Главная Случайная страница


Полезное:

Как сделать разговор полезным и приятным Как сделать объемную звезду своими руками Как сделать то, что делать не хочется? Как сделать погремушку Как сделать так чтобы женщины сами знакомились с вами Как сделать идею коммерческой Как сделать хорошую растяжку ног? Как сделать наш разум здоровым? Как сделать, чтобы люди обманывали меньше Вопрос 4. Как сделать так, чтобы вас уважали и ценили? Как сделать лучше себе и другим людям Как сделать свидание интересным?


Категории:

АрхитектураАстрономияБиологияГеографияГеологияИнформатикаИскусствоИсторияКулинарияКультураМаркетингМатематикаМедицинаМенеджментОхрана трудаПравоПроизводствоПсихологияРелигияСоциологияСпортТехникаФизикаФилософияХимияЭкологияЭкономикаЭлектроника






Лабораторная работа. Метод наименьших квадратов





 

Метод наименьших квадратов позволяет получить уравнение регрессии без использования графика. График необходим только для определения типа уравнения.

По данному методу рассчитываются уравнения практически любой сложности. Для получения коэффициентов уравнения необходимо рассчитать одну из приведенных систем:

 

Для уравнения у=а + bx

 

Для уравнения у=а + bx + cx2

 

Для уравнения у=а + bx + cx2+ dx3

 

В зависимости от сложности необходимого уравнения составляется таблица сумм, в которой рассчитываются суммы, используемые в системе уравнений.

В нашем примере достаточным является уравнение кривой второго порядка: у=а + bx + cx2

 

Таблица 19

Расчет сумм квадратов

х nх nхx уфакт nхyфакт nхxyфакт nхx2 nхx2yфакт nхx3 nхx4
9,95   59,70 0,0089 0,0534 0,53133 594,01500 5,28673 5910,449 58808,970
11,65   209,70 0,0100 0,1802 2,09933 2443,00500 24,45719 28461,008 331570,746
13,35   293,70 0,0139 0,3058 4,08243 3920,89500 54,50044 52343,948 698791,709
15,05   466,55 0,0183 0,5659 8,51680 7021,57750 128,17776 105674,741 1590404,858
16,75   418,75 0,0225 0,5625 9,42188 7014,06250 157,81641 117485,547 1967882,910
18,45   369,00 0,0272 0,5430 10,01835 6808,05000 184,83856 125608,523 2317477,240
20,15   342,55 0,0315 0,5363 10,80645 6902,38250 217,74987 139083,007 2802522,599
21,85   87,40 0,0352 0,1406 3,07211 1909,69000 67,12560 41726,727 911728,974
23,55   70,65 0,0439 0,1317 3,10154 1663,80750 73,04115 39182,667 922751,799
S     0,211313 3,0194 51,6502 38277,485 912,9937 655476,617 11601939,8

 

Подставив значения в систему уравнений, получим:

 

Решив эту систему уравнений мы получим три коэффициента:

а = -0,00438

b = 0,000602

c = 0,000059

Таким образом, уравнение регрессии будет иметь вид:

у = 0,000059х2 + 0,000602х – 0,00438


Таблица 20

Проверка адекватности уравнения

х nх увыч уфакт уфактвыч фактвыч)2nх уфакт- факт- )2nх
9,95   0,0075 0,0089 0,0014 0,000012   -0,01160 0,000808
11,65   0,0107 0,0100 -0,0006 0,000008   -0,01049 0,001981
13,35   0,0142 0,0139 -0,0003 0,000002   -0,00660 0,000959
15,05   0,0181 0,0183 0,0002 0,000001   -0,00225 0,000157
16,75   0,0223 0,0225 0,0002 0,000001 0,02050 0,00200 0,000100
18,45   0,0269 0,0272 0,0003 0,000002   0,00665 0,000884
20,15   0,0318 0,0315 -0,0002 0,000001   0,01104 0,002074
21,85   0,0370 0,0352 -0,0019 0,000014   0,01465 0,000858
23,55   0,0426 0,0439 0,0013 0,000005   0,02340 0,001642
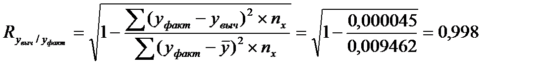
          0,000045     0,009462

 

Уравнение считается адекватным при значении показателя тесноты связи больше 0,97. Следовательно, уравнение, полученное методом наименьших квадратов адекватно и хорошо отражает фактические данные.

 








Date: 2015-07-17; view: 635; Нарушение авторских прав



mydocx.ru - 2015-2026 year. (1.904 sec.) Все материалы представленные на сайте исключительно с целью ознакомления читателями и не преследуют коммерческих целей или нарушение авторских прав - Пожаловаться на публикацию