Главная Случайная страница


Полезное:

Как сделать разговор полезным и приятным Как сделать объемную звезду своими руками Как сделать то, что делать не хочется? Как сделать погремушку Как сделать так чтобы женщины сами знакомились с вами Как сделать идею коммерческой Как сделать хорошую растяжку ног? Как сделать наш разум здоровым? Как сделать, чтобы люди обманывали меньше Вопрос 4. Как сделать так, чтобы вас уважали и ценили? Как сделать лучше себе и другим людям Как сделать свидание интересным?


Категории:

АрхитектураАстрономияБиологияГеографияГеологияИнформатикаИскусствоИсторияКулинарияКультураМаркетингМатематикаМедицинаМенеджментОхрана трудаПравоПроизводствоПсихологияРелигияСоциологияСпортТехникаФизикаФилософияХимияЭкологияЭкономикаЭлектроника






Катионитовые фильтры





В качестве первой ступени ионообменной установки принимаем Н-катионитовые фильтры, загруженные сильным кислотным коагулянтом

КУ-1.

Объем катионитовых фильтров:

 

Vк= (1)

 

Vк= 2

 

где: Кс.н. – коэффициент для учета расхода воды на собственные нужды

установки.

Qпол – полезный расход обезвреженной сточной воды, м3/сут.

nфц – число фильтроциклов в сутки.

 

Рабочая обменная способность катионита:

 

Ераб.к.эр·Кобм·Епол.к-0,5·qΣ[К] (2)

 

Ераб.к.=0,91·0,9·1700-0,5·4·17,75=1356,8 г-экв/м3

 

где: Кэр – коэффициент эффективности регенерации, при удельных расходах

кислоты в г/г-экв поглощенных катионитов (Кэр=0,91).

Кобм – коэффициент для учета снижения обменной способности

катионита (Кобм=0,8-0,9).

Епол.к. – полная обменная способность катионита, равная для КУ-2.

q – удельный расход осветленной воды на отмывку 1м3 Н-катионита

(q=4-6 м3).

 

 

Общая площадь катионитовых фильтров:

 

Fк= (3)

 

Fк= 2

 

где: Нк– высота загрузки, принимаем 2м.

 

Площадь одного фильтра, м2

 

м2

 

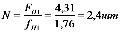
Количество фильтров

 

 

Принимаем три рабочих и один резервный катионитовых фильтра диаметром Dк=2,6 м, тогда общая площадь рабочих фильтров составит 15,93 м2.

 

Скорость фильтрования воды через катионитовые фильтры:

 

Vк= (7)

 

Vк=

 

Скорость фильтрации воды для напорных фильтров не должна превышать 10 м/ч согласно СНиП 2.04.03.85 при общем солесодержании 15-20 мг-экв/гр.

 







Date: 2015-07-17; view: 473; Нарушение авторских прав



mydocx.ru - 2015-2026 year. (3.991 sec.) Все материалы представленные на сайте исключительно с целью ознакомления читателями и не преследуют коммерческих целей или нарушение авторских прав - Пожаловаться на публикацию