептеу периодты төлемдердiң сомаларының тұрақтылығы және проценттi ставканың тұрақтылығының негiзiнде осы мерзiмге инвестиция бойынша пайыздардың төлемдерiнiң сомасын қайтаратын ПРПЛТ қаржы функциясын пайдаланамыз.

 

ПРПЛТ функциясының синтаксисi:

ПРПЛТ (ставка; период; кпер; пс; бс; тип)

СТАВКА — мерзімдік проценттік ставка.

ПЕРИОД - пайыз үшiн төлеулердi табуға керек болатын мерзiм; 1 ден Кперге дейін интервалда болуы керек.
КПЕР - аннуитетке үшiн төлеулердiң мерзiмдерінiң жалпы сандары.

ПС қазіргі мезетке келтірілген құны немесе қазіргі кезде болашақтағы төлемдерге тең жалпы соммаКелтiрiлген қазiргi мезет құнына немесе келешек төлемдердiң қатарына тең бағалы қазiргi мезет ортақ сома ит -.
БС - Келешектегі баға мәнің қажетет ету немесе сонғы төлемнен кейінгі қалдық сомма Егер Бс аргументі төмендетілсе, онда ол 0 ге тең болады.
ТИП –төлем қай мезтте өткізілуі керектігін білдіретін 0 немесе 1 таңбалаушы сан.

 

3. бiрiншi жылдар үшін пайыздар үшiн төлемдерді есептеңiз.Ол үшін В7 ұяшыққа мына формуланы енгiзiңiз:: =ПРПЛТ($B$3;A7;$B$2;$B$1).
4. В7:В11ұяшықтарының диапазонына формуланы көшiрiп алыңыз:


5. Негiзгi сомма үшiн төлемдерді есептеу үшiн периодты төлемдердiң тұрақтылығы және проценттi ставкы тұрақтылығының негiзiнде осы мерзiмге инвестиция бойынша негiзгi соманың өтеуiне төлем шамасын қайтаратын ОСПЛТ қаржы функциясын пайдаланамыз.

ОСПЛТ функциясының синтаксисi:

ОСПЛТ (ставка; период; кпер; пс; бс; тип)

СТАВКА — мерзімдік проценттік ставка.

ПЕРИОД - пайыз үшiн төлеулердi табуға керек болатын мерзiм; 1 ден Кперге дейін интервалда болуы керек.
КПЕР - аннуитетке үшiн төлеулердiң мерзiмдерінiң жалпы сандары.

ПС қазіргі мезетке келтірілген құны немесе қазіргі кезде болашақтағы төлемдерге тең жалпы сомма Келтiрiлген қазiргi мезет құнына немесе келешек төлемдердiң қатарына тең бағалы қазiргi мезет ортақ сома ит -.
БС - Келешектегі баға мәнің қажетет ету немесе сонғы төлемнен кейінгі қалдық сомма Егер Бс аргументі төмендетілсе, онда ол 0 ге тең болады.
ТИП –төлем қай мезтте өткізілуі керектігін білдіретін 0 немесе 1 таңбалаушы сан.

 

6.Бірінші жылдың негізгі қарызың есептеніз.Ол үшін С7 ұяшығына =ОСПЛТ($B$3;A7;$B$2;$B$1) формуласын енгізініз

7.С7:С11 ұяшығының диапозонына формуланы көшіріп алыңыз.

8. Жылғы төлемдердi есептеу үшiн төлемдердiң сомаларының тұрақтылығы және проценттiставкының тұрақтылығының негiзiнде аннуитет үшiн периодты төлем сомасын қайтаратын Плт қаржы функциясын пайдаланамыз.

ПЛТ функциясының синтаксисi:

ПЛТ (ставка; кпер; пс; бс; тип)

СТАВКА — ссуда бойынша проценттік ставка.
КПЕР- аннуитетке үшiн төлеулердiң мерзiмдерінiң жалпы сандары.

