Главная Случайная страница


Полезное:

Как сделать разговор полезным и приятным Как сделать объемную звезду своими руками Как сделать то, что делать не хочется? Как сделать погремушку Как сделать так чтобы женщины сами знакомились с вами Как сделать идею коммерческой Как сделать хорошую растяжку ног? Как сделать наш разум здоровым? Как сделать, чтобы люди обманывали меньше Вопрос 4. Как сделать так, чтобы вас уважали и ценили? Как сделать лучше себе и другим людям Как сделать свидание интересным?


Категории:

АрхитектураАстрономияБиологияГеографияГеологияИнформатикаИскусствоИсторияКулинарияКультураМаркетингМатематикаМедицинаМенеджментОхрана трудаПравоПроизводствоПсихологияРелигияСоциологияСпортТехникаФизикаФилософияХимияЭкологияЭкономикаЭлектроника






Практическая работа. Дисперсионный анализ





Для того, чтобы установить достоверность влияния какого-либо фактора на результаты того или иного процесса применяется дисперсионный анализ. При этом необходимо соблюдение нескольких условий: - исследования проводятся по нескольким группам, в каждой из которых сила действия изучаемого фактора различна;

- сила действия всех остальных факторов одинакова в пределах всех групп или изменяется в незначительной степени как внутри групп, так и между группами.

Для проведения дисперсионного анализа выборка разделяется на несколько групп, различных по численности.

Для определения количества групп нужно произвести следующие расчеты: 5+(гр-2), где гр – последняя цифра номера учебной группы.

Далее, делим выборку на равные части по количеству групп, определенному ранее, и отбираем следующие количества значений от первой варианты части по порядку:

 


1 группа -12 значений

2 группа – 8 значений

3 группа – (14- гр) значений

4 группа – 9 значений

5 группа – (7+ гр) значений

6 группа – 11 значений

7 группа – (12- гр) значений

8 группа – 10 значений


 

На базе этих групп будем производить изучение достоверности влияния виртуального фактора на результаты.

Данные групп заносятся в следующую таблицу:

 

Таблица 14

Расчет средних значений групп

 

№ группы Значения исследуемого признака S х nx
  15,6; 15,2; 21,1; 15,9; 12,0; 15,6; 20,4; 21,2; 20,5; 11,7; 20,8; 15,0 119,8   17,11
  14,3; 19,8; 14,4; 18,2; 14,0; 14,4; 13,3; 14,8 156,2   17,36
  13,7; 17,9; 11,7; 20,0; 10,4; 23,0; 16,6; 13,8; 16,3; 11,6; 13,3; 21,2; 14,0; 12,7 216,2   15,44
  18,2; 19,4; 11,2; 20,9; 20,7; 15,3; 19,0; 15,1; 16,4 123,2   15,40
  14,7; 18,5; 16,1; 18,1; 17,2; 17,6; 17,6 205,0   17,08
Итого по всем группам: 820,4   16,41

 

Средние значения групп рассчитываются по формуле:

Общее среднее значение:

Таким образом средние значения в разных группах изменяются в достаточно широких пределах.

Значения дисперсий рассчитываются через центральное отклонение от общего среднего значения:

Таблица 15

Расчет дисперсий

 

№ гр. Центральные отклонения от общего среднего a = х - общ S a nx S a2 2 nx
  -1,708; 2,092; -0,308; 1,692; 0,792; 1,192; 1,192 4,994   0,706 13,720 3,491
  1,792; 2,992; -5,208; 4,492; 4,292; -1,108; 2,592; -1,308; -0,008 8,528   0,948 87,543 8,081
  -2,708; 1,492; -4,708; 3,592; -6,008; 6,592; 0,192; -2,608; -0,108; -4,808; -3,108; 4,792; -2,408; -3,708 -13,512   -0,965 206,315 13,041
  -2,108; 3,392; -2,008; 1,792; -2,408; -2,008; -3,108; -1,608 -8,064   -1,008 45,268 8,129
  -0,808; -1,208; 4,692; -0,508; -4,408; -0,808; 3,992; 4,792; 4,092; -4,708; 4,392; -1,408 8,104   0,675 143,550 5,473
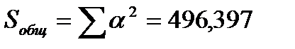
Итого по всем группам: 0,000   0,000 496,397 38,215

Рассчитываем дисперсии:

- общая дисперсия:

- между группами:

- внутри групп:

Дисперсия между группами обусловлена действием исследуемого фактора, дисперсия внутри групп – действием случайных факторов. Для того, чтобы оценить дисперсии, необходимо учесть количество степеней свободы (V=n-1), для которых они определены:


 

Таблица 16

 

Расчет оценок дисперсий

Вид дисперсии Значение показателя Число степеней свободы Оценка дисперсии
Общая (S) 496,397 V общ =50-1=49 10,131
Межгрупповая (Sм/гр) 38,215 V м/гр =5-1=4 9,554
Внутригрупповая (Sв/гр) 458,182 V в/гр= V общ- V м/гр = 49-4=45 10,182

 

Расчет достоверности силы влияния:

Поскольку критерий достоверности силы влияния меньше 3 можно сделать вывод о несущественности исследуемого фактора.

 


 







Date: 2015-07-17; view: 438; Нарушение авторских прав



mydocx.ru - 2015-2026 year. (0.533 sec.) Все материалы представленные на сайте исключительно с целью ознакомления читателями и не преследуют коммерческих целей или нарушение авторских прав - Пожаловаться на публикацию