Главная Случайная страница


Полезное:

Как сделать разговор полезным и приятным Как сделать объемную звезду своими руками Как сделать то, что делать не хочется? Как сделать погремушку Как сделать так чтобы женщины сами знакомились с вами Как сделать идею коммерческой Как сделать хорошую растяжку ног? Как сделать наш разум здоровым? Как сделать, чтобы люди обманывали меньше Вопрос 4. Как сделать так, чтобы вас уважали и ценили? Как сделать лучше себе и другим людям Как сделать свидание интересным?


Категории:

АрхитектураАстрономияБиологияГеографияГеологияИнформатикаИскусствоИсторияКулинарияКультураМаркетингМатематикаМедицинаМенеджментОхрана трудаПравоПроизводствоПсихологияРелигияСоциологияСпортТехникаФизикаФилософияХимияЭкологияЭкономикаЭлектроника






Формулировка закона сохранения механической энергии





Полная механическая энергия, т.е. сумма потенциальной и кинетической энергии тела, остается постоянной, если действуют только силы упругости и тяготения и отсутствуют силы трения.

№35

№36

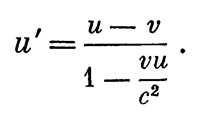
Допустим, что с нашим телом происходят два события, координаты которых в системе S суть x1,t1, и х2, t2. Координаты тех же событий в системе S` пусть будут х`1, t`1; x`2, t`2. Но скорость тела есть отнощение пройденного телом пути к соответствующему промежутку времени; поэтому, чтобы найти скорость тела в той и другой системах отсчета, нужно разность пространственных координат обоих событий разделить на разность временных координат которую можно, как всегда, получить из релятивистской, если скорость света считать бесконечной. Ту же формулу можно записать в виде

 

 

№37







Date: 2015-05-22; view: 658; Нарушение авторских прав



mydocx.ru - 2015-2026 year. (0.998 sec.) Все материалы представленные на сайте исключительно с целью ознакомления читателями и не преследуют коммерческих целей или нарушение авторских прав - Пожаловаться на публикацию