Главная Случайная страница


Полезное:

Как сделать разговор полезным и приятным Как сделать объемную звезду своими руками Как сделать то, что делать не хочется? Как сделать погремушку Как сделать так чтобы женщины сами знакомились с вами Как сделать идею коммерческой Как сделать хорошую растяжку ног? Как сделать наш разум здоровым? Как сделать, чтобы люди обманывали меньше Вопрос 4. Как сделать так, чтобы вас уважали и ценили? Как сделать лучше себе и другим людям Как сделать свидание интересным?


Категории:

АрхитектураАстрономияБиологияГеографияГеологияИнформатикаИскусствоИсторияКулинарияКультураМаркетингМатематикаМедицинаМенеджментОхрана трудаПравоПроизводствоПсихологияРелигияСоциологияСпортТехникаФизикаФилософияХимияЭкологияЭкономикаЭлектроника






Дослiд 10.1. Реакцiя фенолу з хлоридом залiза (III)





Реактиви та матеріали: фенол (насичений розчин), хлорид залiза (0,1Н розчин)
Обладнання: пробiрки, піпетки

У пробiрку вносять 2 краплi розчину фенолу, додають 3 краплi води i краплю розчину хлориду залiза. З’являється iнтенсивне червоно-фiолетове забарвлення.

Феноли з хлоридом залiза у водному розчинi дають кольорову реакцiю внаслiдок утворення забарвленої сполуки, або, точнiше, за­барвленого iона. Ця реакцiя служить для якiсного визначення фенолу:

синій розчин

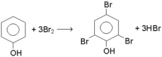
Дослiд 10.2. Отримання трибромфенолу

Реактиви та матеріали: фенол (водний розчин), бромна вода (насичений розчин)
Обладнання: пробiрки, піпетки

У пробiрку вносять 2 краплi бромної води i додають краплю фенолу. При цьому бромна вода знебарвлюється i утворюється бiлий осад трибромфенолу.

Хiмiзм процесу:

сим-трибромфенол

Гiдроксильна група належить до найбiльш сильних орто-пара-орiєнтантiв. Реак-цiя електрофiльного замiщення водню в бензольному ядрi для фенолiв проходить значно легше i в бiльш м’яких умовах, нiж для бензолу.

 







Date: 2015-07-02; view: 558; Нарушение авторских прав



mydocx.ru - 2015-2026 year. (0.628 sec.) Все материалы представленные на сайте исключительно с целью ознакомления читателями и не преследуют коммерческих целей или нарушение авторских прав - Пожаловаться на публикацию