Главная Случайная страница


Полезное:

Как сделать разговор полезным и приятным Как сделать объемную звезду своими руками Как сделать то, что делать не хочется? Как сделать погремушку Как сделать так чтобы женщины сами знакомились с вами Как сделать идею коммерческой Как сделать хорошую растяжку ног? Как сделать наш разум здоровым? Как сделать, чтобы люди обманывали меньше Вопрос 4. Как сделать так, чтобы вас уважали и ценили? Как сделать лучше себе и другим людям Как сделать свидание интересным?


Категории:

АрхитектураАстрономияБиологияГеографияГеологияИнформатикаИскусствоИсторияКулинарияКультураМаркетингМатематикаМедицинаМенеджментОхрана трудаПравоПроизводствоПсихологияРелигияСоциологияСпортТехникаФизикаФилософияХимияЭкологияЭкономикаЭлектроника






Оценка пожарной обстановки





Под пожарной обстановкой понимается совокупность последствий сти­хийных бедствий, аварий и катастроф, в результате которых возникают пожа­ры, взрывы, оказывающие влияние на устойчивость работы объектов народного хозяйства и жизнедеятельность населения.

Оценка пожарной обстановки включает: определение масштаба и характе­ра (вида) пожара, скорости и направления пожара; площади зон задымления, теплового воздействия и времени задымления; анализ их влияния на устойчи­вость работы отдельных элементов и объекта в целом, а также на жизнедея­тельность населения; рекомендации по повышению устойчивости объекта к пожару.

Исходными данными для прогнозирования пожарной обстановки являются данные о пожаро- и взрывоопасности объекта и его элементов, окружающей


среды (лесов и населённых пунктов); метеоусловия (влажность воздуха, под­стилки, скорость и направление ветра); рельеф местности, характер застройки, наличие водоисточников.

При пожарах образуется три зоны: зона горения, зона теплового воздейст­вия и зона задымления. Зона горения — это часть пространства, в котором обра­зуется пламя или огненный шар из продуктов горения. Зона теплового воздей­ствия - часть пространства, примыкающего к зоне горения, в котором проис­ходит воспламенение или изменение состояния материала и поражающее дей­ствие на незащищенных людей. Зона задымления — часть пространства, примы­кающая к зоне горения и заполненная токсичными дымовыми газами в концен­трациях, создающих угрозу жизни и здоровью людей.

Размеры зоны горения определяются визуально по размерам пламени и го­рящих материалов. Температура в зоне горения достигает следующих значе­ний: внутри зданий 800-900°; при горении газов и ЛВЖ на воздухе 1200-1600°; при горении твердых веществ 1000-1200°.

Оценка пожарной обстановки проводится в следующей последовательно­сти. Определяют расстояние между зданиями R (м). Измеряют относительную влажность воздуха ср (%). Определяют скорость и направление ветра v (м/с). Скорость распространения пожара в населенных пунктах при скорости ветра ve= 3...4 м/с составляет vn = 150...300 м /ч (с деревянной застройкой); vn = 60... 120 м /ч (с каменными зданиями). Устанавливают степень огнестойкости зда­ний и сооружений (табл. 12.2). Определяют категорию пожарной опасности (табл. 12.3). Определяется плотность застройки по формуле (12.1). Определяют вероятность возникновения и распространения пожара (табл. 12.4).

Рассчитывают продолжительность пожара [24]:

- при горении твердых веществ по формуле

Т = MI{So6 tw), (12.3)

где М масса горючего вещества, кг; Sоб - площадь объекта (пожара), м выг - скорость выгорания веществ, кг/м2 с (табл. 12.5);

- при горении газовоздушных смесей (ГВС) и топливовоздушных смесей
(ТВС) по формуле

tce=2,16-4M (12.4)

где М масса вещества (метан, пропан, бутан, этан и пр.), кг (принимается равной 50% вместимости резервуара при одиночном хранении и 90 % вмести­мости при групповом).

