Главная Случайная страница


Полезное:

Как сделать разговор полезным и приятным Как сделать объемную звезду своими руками Как сделать то, что делать не хочется? Как сделать погремушку Как сделать так чтобы женщины сами знакомились с вами Как сделать идею коммерческой Как сделать хорошую растяжку ног? Как сделать наш разум здоровым? Как сделать, чтобы люди обманывали меньше Вопрос 4. Как сделать так, чтобы вас уважали и ценили? Как сделать лучше себе и другим людям Как сделать свидание интересным?


Категории:

АрхитектураАстрономияБиологияГеографияГеологияИнформатикаИскусствоИсторияКулинарияКультураМаркетингМатематикаМедицинаМенеджментОхрана трудаПравоПроизводствоПсихологияРелигияСоциологияСпортТехникаФизикаФилософияХимияЭкологияЭкономикаЭлектроника






Государственная статистическая отчетность





№ 18-кс «Сведения об инвестициях в основной капитал, направленных на охрану окружающей среды и рациональное использование природных ресурсов»;

№ 2-ос "Сведения о выполнении водоохранных работ на водных объектах";

№ 4-ос «Сведения о текущих затратах на охрану природы, экологических и природоресурсных платежах»;

№ 2-тп (воздух) «Сведения об охране атмосферного воздуха»;

№ 2-тп (водхоз) «Сведения об использовании воды»;

№ 2-тп (отходы) «Сведения об образовании, использовании, обезвреживании, транспортировании и размещении отходов производства и потребления».

Рабочая документация производственного экологического контроля. В общем случае, в зависимости от предприятия, в состав рабочей документации производственного контроля входит: ПДС, ПДВ, разрешение на выброс загрязняющих веществ в атмосферу,

Первичная учетная документация:

ПОД-1 «Журнал учета стационарных источников загрязнения и их характеристик»,

ПОД-2 «Журнал учеты выполнения мероприятий по охране атмосферного воздуха»,

ПОД-3 «Журнал учета работы газоочистных и пылеулавливающих установок»,

№ ПОД-11 «Журнал учета водопотребления (водоотведения) водоизмерительными приборами и устройствами»,

№ ПОД-12 «Журнал учета водопотребления (водоотведения) косвенными методами»,

Лицензионные документы и договоры:

лицензия на пользование водными объектами,

лицензионное дело на пользование водными объектами,

договор на пользование водными объектами,

договор на пользование городской системой водоснабжения и канализации,

Нормативные документы:лимиты водопотребления и водоотведения при сбросе сточных вод в поверхностные объекты,балансовая схема водоснабжения и водоотведения с указанием и нумерацией мест измерения забора (приема) и сброса воды и точек передачи ее другим потребителям.

Организационные документы производственного экологического контроля. Набор документов зависит от предприятия и в общем случае включает в себя:Планы мероприятий по охране окружающей среды.Инструкции по охране окружающей среды на предприятии.

приказ о назначении ответственных за эксплуатацию газоочистных установок (ГОУ),

должностные инструкции персонала, обслуживающего ГОУ,

инструкции по эксплуатации и обслуживанию ГОУ,

приказ о порядке ведения журналов учета работы газоочистного оборудования,

приказ о назначении лица, ответственного за эксплуатацию и обслуживание сетей водных коммуникаций и очистных сооружений,

должностные инструкции для персонала, обслуживающего водные коммуникации и очистные сооружения,

должностные инструкции для персонала, обслуживающего контрольно-измерительную аппаратуру по определению качества забираемой и сбрасываемой в водный объект воды,

порядок проведения государственной аттестации контрольно-измерительной аппаратуры по определению качества забираемой и сбрасываемой в водный объект воды,

производственные инструкции завода-изготовителя по эксплуатации оборудования очистных сооружений,

инструкции по эксплуатации и обслуживанию очистных сооружений.

В части обращения с отходами:

приказ о назначении лиц, допущенных к работе с опасными отходами,

приказ о направлении лиц, допущенных к работе с опасными отходами, на обучение или переподготовку,

документы, подтверждающие обучение (переподготовку) лиц, допущенных к работе с опасными отходами,

приказ о введении в действие порядка (инструкции) обращения с отходами производства и потребления на территории предприятия,

порядок (инструкция) обращения с отходами производства и потребления на территории предприятия.


 

17. Инвентаризация выбросов загрязняющих веществ (ЗВ) в атмосферу. Виды инвентаризации. Основные этапы. Основные термины и понятия: загрязняющее вещество, источник выделения ЗВ, источник выбросов ЗВ. Классификация источников выбросов ЗВ.

Инвентаризация – сбор и систематизация сведений о количественном и качественном составе выбросов ЗВ, источниках загрязнения и их расположение на пр-ии. Ин-ию проводят все пр-ия, организации,деятельность котор связана с выбросов в АВ

Инв явл основой для ведения всей воздухоохранной деятельности в том числе и установления ПДВ. Проводится 1 раз в 5 лет

Инвентаризация проводится с целью:

а) организации гос учета предприятий - загрязнителей АВ;

б) определения пар-ров источников выделения и выбросов ЗВ в атмосферу;

в) определения исходных данных для разработки нормативов ПДВ ЗВ в АВ и проведения государственного контроля за их соблюдением;


г) оценки экологических характеристик технологий и материалов, используемых на предприятии;

д) оценки эффективности работы пылегазоочистного оборудования и других воздухоохранных мероприятий предприятия;

е) разработки мероприятий по охране АВ от загрязнения.

