Главная Случайная страница


Полезное:

Как сделать разговор полезным и приятным Как сделать объемную звезду своими руками Как сделать то, что делать не хочется? Как сделать погремушку Как сделать так чтобы женщины сами знакомились с вами Как сделать идею коммерческой Как сделать хорошую растяжку ног? Как сделать наш разум здоровым? Как сделать, чтобы люди обманывали меньше Вопрос 4. Как сделать так, чтобы вас уважали и ценили? Как сделать лучше себе и другим людям Как сделать свидание интересным?


Категории:

АрхитектураАстрономияБиологияГеографияГеологияИнформатикаИскусствоИсторияКулинарияКультураМаркетингМатематикаМедицинаМенеджментОхрана трудаПравоПроизводствоПсихологияРелигияСоциологияСпортТехникаФизикаФилософияХимияЭкологияЭкономикаЭлектроника






Модель Шумана





Модель Шуманаоснована на следующих допущениях:

· общее число команд в программе на машинном языке постоянно;

· в начале компоновочных испытаний число ошибок равно некоторой постоянной величине, и по мере исправления ошибок их становится меньше. В ходе испытаний программы новые ошибки не вносятся;

· ошибки изначально различимы, по суммарному числу исправленных ошибок можно судить об оставшихся;

· интенсивность отказов программы пропорциональна числу остаточных ошибок.

Предполагается, что до начала тестирования (т.е. в момент t=0) имеется M ошибок. В течение времени тестирования τ обнаруживается ε1(t) ошибок в расчете на одну команду в машинном языке.

Тогда удельное число ошибок на одну машинную команду, оставшихся в системе после времени тестирования τ, равно:

(20)

где I - общее число машинных команд, которое предполагается постоянным в рамках этапа тестирования.

Предполагается, что значение функции количества ошибок Z(t) пропорционально числу ошибок, оставшихся в программе после израсходованного на тестирование времени τ.

Z (t) = C * ε2 (τ), (21)

где С - некоторая постоянная, t - время работы программы без отказов.

Тогда, если время работы программы без отказа t отсчитывается от точки t = 0, а τ остается фиксированным, функция надежности, или вероятность безотказной работы на интервале от 0 до t, равна

(22)

(23)

Нам необходимо найти начальное значение ошибок M и коэффициент пропорциональности С. Эти неизвестные оцениваются путем пропуска функционального теста в двух точках переменной оси отладки ta и tв, выбранных так, что ε1(ta)<ε1(td).

В процессе тестирования собирается информация о времени и количестве ошибок на каждом прогоне, т.е. общее время тестирования τ складывается из времени каждого прогона:

τ = τ1 + τ2 + τ3 + … + τn.

Предполагая, что интенсивность появления ошибок постоянна и равна λ, можно вычислить ее как число ошибок в единицу времени,

(24)

где Ai - количество ошибок на i - ом прогоне.

Тогда . (25)

Имея данные для двух различных моментов тестирования ta и tв, можно сопоставить уравнения (23) при τa и τb:

(26)

(27)

Из соотношений (26) и (27) найдем неизвестные параметры С и М:

(28)

(29)

Получив неизвестные M* и C*, можно рассчитать надежность программы по формуле (22).

Пример 6.

Программа содержит 2 000 командных строк, из них, до начала эксплуатации (после периода отладки), 15 командных строк содержат ошибки. После 20 дней работы обнаружена 1 ошибка. Найти среднее время безошибочной работы программы и интенсивность отказов программы при коэффициенте пропорциональности, равном 0,7.

I=2000  
M=15  
t=20  
=1  
C=0,7  
   

 

e1=1/2000=0,0005;

e2=(15/2000)-0,0005=0,007;

P(t)=exp(-0,7*(15/2000-0,0005)*20))=0,90661 - функция надежност;

tср=1/0,7*(15/2000-0,0005)=204,0816;

=0,0049 – интенсивность появления ошибок.

Пример 7.

На условиях примера 3 определить вероятность безошибочной работы программы в течение 90 суток.

P(t)=exp(-0,7*(15/2000-0,0005)*90))=0,643393.

