Главная Случайная страница


Полезное:

Как сделать разговор полезным и приятным Как сделать объемную звезду своими руками Как сделать то, что делать не хочется? Как сделать погремушку Как сделать так чтобы женщины сами знакомились с вами Как сделать идею коммерческой Как сделать хорошую растяжку ног? Как сделать наш разум здоровым? Как сделать, чтобы люди обманывали меньше Вопрос 4. Как сделать так, чтобы вас уважали и ценили? Как сделать лучше себе и другим людям Как сделать свидание интересным?


Категории:

АрхитектураАстрономияБиологияГеографияГеологияИнформатикаИскусствоИсторияКулинарияКультураМаркетингМатематикаМедицинаМенеджментОхрана трудаПравоПроизводствоПсихологияРелигияСоциологияСпортТехникаФизикаФилософияХимияЭкологияЭкономикаЭлектроника






Практична робота. Якісні реакції на складові частини нуклеопротеїнів





Якісні реакції на складові частини нуклеопротеїнів

Принцип методу. Для вивчення хімічного складу нуклеопротеїнів зручно користуватися дріжджовими клітинами. Продукти гідролізу можна виявити в гідролізаті реакціями, специфічними для компонентів нуклеопротеїнів.

Матеріальне забезпечення: 500 мг пекарських дріжджів або 100 мг сухих дріжджів, 10% розчин H2SO4, пробірки, піпетки, фільтрувальний папір, водяна баня.

Хід роботи: У велику широку пробірку (15 x 1,5 см) кладуть 500 мг пекарських дріжджів або 100 мг сухих дріжджів, заливають 4 мл 10 % розчину H2SO4. Пробірку закривають корком, у який вставлена трубка довжиною 25-30 см, яка служить холодильником, збовтують і ставлять у киплячу водяну баню.

Через 1 – 1,5 год після початку кипіння рідину охолоджують і фільтрують. У фільтраті виявляють продукти гідролізу нуклеопротеїнів: поліпептиди, пуринові та піримідинові азотисті основи, рибозу, дезоксирибозу і фосфатну кислоту.

 

Дослід 1. Біуретова проба на поліпептиди.

Принцип методу. Біуретова реакція – характерна на сполуки, що містять у своєму складі не менше двох пептидних зв’язків. Такі речовини у лужному середовищі утворюють з СuSO4 комплекс рожево-фіолетового забарвлення. В утворенні цього комплексу беруть участь пептидні зв’язки поліпептидів і білків.

Матеріальне забезпечення: гідролізат дріжджів, 10 % розчин NaOH, 30 % розчин NaOH, 1% розчин CuSO4, пробірки, піпетки.

Хід роботи: До 5 крапель гідролізату додають 10 крапель 10 % розчину NaOH і 1 краплю 1 % розчину CuSO4. Рідина забарвлюється в рожево-фіолетовий колір.

У висновку пояснити, що в даній реакції виявляються пептидні зв’язки, якими амінокислоти сполучаються між собою.

 

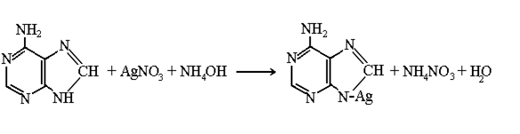
Дослід 2. Срібна проба на пуринові основи.

Принцип методу. Пуринові основи з аміачним розчином аргентуму нітрату утворюють осад, що забарвлюється у світло-коричневий колір.

Матеріальне забезпечення: гідролізат дріжджів, конц. розчин NH4OH, 1% розчин AgNO3, пробірки, піпетки.

Хід роботи: 10 крапель гідролізату нейтралізують концентрованим аміаком і додають 5 крапель 1 % розчину AgNO3. При стоянні через 3-5 хв випадає невеликий пухкий осад світло-коричневого кольору срібних солей пуринових основ (аденіну, гуаніну). Реакція відбувається за рівнянням:

Зробити висновок.

 

Дослід 3. Проба Тромера на рибозу і дезоксирибозу.

Принцип методу. Моно- і дисахариди, які мають у своєму складі вільний півацетальний гідроксил, здатні у лужному середовищі відновлювати метали (аргентум, купрум, вісмут та інші). Метали у цій реакції відновлюються з одночасним розривом вуглеводневого ланцюга цукрів та полімеризацією.

Матеріальне забезпечення: гідролізат дріжджів, 30 % розчин NaOH, 1% розчин CuSO4, 7 % розчин CuSO4, пробірки, піпетки.