Таблица 12.5 - Теплотехнические характеристики веществ и материалов

 

Вещества и материалы Скорость выгора­ния, Х)выг, кг/м с Теплота сгорания, QV кДж/кг Теплота пожара, Qо кДж/м2

Ацетон 0,047 28,4 • 103  
Бензол 0,08 30,5- 103  
Бензин 0,05 44- 103 1780-2200
Керосин 0,05 43- 103  
Метиловый спирт 0,04 20,9- 103  
Смесь метана, пропана, бутана 0,65 40-50- 103  
Нефть 0,02 43,7- 103  
Этиловый спирт 0,03 33,8- 103 8200-10000
Фурфурол 0,04 23- 103  
Древесина 0,015 19- 103  
Каучук натур. 0,013 42- 103  
Пиломатериалы 0,017 14- 103  
Полистирол 0,007 42- 103  
Оргстекло 0,016 15- 103  
Мазут 0,013 40-10'  

Рассчитывают безопасный радиус теплового воздействия при горении твердых веществ по формуле

(12.5)

где R - приведенный размер очага горения, м; R=y[s для горящих зда­
ний (S=L.H); R=A/Z-(3....... 4)-Лш - для штабелей пиленого леса (hш - высота шта­
беля); R = Dрез для горящих резервуаров с ЛВЖ; R = 0,8 Dрез - для ГЖ; R =d для
различных горючих жидкостей (d — диаметр разлития жидкости);

Jпр предельные критические значения теплового излучения для человека и материалов, кДж/м2. с (табл. 12.6);

Qo - теплота пожара, кДж/м2-с (табл. 12.5);

Qo=Qv ивыг,

а - коэффициент, характеризующий геометрию очага (а= 0,02 для плоско­го очага; а = 0,08 для объёмного очага).


Радиус теплового воздействия R огненного шара при горении ГВС, ТВС определяется по формуле


2/3

R=


133M2/

пр

J



(12.6)


где М масса вещества (метан, пропан, бутан, этан и пр.), кг; принимается равной 50% вместимости резервуара при одиночном хранении и 90 % вмести­мости при групповом;

2.
лов, кДж/м с (табл. 12.6).

Jпр - предельное значение теплового излучения для человека и материа-


Таблица 12.6 - Предельные значения теплового излучения для человека и ма­териалов

 

 

 

 

 

 

 

Объект Предельное значение тепло­вого излучения. J, кДж/м2 Время выдержки, с
Человек (начинаются болевые ощущения)    
10,5  
4,2 15...20
2,5  
1,5 60...120
1,26 безопасно
Древесина при <р = 15% (начинается возгорание) 15,5  
   
Ацетон, бензол, спирт    
Мазут, торф, масло    

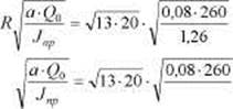
Пример 12.1. Определить безопасный радиус теплового воздействия для человека и деревянных зданий при горении деревянного строения размером 30x20 м. Удельная теплота пожара 260 кДж/м -с.

Решение. Расчет ведем по формуле (12.5), принимая предельное безопасное значение теплового воздействия для человека (табл. 12.6) 1.26 кДж/м -с, для древесины 14



Rбез - R

 

 


Вывод. При горении деревянного строения размером 13x20 для человека безопасным будет расстояние 100м, для деревянных домов 30 м.

Пример 12.2. При аварии из емкости вылилось 50000кг бутана. Опреде­лить радиус зоны теплового воздействия для человека и время пожара при воз­горании ГВС.

Решение. Рассчитываем время пожара по формуле (12.4)

tcв = 2,76 • = tсв = 2,76 • 325000 = 80с

 
кДж/м с

Радиус зоны теплового воздействия для человека рассчитаем по формуле (12:6), выбрав предельное значение теплового излучения для человека Jпр = 4,2

2/3
133-25000
R = R
= 160м

\\ъъм1/ъ

пр

J

Вывод. На расстоянии 160м болевые ощущения начнутся через 15...20 с.


Зона задымления является опасной для человека при содержании окиси уг­лерода (СО) более 0,2 %, двуокиси углерода (СO2) - более 6 %, кислорода (O2) - менее 17 %. При наличии в зоне горения химических веществ (пластмасс, фа­неры, линолеума и др.) в воздух выделяются токсичные продукты, такие как фенол, формальдегид, хлористый водород, окисла азота, сероводород, фосген.

