Главная Случайная страница


Полезное:

Как сделать разговор полезным и приятным Как сделать объемную звезду своими руками Как сделать то, что делать не хочется? Как сделать погремушку Как сделать так чтобы женщины сами знакомились с вами Как сделать идею коммерческой Как сделать хорошую растяжку ног? Как сделать наш разум здоровым? Как сделать, чтобы люди обманывали меньше Вопрос 4. Как сделать так, чтобы вас уважали и ценили? Как сделать лучше себе и другим людям Как сделать свидание интересным?


Категории:

АрхитектураАстрономияБиологияГеографияГеологияИнформатикаИскусствоИсторияКулинарияКультураМаркетингМатематикаМедицинаМенеджментОхрана трудаПравоПроизводствоПсихологияРелигияСоциологияСпортТехникаФизикаФилософияХимияЭкологияЭкономикаЭлектроника






Разыгрывание непрерывной случайной величины





При решении различных задач надежности методом статистического моделирования приходится моделировать различные случайные величины. В математическом обеспечении современных ЭВМ имеются специальные программы генерирования случайных чисел с различными законами распределения. Наиболее употребительны равномерно распределенные на отрезке случайные числа . Для их получения в алгоритмических языках есть специальные функции. Все машинные датчики дают псевдослучайные числа, т. к. вследствие конечности разрядной сетки наблюдается их повторение.

Числа, получаемые по какой либо формуле и имитирующие значения случайной величины , называются псевдослучайными.

Достоинства метода псевдослучайных чисел очевидны. Во-первых, на получение каждого числа затрачивается всего несколько простых операций, так что скорость генерирования случайных чисел имеет тот же порядок, что и скорость работы ЭВМ. Во-вторых, программа генерирования обычно очень проста. В-третьих, любое из случайных чисел может быть легко воспроизведено. В-четвертых, нужно лишь один раз проверить «качество» такой последовательности, затем ее можно много раз использовать при расчете сходных задач.

Единственный недостаток метода – ограниченность «запаса» псевдослучайных чисел. Однако существуют способы, позволяющие получать гораздо больше чисел, меняя начальное число. Подавляющее большинство расчетов по методу Монте-Карло в настоящее время осуществляется с использованием псевдослучайных чисел.

По числам , равномерно распределенным на , получают числа, распределенные по любому другому закону с функцией распределения .

Процесс нахождения значения какой-либо случайной величины путем преобразования одного или нескольких значений называется разыгрыванием случайных величин .

Предположим, что случайная величина непрерывна, а ее функция распределения вероятностей монотонно возрастает. Тогда искомое распределение имеют числа , где – равномерно распределенные случайные числа на промежутке . Указанный метод получения (разыгрывания) случайных чисел носит название метода обратных функций. Он имеет простой геометрический смысл, представленный на Рис. 1.1. Указанный метод можно применять только в том случае, если существует обратная функция.

Рис. 1.1. Получение случайных чисел методом обратных функций

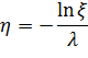
Рассмотрим метод для получения случайных чисел, имеющих показательное распределение. Для показательного распределения при , а обратная функция имеет вид . Поэтому – случайное число, распределенное по показательному закону. Заметим, что вместо можно писать просто .

Нормально распределенные случайные числа нельзя получить методом обратных функций, т. к. для этого необходимо решать уравнение с неизвестными, являющимся верхним пределом интеграла. Здесь мы рассмотрим другой способ получения случайных чисел, имеющих нормальное распределение параметрами и .

Сначала получим случайные числа, имеющие нормальное распределение с параметрами 0 и 1. Эти числа находят парами. Пусть и – два случайных числа, имеющие нормальное распределение с параметрами 0 и 1, полученные по паре случайных чисел и , равномерно распределенных на отрезке . Построим вектор , как показано на Рис. 1.2.

Угол имеет равномерное распределение на промежутке , т. е. . Квадрат длины вектора имеет показательное распределение с параметром . Действительно,

 

Рис. 1.2. К получению нормально распределенных случайных чисел

Поэтому . Отсюда . В результате получим пару чисел, имеющих нормальное распределение с параметрами 0 и 1:

 

Теперь легко получить нормально распределенные случайные числа с параметрами и . Они вычисляются по формулам:

 

Формулы для разыгрывания рассмотренных и некоторых других случайных величин непрерывного типа помещены в Табл. 1.1.

Табл. 1.1. Формулы разыгрывания непрерывных распределений

Распределение Формулы для разыгрывания
Равномерное
Экспоненциальное
Эрланга
Нормальное
Логнормальное
Вейбулла

 

Величины и представляют собой равномерно распределенные случайные числа из промежутка .







Date: 2015-07-17; view: 948; Нарушение авторских прав



mydocx.ru - 2015-2026 year. (0.973 sec.) Все материалы представленные на сайте исключительно с целью ознакомления читателями и не преследуют коммерческих целей или нарушение авторских прав - Пожаловаться на публикацию