2.5. Марковские и пуассоновские модели надежности

Марковский процесс характеризуется дискретным временем и конечным множеством состояний. Временной параметр пробегает неотрицательные числовые значения, а процесс (цепочка) определяется набором вероятностей перехода , т.е. вероятностью перейти на -шаге из состояния в состояние . Процесс называется однородным, если он не зависит от . В моделях, базирующихся на процессе Маркова, предполагается, что количество дефектов, обнаруженных в ПС, в любой момент времени зависит от поведения системы и представляется в виде стационарной цепи Маркова. При этом количество дефектов конечное, но является неизвестной величиной, которая задается для модели в виде константы. Интенсивность отказов в ПС или скорость прохода по цепи зависит лишь от количества дефектов, которые остались в ПС. К этой группе моделей относятся: Джелински- Моранды, Шика-Вулвертона, Шантикумера и др.

Ниже рассматриваются некоторые модели надежности, которые обеспечивают рост надежности ПО, находят широкое применение на этапе тестирования и описывают процесс обнаружения отказов при следующих предположениях:

  • все ошибки в ПС не зависят друг от друга с точки зрения локализации отказов;
  • интенсивность отказов пропорциональна текущему числу ошибок в ПС (убывает при тестировании программного обеспечения);
  • вероятность локализации отказов остается постоянной;
  • локализованные ошибки устраняются до того, как тестирование будет продолжено;
  • при устранении ошибок новые ошибки не вносятся.

Приведем основные обозначения величин при описании моделей роста надежности:


  • - число обнаруженных отказов ПО за время тестирования;
  • - интервалы времени между отказами и , при ;
  • - моменты времени отказов (длительность тестирования до -отказа), при ;
  • - продолжительность тестирования ПО (время, для которого определяется надежность);
  • - оценка числа ошибок в ПО в начале тестирования;
  • - оценка числа прогнозированных ошибок;
  • - оценка среднего времени до следующего отказа;
  • - оценка среднего времени до завершения тестирования;
  • - оценка дисперсии;
  • - функция надежности ПО;
  • - функция риска в момент времени между и -отказами;
  • - коэффициент пропорциональности;
  • - частота обнаружения ошибок.

Далее рассматриваются несколько моделей роста надежности, основанные на этих предположениях и использовании результатов тестирования программ в части отказов, времени между ними и др.

Модель Джелинского-Моранды.

В этой модели используются исходные данные, приведенные выше, а также:

- число обнаруженных отказов за время тестирования;

- интервалы времени между отказами;

- продолжительность тестирования.

Функция риска в момент времени расположена между и имеет вид:

(30)

где ;

Эта функция считается ступенчатой кусочнопостоянной функцией с постоянным коэффициентом пропорциональности и величиной ступени - . Оценка параметров и производится с помощью системы уравнений:

(31)

При этом суммарное время тестирования вычисляется так:

Выходные показатели для оценки надежности относительно указанного времени включают:

  • число оставшихся ошибок ;
  • среднее время до текущего отказа ;
  • среднее время до завершения тестирования и его дисперсию

Функция надежности вычисляется по формуле:

(32)

при и числе ошибок, найденных и исправленных на каждом интервале тестирования, равным единице.

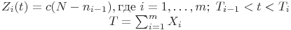
Модель Шика-Вулвертона.

Модель используется тогда, когда интенсивность отказов пропорциональна не только текущему числу ошибок, но и времени, прошедшему с момента последнего отказа. Исходные данные для этой модели аналогичны выше рассмотренной модели Джелински-Моранды:

  • - число обнаруженных отказов за время тестирования,
  • - интервалы времени между отказами,
  • - продолжительность тестирования.

Функции риска в момент времени между и отказами определяются следующим образом:

(33)

Эта функция является линейной внутри каждого интервала времени между отказами, возрастает с меньшим углом наклона. Оценка c и N вычисляется из системы уравнений:

К выходным показателям надежности относительно продолжительности относятся:

  • число оставшихся ошибок ;
  • среднее время до следующего отказа MTт = (р / (2 (N - m) c))1/2;
  • среднее время до завершения тестирования и его дисперсия

(34)

Функция надежности вычисляется по формуле:

(35)

Модели пуассоновского типа базируются на выявлении отказов и моделируются неоднородным процессом, который задает - неоднородный пуассоновский процесс с функцией интенсивности , что соответствует общему количеству отказов ПС за время его использования .


Модель Гоело-Окумото.

В основе этой модели лежит описание процесса обнаружения ошибок с помощью неоднородного пуассоновского процесса, ее можно рассматривать как модель экспоненциального роста. В этой модели интенсивность отказов также зависит от времени. Кроме того, в ней количество выявленных ошибок трактуется как случайная величина, значение которой зависит от теста и других условных факторов.