Скорость дымообразования щ может быть рассчитана по формуле [24]

vd = пвыг ■ dm D (12.7)

где \)выг- скорость выгорания, кг/м -с (табл. 12.5); dт - коэффициент дымообразования; D — показатель токсичности дыма, токсодоза, мг-мин/л (табл. 12.7).

Коэффициент дымообразования рассчитывается по формуле

^-ln^- (12.8)

1 Л/f ТГ 1V1 -'-'min

М Е V }

где Vn - объем пространства горения, м3; l - длина светового луча в дыму, м; М - масса сгоревшего материала, кг; ln - логарифм натуральный; Е0, Етiп - освещенность участка горения без задымления и в дыму, лк.

Пример 12.3. Определить скорость дымообразования при пожаре на скла-ском помещении объемом 20x30x5 м3. Известно, что горит штабель древесины массой 1000кг.


Решение. Рассчитаем коэффициент дымообразования по формуле (12.8), приняв длину светового луча в дыму 1м, освещенность в помещении без за­дымления 50 лк, с задымлением 20 лк

m l-M П Emm 1-1000 20 Рассчитаем скорость дымообразования по формуле (12.7), определив пред­варительно по таблице 12.5 скорость выгорания древесины пвыг = 0,015 кг/м2 с и по табл. 12 7 токсическую смертельную дозу для окиси углерода D = 60мг

■мин/л

vd = ъвыг ■ dm D =0,15-2,75 -60 =2,47кг/м2 Вывод. Скорость дымообразования 2,47 кг/м2 с.


Глубина опасной по токсичному действию части зоны задымления опре­деляется из соотношения


Г =


34,2


М(а + b)


2 /3


(12.9)


где М - масса токсичных продуктов горения, кг; D - токсическая доза, мг мин/л (табл. 12.7); vn- скорость переноса облака дыма, vn = (1,5... 2)3; К] - коэффициент шероховатости поверхности (К1 = 1 открытая по­верхность; К1 = 2 - поля, степь К1 = 2,5 - кустарники, отдельные деревья; К1 = 3,3 - городская застройка, лесной массив);

2 - коэффициент степени вертикальной устойчивости атмосферы (К2= 1 — инверсия; К2= 1,5 — изотермия; К2= 2 — конвекция);

а и b - коэффициенты, учитывающие доли массы токсических продуктов в первичном и вторичном облаке (табл. 12.7); при пожаре а= 1,,b= 0.

Таблица 12.7 - Значения токсических доз

 

 

Химическое вещество Токсическая доза, D, мг-мин/л Коэффициенты
смертельная пороговая а Ъ
Аммиак     0,2 0,15
Двуокись углерода 0,6 0,06 0,07 0,15
Окись углерода     1,0  
Окислы азота   1,5   0,03
Сернистый ангидрид   1,8 0,2 0,15
Синильная кислота   0,2   0,03
Фосген   6,2 0,07 0,15
Формалин, формальдегид 22,5 1,5   0,03
Хлор   0,6 0,2 0,15

Пример 12.4. Определить глубину зоны токсического задымления при по­жаре на станции водоочистки, где произошло разрушение емкости с хлором. Масса хлора 300кг, городская застройка. Состояние атмосферы - инверсия, скорость ветра 1 м/с.

Решение. Для определения глубины зоны токсического задымления ис­пользуем формулу (12.9), выбрав по табл. 12.7 значения токсической смертель­ной дозы для хлора D = 6 мг-мин/л, приняв для условий пожара коэффициент а = I. коэффициент b=0; коэффициент К1 = 3,3; К2 = 1


Г =


34,2


М(а

K2-3nD


 

2/3 34,2 Г МП
3,3 1-1,5-6

= 110м


Вывод. Глубина зоны токсического задымления равна ПО м.








Date: 2015-07-01; view: 1958; Нарушение авторских прав



mydocx.ru - 2015-2026 year. (0.846 sec.) Все материалы представленные на сайте исключительно с целью ознакомления читателями и не преследуют коммерческих целей или нарушение авторских прав - Пожаловаться на публикацию