Главная Случайная страница


Полезное:

Как сделать разговор полезным и приятным Как сделать объемную звезду своими руками Как сделать то, что делать не хочется? Как сделать погремушку Как сделать так чтобы женщины сами знакомились с вами Как сделать идею коммерческой Как сделать хорошую растяжку ног? Как сделать наш разум здоровым? Как сделать, чтобы люди обманывали меньше Вопрос 4. Как сделать так, чтобы вас уважали и ценили? Как сделать лучше себе и другим людям Как сделать свидание интересным?


Категории:

АрхитектураАстрономияБиологияГеографияГеологияИнформатикаИскусствоИсторияКулинарияКультураМаркетингМатематикаМедицинаМенеджментОхрана трудаПравоПроизводствоПсихологияРелигияСоциологияСпортТехникаФизикаФилософияХимияЭкологияЭкономикаЭлектроника






Практические занятия. Практическое занятие 1: анализ предприятия как системы





Практическое занятие 1: Анализ предприятия как системы

Задание:

1. Опишите любое предприятие и отдельную производственную линию данного предприятия, как технологическую систему, состоящую из элементов.

2. Дайте характеристику каждого элемента - подсистемы и взаимодействие между ними(изобразить схематично данную систему).

3. Дайте характеристику входу и выходу системы

4. Выявите внешние и внутренние факторы влияющие на устойчивость каждой из подсистем.

5. Ответьте на следующие вопросы:

а. какие меры нужно предпринять чтобы убрать негативные факторы, влияющие на вход и выход системы?

б. что может повлиять на повышенный расход ресурсов в системе?

в. какие меры нужно предложить для того чтобы расход ресурсов укладывался в нормативы?

г. какие инновационные решения могут повлиять на улучшение качества выпускаемой продукции и снижение материальных затрат?

Практическое занятие 2: Системный подход к анализу продукции, производственных процессов

Задание:

1.Опишите любую продукцию с позиции ее системных характеристик

2.Опишите систему процессов производства данной продукции

3.Предложите улучшение на каждом этапе производственного процесса

Практическое занятие 3: Решение инженерно-экономических задач в условиях неопределенности

Задание 1.Ваша фирма собирается приобрести ценный электронный прибор. Прибор может оказаться выпущенным одним из трех заводов, причем заранее неизвестно, каким именно. Обычно в продажу поступает 60% приборов с завода А, 30% – с завода С, 10% – с завода В. Соответственно вероятность того, что прибор проработает весь гарантийный срок без поломки, для различных заводов составляет: для завода А – 0,9, для завода С – 0,6, для завода В – 0,8. Какова вероятность того, что купленный фирмой прибор проработает весь гарантийный срок без поломки?

Задание 2. Ваша фирма страхует автомобили граждан от угона. По статистике, вероятность угона автомобиля за год составляет 0,05%. Какова должна быть сумма годового страхового взноса, чтобы годовой доход фирмы от страхования составил 100 тыс. руб.? В год вы страхуете в среднем 100 автомобилей.

Задание 3. Директор торговой фирмы, продающей телевизоры решил открыть представительство в областном центре. У него имеются альтернативы либо создавать собственный магазин в отдельном помещении, либо организовывать сотрудничество с местными торговыми центрами. Всего можно выделить5 альтернатив решения: A1, A2, A3, A4, A5. Успех торговой фирмы зависит от того, как сложится ситуация на рынке предоставляемых услуг. Эксперты выделяют 4 возможных варианта развития ситуации S 1,S2,S3,S 4.

Прибыль фирмы для каждой альтернативы при каждой ситуации представлена матрицей выигрышей aij (млн. р./год).

Таблица 1

 

Рассмотрим основные критерии, позволяющие выбирать оптимальную альтернативу для принятия решения.

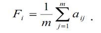
1) Критерий Лапласа. Он основан на предположении, что каждый вариант развития ситуации (состояния «природы») равновероятен. Поэтому, для принятия решения, необходимо рассчитать функцию полезности Fi для каждой альтернативы, равную среднеарифметическому показателей привлекательности по каждому «состоянию природы»:

Выбирается та альтернатива, для которой функция полезности максимальна.

2) Критерий Вальда. Данный критерий основывается на принципе максимального пессимизма, то есть на предположении, что скорее всего произойдет наиболее худший вариант развития ситуации и риск наихудшего варианта нужно свести к минимуму. Для применения критерия нужно для каждой альтернативы выбрать наихудший показатель привлекательности ai (наименьшее число в каждой строке матрицы

выигрышей) и выбрать ту альтернативу, для которой этот показатель

максимальный.

3) Критерий максимального оптимизма.Наиболее простой критерий, основывающийся на идее, что ЛПР, имея возможность в некоторой степени управлять ситуацией, рассчитывает, что произойдет такое развитие ситуации, которое для него является наиболее выгодным. В соответствии с критерием принимается альтернатива, соответствующая максимальному элементу матрицы выигрышей.

Задание 4. Строительная фирма International Building Ltd. рассматривает четыре альтернативных метода строительства объекта (A1, A2, A3, A4), применение которых в различных погодных условиях должно привести к следующим издержкам:

Таблица 2.







Date: 2015-05-23; view: 1521; Нарушение авторских прав



mydocx.ru - 2015-2026 year. (0.698 sec.) Все материалы представленные на сайте исключительно с целью ознакомления читателями и не преследуют коммерческих целей или нарушение авторских прав - Пожаловаться на публикацию