Главная Случайная страница


Полезное:

Как сделать разговор полезным и приятным Как сделать объемную звезду своими руками Как сделать то, что делать не хочется? Как сделать погремушку Как сделать так чтобы женщины сами знакомились с вами Как сделать идею коммерческой Как сделать хорошую растяжку ног? Как сделать наш разум здоровым? Как сделать, чтобы люди обманывали меньше Вопрос 4. Как сделать так, чтобы вас уважали и ценили? Как сделать лучше себе и другим людям Как сделать свидание интересным?


Категории:

АрхитектураАстрономияБиологияГеографияГеологияИнформатикаИскусствоИсторияКулинарияКультураМаркетингМатематикаМедицинаМенеджментОхрана трудаПравоПроизводствоПсихологияРелигияСоциологияСпортТехникаФизикаФилософияХимияЭкологияЭкономикаЭлектроника






Обмен нуклеопротеинов. Распад НК. Под влиянием ферментов желудка, частично соляной кислоты, нуклеопротеины пищи распадаются на полипептиды и НК





Распад НК. Под влиянием ферментов желудка, частично соляной кислоты, нуклеопротеины пищи распадаются на полипептиды и НК. Распад НК происходит в тонкой кишке гидролитическим путем под действием нуклеаз панкреатического сока. Они принадлежат к фосфодиэстеразам. Существуют эндонуклеазы и экзонуклеазы, рибонуклеазы и дезоксирибонуклеазы. Продуктами гидролиза являются мононуклеотиды и олигонуклеотиды. Нуклеазы расщепляют молекулы НК и в тканях.

Распад нуклеозидфосфатов. Первая ступень - отщепление остатка фосфорной кислоты. На второй ступени происходит перенос остаткарибозы от нуклеозида на фосфорную кислоту. Эта реакция ускоряется рибозилтрансферазами.

Ф-У-А ® Ф + У-А; У-А + Ф ® У-Ф + А

Распад пуриновых оснований начинается с дезаминирования тех из них, которые обладают аминогруппами. Участвуют специфические аминогидролазы.

аденин ® гипоксантин; гуанин ® ксантин

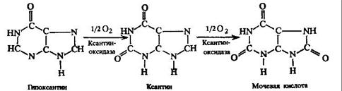
Гипоксантин и ксантин окисляются в мочевую кислоту, фермент – ксантиноксидаза.

Образование мочевой кислоты происходит главным образом в печени. Это основной продукт катаболизма пуриновых нуклеотидов у человека. В организме ее в сутки образуется 0,5-1 г, выводится она через почки. Хроническое повышение концентрации мочевой кислоты (гиперурикемия) часто приводит к развитию подагры. Подагрический криз связан с отложением кристаллов урата натрия в суставе. Гиперурикемия обычно имеет наследственный характер.

Распад пиримидиновых оснований также начинается с дезаминирования. Дезаминированные пиримидиновые основания подвергаются восстановлению. Карбаминовая кислота и b-аланин - конечные продукты распада У и Ц. Из Т вместо b-аланина образуется b-аминоизомасляная кислота.








Date: 2015-05-22; view: 816; Нарушение авторских прав



mydocx.ru - 2015-2026 year. (0.759 sec.) Все материалы представленные на сайте исключительно с целью ознакомления читателями и не преследуют коммерческих целей или нарушение авторских прав - Пожаловаться на публикацию