Главная Случайная страница


Полезное:

Как сделать разговор полезным и приятным Как сделать объемную звезду своими руками Как сделать то, что делать не хочется? Как сделать погремушку Как сделать так чтобы женщины сами знакомились с вами Как сделать идею коммерческой Как сделать хорошую растяжку ног? Как сделать наш разум здоровым? Как сделать, чтобы люди обманывали меньше Вопрос 4. Как сделать так, чтобы вас уважали и ценили? Как сделать лучше себе и другим людям Как сделать свидание интересным?


Категории:

АрхитектураАстрономияБиологияГеографияГеологияИнформатикаИскусствоИсторияКулинарияКультураМаркетингМатематикаМедицинаМенеджментОхрана трудаПравоПроизводствоПсихологияРелигияСоциологияСпортТехникаФизикаФилософияХимияЭкологияЭкономикаЭлектроника






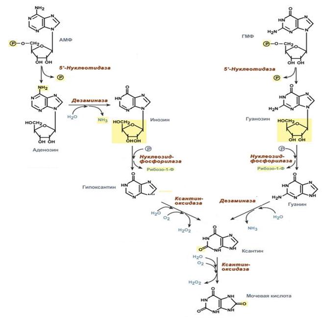
При понижении рН мочи ниже 5,75 ураты переходят в менее растворимую форму (кетоформу) и кристаллизуются в почечных канальцах





 

ОБМЕН ПИРИМИДИНОВ

КАТАБОЛИЗМ ПИРИМИДИНОВ

1. Фермент 5'-нуклеотидаза отщепляет 5'-фосфатную группу от ЦМФ, УМФ и ТМФ:

 

 

2. Дезаминаза проводит окислительное дезаминирование цитидина:

 

 

3. Нуклеозид-фосфорилаза удаляет рибозу от уридина и тимидина:

 

4. Дигидроурацил-дегидрогеназа – восстановление урацила и тимина:

 

5. Дигидропиримидиназа осуществляет гидролитическое расщепление пиримидинового кольца:

 

6. Далее происходит гидролитическое отщепление аммиака и углекислого газа:

7. После окончательного разрушения пиримидинового кольца образовавшиеся β-аминокислоты направляются в реакции трансаминирования, после чего соответствующие кетокислоты изомеризуются и далее «сгорают» в ЦТК:







Date: 2015-05-23; view: 855; Нарушение авторских прав



mydocx.ru - 2015-2026 year. (3.272 sec.) Все материалы представленные на сайте исключительно с целью ознакомления читателями и не преследуют коммерческих целей или нарушение авторских прав - Пожаловаться на публикацию