Этапы инвентаризации: 1) изучение технолог.ренгамента и сосотавление перечня ЗВ, котор могут образоваться в ходе технолог процессов на пр-ии

2)выбор методов опр-я количеств и качеств характеристик выбросов ЗВ в АВ

3)определение количеств и качеств хар-к выделений и выбросов ЗВ в АВ

4)составление отчета по инвентаризации

ЗВ – хим или биолог в-во или смесь в-в, содерж в АВ и котор в опред. концентрациях оказывает вр. воздействие на здоровье чел-а и состояние ОС

Источник выделения ЗВ - объект, в кот происх образование ЗВ (установка, аппарат, устройство, емкость для хранения, двигатель, свалка отходов).

Источник загрязнения атмосферы (источник выброса) - объект, от которого загрязняющее вещество поступает в атмосферу (труба, вентиляционная шахта, аэрационный фонарь, открытая стоянка транспорта).

Классификация: неорганизованные (открытые склады, трансп уч), организованные (линейные и точечные, площадные), стационарные и передвижные, незатененные и затененные. Орг-выбросы,которые осуществл с помощью специально сооруженных дымоходов, воздухоотводов и труб.Неорганизованные – это пром. Выбросы, поступ в АВ в виде ненаправленных потоков газов в рез-те нарушения герметичности оборудования, отсутствия или неудовлетворительной работы оборудования по отсосу газа в местах загрузки, выгрузки или хранения продукта.

 

18. Нормирование загрязняющих веществ в атмосферном воздухе. Понятие «ПДК», «ОБУВ». Виды ПДК. Принцип раздельного нормирования ЗВ. Основные нормативные документы. Виды комбинированного воздействия ЗВ на организм человека. Понятие фоновой концентрации. Источники информации о значениях фоновой концентрации.

В РФ для нормирования кач-ва ОС используются 2 группы нормативов: -санитарно-гигиенические(ПДК,ПДД,ПДУ) и эколого-биологические(возд-е ЗВ на здоровье человека)

ЗВ: с рефлекторным действием (органолептические, обладают запахом NH3,Cl2,H2O) ПДК мр; с резоптивным запахом (возд-е при всасывании в кровь CO2,NO2, радиационные, тяж.Ме) ПДК сс

ПДК - это максимальная концентрация вредного вещества, которая за определенное время воздействия не влияет на здоровье человека и его потомство, а также на компоненты экосистемы и природное сообщество в целом.

· Максимально-разовая-при разовом воздействии ничего не вызывает

· Средне-суточная – при воздействии в течение суток.

· Рабочей зоны – ежедневно в течение 8 часом при 40 недельной работе.

ОБУВ (ориентировочно безопасный уровень воздействия) -временно устанавливаемая на период нормирования содержания вредных веществ в ос.Не применяется при проектировании производства.

Условия кач-ва АВ См≤ПДК с – Сф

Сф+См≤ПДК мр

Сф-фоновая кон-я ЗВ,которая присутствует в АВ на момент выброса и зависит от вклада близко расположенных промышл.предприятий,определяется Фед.службой по экомониторингу(Росгидромет) Сф = 0,3ПДК сс(мг\м3)

Значение ПДК и ОБУВ устанавл одинаково на всей территории РФ и публикуются в нормативных документах,наз. Гигиеническими нормативами


 

Нормативная документация – ПДВ (Проект нормативов предельно допустимых выбросов разрабатывается на основании ФЗ "Об охране окружающей среды, согласно которому все юридические лица, имеющие стационарные источники выбросов вредных (загрязняющих) веществ в атмосферный воздух, обязаны обеспечивать проведение инвентаризации выбросов вредных (загрязняющих) веществ в атмосферный воздух и разработку проекта ПДВ), ПДС (Проект ПДС основывается нормативах, котор разраб-ются на основе Положений закона «Об охране окружающей среды» Водного кодекса России. Разработка ПДС производится также согласно требованиям других нормативных актов. Условия недопустимости превышения допустимых концентраций опасных веществ в водных объектах являются определяющими для установления нормативов предельно допустимых сбросов в водные объекты опасных веществ .Расчет ПДС производится таким образом, чтобы концентрация массы подобных веществ в воде не превышала критической отметки), ПНООЛР( Проект нормативов образования отходов и лимитов на их размещение разрабатывается с целью установления объема размещения отходов на определенных объектах, сроков временного накопления отходов на территории предприятия и других условий, обеспечивающих охрану окружающей среды с учетом утвержденных лимитов размещения отходов)

19. Рассеивание ЗВ в атмосферном воздухе. Основные факторы, влияющие на рассеивание. Понятия С м, Х м, u м. Изменение концентрации ЗВ на высоте источника выброса и в приземном слое атмосферного воздуха по мере удаления от источника выброса. Основные реперные точки.