Хід роботи: До 5 крапель гідролізату додають 10 крапель 30 % розчину NaOH і 5 – 10 крапель 7 % розчину CuSO4 до появи муті Cu(OH)2, яка не зникає. Рідину змішують і верхній її шар нагрівають до кипіння. Випадає червоний осад закису міді (внаслідок окиснення рибози і відновлення гідрату окису міді до закису).

У висновку звертається увага на те, що рибоза окислюється, а гідрат окису міді відновлюється до закису міді.

Дослід 4. Молібденова проба на фосфатну кислоту.

Принцип методу. Фосфати у кислому середовищі утворюють з молібдатами забарвлені фосфатно-молібденові комплекси.

Матеріальне забезпечення: гідролізат дріжджів, молібденовий реактив, пробірки, піпетки.

Хід роботи: До 10 крапель молібденового реактиву (розчин молібденового амонію в нітратній кислоті) додають 5 крапель гідролізату і кип’ятять декілька хвилин на відкритому вогні. В присутності фосфатної кислоти рідина забарвлюється в лимонно-жовтий колір. При охолодженні випадає жовтий кристалічний осад комплексної сполуки амонію фосфатномолібденового. Молібденова проба на фосфатну кислоту:

 

H3PO4 + 12 (NH4)2MoO4 + 21 HNO3 (NH4)3PO4MoO2 + 21 NH4NO3 + 12 H2O

 

У висновку акцентується увага на утворенні комплексної сполуки амонію фосфатномолібденового.

 

Результати досліджень оформляють у вигляді таблиці:

 

 

Назва Реакції Продукти гідролізу нуклеопротеїдів, компоненти нуклеопротеїдів Колір кінцевих продуктів
Біуретова Поліпептиди  
Срібна проба Пуринові основи  
Проба Тромера Цукри з відновлюючими властивостями  
Молібденова проба Фосфатна кислота  

 

Клініко-діагностичне значення. Аналіз ДНК є стандартним дослідженням для діагностики спадкових захворювань. Він може бути використаний для генотипування фетальної тканини в пренатальній діагностиці, яку застосовують для виявлення потенційних батьків.


Похідні азотистих основ широко застосовуються у практичній медицині. Так, меркаптопурин має антилейкемічну активність, що зумовлена його біологічною активністю як антиметаболіта пуринів. Фторурацил і фторофур як структурні аналоги піримідинів мають протипухлинну активність, що пов’язана з перетворенням їх у 5-фтор-2-дезоксиуридин-5’монофосфат, який є конкурентним інгібітором тимідилатсинтази.

 

Контроль виконання лабораторної роботи

1. Пояснити механізм утворення подвійної спіралі ДНК.

2. Пояснити механізм утворення шпильок в молекулі тРНК.

3. Які надмолекулярні комплекси утворюють нуклеїнові кислоти? Визначити основні компоненти нуклеопротеїну (білка, азотистої основи, пентози, фосфорної кислоти) в його гідролізаті. Поясніть принципи методів.

4. Що таке повний і неповний гідроліз нуклеопротеїнів?

5. Назвіть продукти гідролізу нуклеопротеїнів?

6. Які продукти гідролізу виявляються пробою Тромера?

7. Які продукти гідролізу дають біуретову реакцію?

8. Новонароджені в період вигодовування не отримують нуклеїнові кислоти з молоком, але вони інтенсивно ростуть, збільшується кількість клітин, безперервно відбувається гемопоез, синтез білків, тобто відбуваються процеси, що потребують iРНК, тРНК, рРНК, ДНК. За рахунок яких сполук підвищується вміст нуклеїнових кислот?

9. У двох препаратах ДНК вміст аденіну становить відповідно 25 і 12 % від загального вмісту азотистих основ. Обчисліть відносний вміст тиміну, цитозину і гуаніну в цих препаратах ДНК.

 

Приклади тестів „Крок-1”

1. РНК вірусу СНІДу проникла всередину лейкоцита і за допомогою ензима ревертази спричинила синтез у клітині вірусної ДНК. В основі цього процесу лежить...


A. Зворотня транскрипція

B. Дерепресія оперону

C. Репресія оперону

D. Конваріантна реплікація

E. Зворотня трансляція


 

2. Із нітратів, нітритів і нітрозамінів в організмі утворюється азотиста кислота, яка зумовлює окисне дезамінування азотистих основ нуклеотидів. Це може призвести до точкової мутації – заміни цитозину на..


А. Тимін

В. Урацил

С. Аденін

D. Гуанін

E. Інозин


 

3. Нітрозаміни належать до дезамінуючих мутагенів. З якої азотистої основи в результаті їх дії утворюється урацил?