ПС қазіргі мезетке келтірілген құны немесе қазіргі кезде болашақтағы төлемдерге тең жалпы сомма Келтiрiлген қазiргi мезет құнына немесе келешек төлемдердiң қатарына тең бағалы қазiргi мезет ортақ сома ит -.
БС - Келешектегі баға мәнің қажетет ету немесе сонғы төлемнен кейінгі қалдық сомма Егер Бс аргументі төмендетілсе, онда ол 0 ге тең болады.

ТИП –төлем қай мезтте өткізілуі керектігін білдіретін 0 немесе 1 таңбалаушы сан.

9. Бірінші жылдың ортақ төлемін есептеңiз.Ол үшін D7 ұяшығына=ПЛТ($B$3;$B$2;$B$1).

10. D7:D11 ұяшықтарының диапазондарына формуланы көшiрiп алыңыз.
11 бірінші жылдық парыздың қалдығын есептеу үшiн. E7 нiң ұяшығына =$B$1+C7, бұдан әрi E8 дiң ұяшығына мына формуланы енгiзiңiз: =E7+C8 және Е9:Е11 ұяшықтарының диапазонына көшiрiп алыңыз.
12. B12, C12, D12 дiң ұяшықтарындағы қорытынды мәндерді есептеңiз.
13. 14-шi сурет пен алынған нәтижелерді салыстырыңыз

14-шi сурет.
14. Қаржы есептеулерi файлында өзгерiстi сақтаңыз.xls.

№10-шы Тапсырма(өз бетінше). 11% жылдық пайызбен 10 жылға 10000000 сом көлемiнде қарыз берiлген.Қарызды өтеу тең бөліктермен пайыздық төлемдермен жылдың соңында өткізіледі. Пайыздарды есептеп шығару жыл сайын өтзіледі. Заемды өтеудiң жоспарын белгiлеу.

 

Ескерту. Алдыңғы есепке ұқсас есептеулер үшiн жаңа бетте 10 кестені құрыныз. Есептеулер өткiзiңiз және Қаржы есептеулерi файлында өзгерiстi сақтаңыз.xls.

 

№11-шi Тапсырма. Сатып алушы 25% жылдық пайызбен 12 айға 20 мың сомады қарыз алды. Қарыз әрбiр айдың соңында жылдың iшiнде тең төлеулермен сөндiредi. Әрбiр төлем шамасын, сонымен бiрге қарызды пайдалануда негiзгi өтеммен төлем сомаларын есептеу.

 

Парыздың қалған сомасының пайыздары + негiзгi қарыздың төлемі =қарызының өтеуiне төлем.

Шешiм.
1. Задача 11 жаңа бетте 15-шi суретке сәйкес кестенi жасаңыз.
2. С4тi ұяшықтағы айлық ставканы өз алдына есептеңiз.
3. В7 ұяшығына = - ОСПЛТ($C$4;A7;$C$3;$C$1) формуласын енгiзiңiз
4. С7 ұяшығына = - ПРПЛТ($C$4;A7;$C$3;$C$1) формуласын енгiзiңiз

5. D7 ұяшығына ПЛТ функциясын пайдалана формуласын өз алдына енгiзiңiз.
6. Е7 ұяшығына = - ОБЩДОХОД($C$4;$C$3;$C$1;$A$7;A7;0). формуласын енгiзiңiз.
7. F7 нiң ұяшығына = - ОБЩПЛАТ($C$4;$C$3;$C$1;$A$7;A7;0) формуласын енгiзiңiз

8. G7 нiң ұяшығына формуланы өз алдына енгiзiңiз.
9. Тиiстi ұяшықтарға бұл формулаларды көшiрiп алыңыз.
10. В18, С18, D18 ұяшықтарындағы қорытынды мәндерді есептеңiз.
11. 16-шы суретпен алған нәтижелерді салыстырыңыз.

 

Сурет 16.

12. Қаржы есептеулерi файлында өзгерiстi сақтаңыз.xls.

 







Date: 2015-07-22; view: 1015; Нарушение авторских прав



mydocx.ru - 2015-2026 year. (0.046 sec.) Все материалы представленные на сайте исключительно с целью ознакомления читателями и не преследуют коммерческих целей или нарушение авторских прав - Пожаловаться на публикацию