Главная Случайная страница


Полезное:

Как сделать разговор полезным и приятным Как сделать объемную звезду своими руками Как сделать то, что делать не хочется? Как сделать погремушку Как сделать так чтобы женщины сами знакомились с вами Как сделать идею коммерческой Как сделать хорошую растяжку ног? Как сделать наш разум здоровым? Как сделать, чтобы люди обманывали меньше Вопрос 4. Как сделать так, чтобы вас уважали и ценили? Как сделать лучше себе и другим людям Как сделать свидание интересным?


Категории:

АрхитектураАстрономияБиологияГеографияГеологияИнформатикаИскусствоИсторияКулинарияКультураМаркетингМатематикаМедицинаМенеджментОхрана трудаПравоПроизводствоПсихологияРелигияСоциологияСпортТехникаФизикаФилософияХимияЭкологияЭкономикаЭлектроника






Показники (кількісні і якісні), умови преміювання





Під преміюванням розуміється виплата працівникам грошових сум понад основний заробіток з метою стимулювання результатів праці та їх заохочення.

Конкретні показники й умови преміювання, а також розміри премій установлюються керівником підприємства за згодою комітету профспілки.

Загальний заробіток робітника за відрядно-преміальної оплати його праці за виконання і перевиконання завдань, технічно обгрунтованих норм виробітку можна розрахувати за формулою:

 

 

де Зв — заробіток за відрядними розцінками, грн.;

П1, П2 — відсоток премії за виконання плану і технічно-обгрунтованих норм і за кожний відсоток перевиконання плану або норм;

Ппл— відсоток перевиконання плану виробництва або норм.

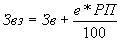
У разі преміювання робітників-відрядників за економію матеріальних цінностей загальний заробіток розраховують за формулою:

 

 

де е — сума досягнутої економії, грн.;

РП — розмір премій у відсотках від досягнутої економії.

Умови преміювання запроваджуються з метою контролю за іншими сторонами діяльності конкретного працівника (наприклад, дотримання трудової дисципліни та правил внутрішнього розпорядку) та підприємства в цілому, які не враховуються показниками преміювання.

Преміювання здійснюється у формах:

- преміювання, передбачене системою оплати праці;

- преміювання як вид заохочення (поза системою оплати праці). Умовами преміювання є досягнення встановлених у положенні показників (кількісних і якісних) у роботі. Важливою умовою преміювання є також дотримання трудової дисципліни. У положеннях про преміювання передбачаються випадки повного або часткового позбавлення премії. Це, як правило, прогули, запізнення на роботу, поява на роботі в нетверезому стані тощо.







Date: 2015-07-17; view: 680; Нарушение авторских прав



mydocx.ru - 2015-2026 year. (0.502 sec.) Все материалы представленные на сайте исключительно с целью ознакомления читателями и не преследуют коммерческих целей или нарушение авторских прав - Пожаловаться на публикацию