Главная Случайная страница


Полезное:

Как сделать разговор полезным и приятным Как сделать объемную звезду своими руками Как сделать то, что делать не хочется? Как сделать погремушку Как сделать так чтобы женщины сами знакомились с вами Как сделать идею коммерческой Как сделать хорошую растяжку ног? Как сделать наш разум здоровым? Как сделать, чтобы люди обманывали меньше Вопрос 4. Как сделать так, чтобы вас уважали и ценили? Как сделать лучше себе и другим людям Как сделать свидание интересным?


Категории:

АрхитектураАстрономияБиологияГеографияГеологияИнформатикаИскусствоИсторияКулинарияКультураМаркетингМатематикаМедицинаМенеджментОхрана трудаПравоПроизводствоПсихологияРелигияСоциологияСпортТехникаФизикаФилософияХимияЭкологияЭкономикаЭлектроника






Обмен стероидов





Холестерол — основной стероид организма животных. У взрослого человека содержание холестерола составляет 140–150 г. Около 93% стероида входит в состав мембран и 7% находится в жидкостях организма. Холестерол увеличивает микровязкость мембран и снижает их проницаемость для Н 2 О и водорастворимых веществ. В крови он представлен в виде свободного холестерола, входящего в оболочку липопротеинов, и его эфиров, которые вместе с ТАГ составляют внутреннее содержимое этих частиц.

Холестериновое равновесие поддерживается благодаря тому, что с одной стороны холестерол поступает с пищей (~ 0,3 — 0,5 г ⁄ с) и синтезируется в печени или других тканях (~ 0,5 г ⁄с), а с другой — выводится с калом в виде желчных кислот, холестерола желчи, продуктов катаболизма стероидных гормонов, с кожным салом, в составе мембран слущенного эпителия (~ 1,0 г ⁄с).

Холестерол является предшественником всех стероидов животного организма:

• желчных кислот, содержание которых у взрослого человека составляет около 5 г;

• стероидных гормонов: кортикостероидов, образующихся в корковом слое надпочечников, андрогенов — в семенниках и эстрагенов — в яичниках, синтез общего количества которых не превышает 40 мг ⁄с (с — сутки);

• витамина Д 3, синтезирующегося в коже под действием УФО в количестве 10 мг ⁄с.

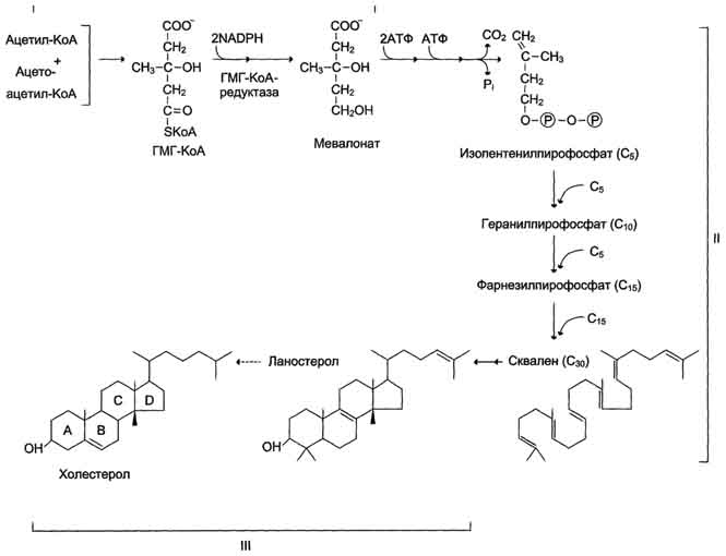
Ферменты синтеза холестерола имеются практически во всех клетках организма, но поскольку его концентрация в крови достаточно высока, а он способен репрессировать свой собственный синтез, то с заметной скоростью образование холестерола идет лишь в печени (~ 80%), слизистой кишечника (~ 10%), коре надпочечников, яичниках, семенниках и коже (~ 10%). В абсорбтивный период субстрат синтеза ацетил-КоА поступает из митохондрий в форме цитрата, когда в тканях образуется много АТФ, NADPH и ацетил-КоА в результате окисления глюкозы и жирных кислот. Первые стадии синтеза идут в цитозоле клеток, а более поздние на мембранах ЭПР.На первых стадиях процесса 18 молекул ацетил-КоА участвуют в синтезе 6 молекул ГМГ-КоА, в реакциях, сходных с реакциями синтеза кетоновых тел. Далее фермент ЭПРГМГ-КоА-редуктазавосстанавливает ГМГ-КоА вмевалоновую кислоту с затратой 2 молекул NADPH на каждый остаток ГМГ-КоА. Молекулы мевалоната фосфорилируются с помощью АТФ, декарбоксилируются и образуют 6 пятиуглеродных производных изопрена — изопентенилпирофосфаты. При последовательной конденсации этих соединений возникает симметричная линейная 30-углеродная молекула сквалена, которая через ряд стадий приобретает тетрациклическую структуруланостерола. Дальнейшие превращения ланостерола сопровождаются потерей трех метильных групп в виде СО 2 и образованием холестерола, содержащего 27 углеродных атомов, из которых 8 образуют углеводородную боковую цепь, два входят в метильные группы, а остальные 17 образуют циклопентанпергидрофенантреновую структуру.

Вопрос 35.Регуляция биосинтеза холестерина, транспорт холестерина кровью.

Ключевой регуляторный фермент — ГМГ-КоА-редуктаза, активность которого в печени регулируется трояким способом:

• на уровне транскрипции гена ГМГ-КоА-редуктазы. Корепрессорами процесса, снижающими скорость синтеза фермента, являются холестерол, желчные кислоты и кортикостероидные гормоны, а индукторами — инсулин и тиреоидные гормоны — Т3 и Т 4;

• путем фосфорилирования и дефосфорилирования, которое также регулируется гормонами. Дефосфорилирование стимулирует инсулин, который за счет активации протеинфосфатазы переводит фермент в дефосфорилированную активную форму, а глюкагон через аденилатциклазную систему обеспечивает механизм его фосфорилирования и инактивации;

• уменьшением количества фермента за счет протеолиза молекул, который стимулируют холестерол и желчные кислоты. Часть вновь синтезированного холестерола этерифицируется с образованием эфиров. Эту реакцию, как и в энтероцитах, катализирует АХАТ, присоединяя к холестеролу остатки линолевой или олеиновой кислот.

В транспорте холестерола и его эфиров по крови участвуют все липопротеины. Так, хиломикроны переносят холестерол из кишечника через кровь в печень в составе ХМост. В печени холестерол вместе с эндогенными жирами и фосфолипидами упаковывается в ЛПОНП и секретируется в кровь. В кровотоке ЛПОНП незрелые получают от ЛПВП мембранные белки АпоС II и АпоЕ и становятся зрелыми, т.е. способными взаимодействовать с ЛП-липазой, которая гидролизует ТАГ в составе ЛПОНП до ВЖК и глицерола. Частицы, теряя жиры, уменьшаются в размере, но возрастают по плотности и превращаются сначала в ЛППП, а затем в ЛПНП.







Date: 2015-05-22; view: 1755; Нарушение авторских прав



mydocx.ru - 2015-2026 year. (1.314 sec.) Все материалы представленные на сайте исключительно с целью ознакомления читателями и не преследуют коммерческих целей или нарушение авторских прав - Пожаловаться на публикацию