Исходные данные этой модели:

  • - число обнаруженных отказов за время тестирования;
  • - интервалы времени между отказами;
  • - продолжительность тестирования.

Функция среднего числа отказов, обнаруженных к моменту , имеет вид

(36)

где - интенсивность обнаружения отказов и показатель роста надежности .

Функция интенсивности в зависимости от времени работы до отказа равна

(37)

Оценка и получаются из решения уравнений:

(38)

Выходные показатели надежности относительно времени определяют:

1. среднее число ошибок, которые были обнаружены в интервале , по формуле ,

2. функцию надежности

()

В этой модели обнаружение ошибки трактуется как случайная величина, значение которой зависит от теста и операционной среды.

В других моделях количество обнаруженных ошибок рассматривается как константа. В моделях роста надежности исходной информацией для расчета надежности являются интервалы времени между отказами тестируемой программы, число отказов и время, для которого определяется надежность программы при отказе. На основании этой информации по моделям определяются показатели надежности вида:

  • вероятность безотказной работы;
  • среднее время до следующего отказа;
  • число необнаруженных отказов (ошибок);
  • среднее время дополнительного тестирования программы.

Модель анализа результатов прогона тестов использует в своих расчетах общее число экспериментов тестирования и число отказов. Эта модель определяет только вероятность безотказной работы программы и выбрана для случаев, когда предыдущие модели нельзя использовать (мало данных, некорректность вычислений). Формула определения вероятности безотказной работы по числу проведенных экспериментов имеет вид

где - число ошибочных экспериментов, - число проведенных экспериментов для проверки работы ПС.

Таким образом, можно сделать вывод о том, что модели надежности ПС основаны на времени функционирования и/или количестве отказов (ошибок), полученных в программах в процессе их тестирования или эксплуатации. Модели надежности учитывают случайный марковский и пуассоновский характер соответственно процессов обнаружения ошибок в программах, а также характер и интенсивность отказов.

 

 

Заключение

В результате проделанной работы можно сделать вывод, что:

1. качество программного обеспечения – это совокупность характеристик ПО, относящихся к его способности удовлетворять установленные и предполагаемые потребности;


2. существует большое количество метрик и моделей для определения качества программного обеспечения. Каждая имеет свои уникальные характеристики и определенное назначение;

3. тщательно проведенный метрический анализ качества в соответствии с целями разработки создает основу для корректного планирования и контроля затрат на качество для достижения требуемых показателей и эффективности использования ресурсов.

Для того чтобы поддерживать конкурентоспособность своей организации разработчики ПО должны применять все более эффективные, рентабельные методы, технологии, инструментальные средства, способствующие постоянному повышению качества и более совершенному удовлетворению потребителей ПО.

 

Литература

 

1. http://met-rix.narod.ru/page1.htm (17.10.2011, 19:45);

2. http://www.pmprofy.ru/content/rus/67/675-article.asp (21.10.2011, 20:15);

3. http://www.intuit.ru/department/se/swebok/10/3.html (10.11.2011, 21:05);

4. http://www.internet-law.ru/gosts/gost/18984/ (15.11. 2011, 18:10);

5. http://turboreferat.ru/information/modeli-nadezhnosti-programmnogo-obespecheniya/14510-78630-page2.html (15.11.2011, 18:15);

6. http://www.viva64.com/ru/a/0045/ (13.12.2011, 22:30);

7. http://www.cmcons.com/articles/CC_CQ/dev_metrics/mertics_part_1/ (12.12.2011, 21:30);

8. http://www.ibm.com/developerworks/ru/edu/0108novich/section2.html (12.12.2011, 21:45);

9. http://gdznet.com/userhelps/metriki-koda-i-ix-prakticheskaya-realizaciya-v- subversion-i-clearcase-chast-1-metriki.html (13.12.2011, 22:00);

10. http://ru.wikipedia.org/wiki/ (22.11.2011, 20:20);

11. http://abc.vvsu.ru/Books/ebooks_iskt/ (10.12.2011, 15:20).

 







Date: 2015-07-17; view: 10193; Нарушение авторских прав



mydocx.ru - 2015-2026 year. (0.778 sec.) Все материалы представленные на сайте исключительно с целью ознакомления читателями и не преследуют коммерческих целей или нарушение авторских прав - Пожаловаться на публикацию