Расчет ЗВ в АВ производится с целью установления нормативов допустимых выбросов,расчеты проводится в соотв с методикой ОНД-86 «Методика расчета концентраций в АВ ВВ.содерж в выбросах пр-ий» с ее помощью определ размеры СЗЗ пр-я, а также мин.высоту источников загрязнения при котор не будет превышаться концентрация ЗВ в приземном слое атмосферы.

 

Распределение ЗВ в АВ зависит от множества факторов: 1)от хар-ра выброса:-к-ва ЗВ, пост в АВ(г\с,м3\с);от агрегатного состояния –Т выброса(теплый, Тзв=Тос; холТзв≤Твозд)

2)метеоусловий: -от Vветра(На высоте ист ЗВ) –от тепм усл.ратификации атм(инверсия)

3)от хар-к условий выброса: от высоты; от формы устья(круглое устье, квадратное, прямоугольное); от V выхода газообразной смеси из устья источника

4)от особенности местности: от формы рельефа

В соотв с ОНД-86 осн параметрами распр ЗВ в АВ явл 1.)максимально приземистая концентрация при НМУ (приземистый слой – расст от пов-ти Земли равна приблизительно 2м)

См = мг\м3

М-мощность выброса, макс разовый выброс ЗВ;

А-коээфнт температурной стратификации(140-260);

F – коэф-т скорости осаждения ЗВ

m,n – безразмерный коэф=т зависит от процесса выхода газообр смеси из устья источника


𝛈 - 1; H – высота источника выбороса

V1 – обьемный расход пылегазовой смеси (м3\с) V1= D – диаметр выброса, W – скорость выброса,

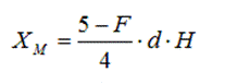
2.)Хм – расстояние от источника выброса до той зоны в приземистом слое где наблюдается макс приземистая концентрация

3.) Um – опасная V ветра на уровне флюгера – скорость при котором ЗВ выброс оседает в приземистом слое

 

Основные реперные точки.

Х0, ХМ, 8ХМ

 

 


20. Понятие «ПДВ», «ВСВ». Условия установления ПДВ, мероприятия по снижению ВСВ. Проект нормативов ПДВ предприятия. Основные этапы разработки. Структура и краткое содержание разделов тома ПДВ.

Если любая концентрация не превышает ПДК мр,то выброс явл нормативным и называется ПДВ (г\с)

Если конц-я ЗВ больше ПДК то выброс сверхнормативый и называется ВСВ(должен бвть за 1-5 лет доведен до нормативов ПДВ

ПДВ – к-во ЗВ, которое поступает в АВ за единицу времени и котор при оседании в приземистый слой не создает концентрацию,превыш ПДК

 

Сущ несколько способов снижение ВСВ до выброса ПДК:

-внедрение очист сооружений (дорогостоящий метод,но позволяет снизить как конц. ЗВ в приземном слое, так и загр.атм.в.)
- увелич.высоты источника (только, когда нельзя визить ВСВ до ПДВ др.методом) – уменьш.только в приземном слое!!

- иодернизация технологич.процесса;

 

См<ПДКраз –Сф определяем ПДВ или ВСВ,если ВСВ то необходимо подобрать эффект очистки Эоч=(М-ПДВ)\М *100%

Проект нормативов ПДВ. Этапы разработки – один из видов экол.документпции, котор устанавливает допустимый уровень воздействия предприятия на АВ. На основе ПДВ предприятие обеспечивает контроль за соблюдением уст.нормативов – те проводит эк контроль в обл охраны атмосферы

Основывается на –первичной учетной документации, инвентаризации ист выброса

Порядок разработки и согласования проекта ПДВ:

- инвентаризация источников выбросов загрязняющих веществ;
- расчеты выбросов загрязняющих веществ;
- расчеты рассеивания загрязняющих веществ на территории;
- составление проекта;
- согласование проекта ПДВ в Роспотребнадзоре;
- согласование проекта ПДВ в Росприроднадзоре;
- получение Разрешение на выбросы.

 

Структура: Титульный лист; Список исполнителей Аннотация, Введение,

Общие сведения о предприятии, Характеристика предприятия как источника загрязнения атмосферы(Технология пр-ва и оборудование, технологического и пылегазоочистногооборудования,перечень ЗВ, и их кол-во, хар-ка аварийных выбросов, параметры выбросов. СЗЗ) проведение расчетов и определение нормативов ПДВ(метрологические расчеты, расчет уровня загрязнения), мероприятия по достижению ПДВ при неблагоприятн. усл, контроль за соблюдением нормативов, Приложения (карта схема,технологическая схема, расчет выбросов ЗВ)

 







Date: 2015-06-11; view: 739; Нарушение авторских прав



mydocx.ru - 2015-2026 year. (1.794 sec.) Все материалы представленные на сайте исключительно с целью ознакомления читателями и не преследуют коммерческих целей или нарушение авторских прав - Пожаловаться на публикацию