Главная Случайная страница


Полезное:

Как сделать разговор полезным и приятным Как сделать объемную звезду своими руками Как сделать то, что делать не хочется? Как сделать погремушку Как сделать так чтобы женщины сами знакомились с вами Как сделать идею коммерческой Как сделать хорошую растяжку ног? Как сделать наш разум здоровым? Как сделать, чтобы люди обманывали меньше Вопрос 4. Как сделать так, чтобы вас уважали и ценили? Как сделать лучше себе и другим людям Как сделать свидание интересным?


Категории:

АрхитектураАстрономияБиологияГеографияГеологияИнформатикаИскусствоИсторияКулинарияКультураМаркетингМатематикаМедицинаМенеджментОхрана трудаПравоПроизводствоПсихологияРелигияСоциологияСпортТехникаФизикаФилософияХимияЭкологияЭкономикаЭлектроника






Биологическая роль нуклеотидов





1. Структурная: Из мононуклеотидов построены НК-ты, некоторые коФ-ты и простетич-е группы.

2. Энергетическая: Мононуклеотиды удерживают макроэргические связи – являются аккумуляторами энергии. АТФ – универсальный аккумулятор энергии; УТФ исп-ся для синтеза гликогена; ЦТФ – липидов, ГТФ – в трансляции.

3. Регуляторная: Мононуклеотиды – аллостерические эффекторы многих ключевых Ф-тов, цАМФ и цГМФ – вт. посредники в передаче гормонального (аденилатциклазная система).

 

Переваривание пищевых нуклеопротеидов

КАТАБОЛИЗМ НУКЛЕИНОВЫХ КИСЛОТ

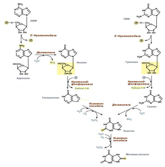
КАТАБОЛИЗМ ПУРИНОВ

1. Дефосфорилирование АМФ и ГМФ (фермент 5'-нуклеотидаза)

 

 

2. Окисление С6 в аденозине с одновременным его дезаминированием – фермент дезаминаза. Образуется инозин:

3. Удаление рибозы от инозина (с обр-м гипоксантина) и гуанозина (с обр-м гуанина) с ее одновременным фосфорилированием – фермент нуклеозидфосфорилаза

4. Окисление С2 пуринового кольца: гипоксантин окисляется до ксантина (ф-нт ксантиноксидаза), гуанин дезаминируется до ксантина – фермент дезаминаза:

5. Окисление С8 в ксантине с образованием мочевой кислоты – фермент ксантиноксидаза:

 

Функции мочевой кислоты (0,12-0,30 ммоль/л)

1. Стимулятор ЦНС - ингибирует ФДЭ цАМФ (вт/посредник Адреналина, т.о. МК пролонгирует действие этих катехоламинов на ЦНС).







Date: 2015-05-23; view: 1551; Нарушение авторских прав



mydocx.ru - 2015-2026 year. (1.909 sec.) Все материалы представленные на сайте исключительно с целью ознакомления читателями и не преследуют коммерческих целей или нарушение авторских прав - Пожаловаться на публикацию