А. Цитозину

B. Аденіну

C. Гуаніну

D. Тиміну

E. Метилурацилу


 

Індивідуальна самостійна робота студентів

1. Структура, властивості та біологічне значення нуклеопротеїнів, фосфопротеїнів, ліпопротеїнів та глікопротеїнів.

2. Особливості синтезу та розпаду нуклеопротеїнів, глікопротеїнів і протеогліканів.

 

Література

Основна:

1. Губський Ю. І. Біологічна хімія. – Київ-Тернопіль: Укрмедкнига, 2000. – 508 с.

2. Губський Ю. І. Біологічна хімія. – Київ-Вінниця: Новакнига, 2009. – 60 – 77 с.

3. Гонський Я.І., Максимчук Т.П., Калинський М.І. Біохімія людини. – Тернопіль: Укрмедкнига, 2002. – 744 с.

4. Біологічна хімія. Тести та ситуаційні задачі. / За ред. О.Я. Склярова. – К.: Медицина, 2010. – 360 с.

5. Біохімічні показники в нормі і при патології. Довідник / За ред. Склярова О.Я. – К.: Медицина, 2007. – 320 c.


6. Практикум з біологічної хімії / За ред. О.Я. Склярова. – К.: Здоров’я, 2002. – С. 47-50.

Додаткова:

1. Березов Т.Т., Коровкин Б.Ф. Биологическая химия. – М.: Медицина, 1998. – С. 96-113.

2. Вдовенко Н.В. Фізіологічна роль та фармакологічні властивості АТФ і її похідних // Вісн.пробл. біології і медицини. – 2004. – Вип. 1. – С. 3-8.

3. Кольман Я., Рем К.-Г. Наглядная биохимия. – М.: Мир, 2000. – С. 86-93.

4. Кордюм В., Похоленко Я., ДНК- вакцины – расширение возможностей // Вісн. фармакології та фармації. – 2004. – № 10. – С. 2-9.

5. Марри Р., Греннер Д., Мейес П., Родуэлл В. Биохимия человека. Т.2. – М.: Мир; Бином. Лаборатория знаний, 2009. – С. 5-14, 35-81.

6. Мещишен І.Ф., Пішак В.П., Григор’єва Н.П. Біомолекули: структура та функції. – Чернівці: Медик, 2000. – С. 52-57

 

Тема № 2. Дослідження катаболізму пуринових нуклеотидів. Визначення кінцевих продуктів їх обміну. Спадкові порушення їх обміну.

Мета заняття: Засвоїти особливості реакцій синтезу та розпаду пуринових і піримідинових нуклеотидів в нормі та за умов природжених ензимопатій цих процесів. Оволодіти методами визначення кількості сечової кислоти у біологічних рідинах та вміти інтерпретувати отримані дані.

Актуальність теми: Порушення процесів біосинтезу і катаболізму пуринових та піримідинових азотистих основ та нуклеотидів можуть приводити до розвитку таких захворювань як синдром Леша-Ніхана, подагра, оротацидурія. Знання основних метаболітів та ензимів цих процесів є необхідним для діагностики і контролю за лікуванням.

Конкретні завдання:

Ø Аналізувати послідовність реакцій біосинтезу та катаболізму пуринових нуклеотидів, порушення синтезу сечової кислоти і біохімічні основи розвитку подагри.

Ø Аналізувати послідовність реакцій біосинтезу та катаболізму піримідинових нуклеотидів.

Ø Кількісно визначити сечову кислоту в біологічних рідинах, вміти інтерпретувати отримані результати.

Теоретичні питання

1. Біосинтез пуринових нуклеотидів:

· cхема реакцій синтезу ІМФ;

· утворення АМФ, ГМФ, АТФ, ГТФ;

· регуляція біосинтезу пуринових нуклеотидів за принципом негативного зворотного зв’язку (ретроінгібування).

2. Біосинтез піримідинових нуклеотидів: реакції; регуляція. Клініко-біохімічна характеристика оротацидурій.

3. Біосинтез дезоксирибонуклеотидів. Утворення тимідилових нуклеотидів; інгібітори біосинтезу дТМФ як протипухлинні засоби (структурні аналоги дТМФ, похідні птерину).

4. Катаболізм пуринових нуклеотидів; cпадкові порушення обміну сечової кислоти. Клініко-біохімічна характеристика гіперурикемії, подагри, синдрому Леша-Ніхана.

5. Катаболізм піримідинових нуклеотидів; метаболізм продуктів їх розпаду.







Date: 2015-06-11; view: 644; Нарушение авторских прав



mydocx.ru - 2015-2026 year. (0.852 sec.) Все материалы представленные на сайте исключительно с целью ознакомления читателями и не преследуют коммерческих целей или нарушение авторских прав - Пожаловаться на публикацию