Главная Случайная страница


Полезное:

Как сделать разговор полезным и приятным Как сделать объемную звезду своими руками Как сделать то, что делать не хочется? Как сделать погремушку Как сделать так чтобы женщины сами знакомились с вами Как сделать идею коммерческой Как сделать хорошую растяжку ног? Как сделать наш разум здоровым? Как сделать, чтобы люди обманывали меньше Вопрос 4. Как сделать так, чтобы вас уважали и ценили? Как сделать лучше себе и другим людям Как сделать свидание интересным?


Категории:

АрхитектураАстрономияБиологияГеографияГеологияИнформатикаИскусствоИсторияКулинарияКультураМаркетингМатематикаМедицинаМенеджментОхрана трудаПравоПроизводствоПсихологияРелигияСоциологияСпортТехникаФизикаФилософияХимияЭкологияЭкономикаЭлектроника






Формальный аппарат





Вообразим теперь некоего внешнего наблюдателя, на глазах у которого разворачивается рефлексивная игра. Может ли он представить себе общую картину этого конфликта? Какими средствами он должен пользоваться, чтобы «схватить» рефлексивные рассуждения игроков? Очевидно, для этой цели требуется логический аппарат, специально предназначенный для отображения рефлексивного взаимодействия и обладающий необходимой общностью.

Покажем, что незначительное развитие только что рассмотренного способа изображения имитированных решений удовлетворяет этому требованию.

Итак, наш наблюдатель видит прежде всего двух игроков X и Y и реальный плацдарм с ударными силами игроков. На этом плацдарме протекает физическое взаимодействие игро-

­ Конец страницы 23 ­

¯ Начало страницы 24 ¯

ков — пусть это будет, например, передвижение фигур на шахматной доске.

Условимся игроков X и Y изображать в виде следующих символических сумм:

 

 

Рис. 1.

 

Практически бессмысленно отрывать игрока от реального плацдарма, наоборот, плацдарм П удобно представить в виде «тела» игрока, считая, что отражение тела происходит в его голове.

Обозначив П=Т,х, Цх, Дх, Рx)=Тx и у, Цу, Ду, Ру)=Ту, мы упростим символические суммы:

 

 

 

Условимся изображать конфликт в виде «двухголового человечка» (рис. 1). Этому человечку будет соответствовать следующая символическая сумма:

 

 

В головах нашего человечка отражается тело Т и результатами этого отражения являются Тх и Ту.

Теперь нетрудно сообразить, что если X имитирует рассуждения Y, то есть принимает решение по схеме , то ему необходимо иметь еще одну голову, в которой он мог бы отразить Ту. В этом случае вся ситуация будет выглядеть так, как изображено на рис. 2.

­ Конец страницы 24 ­

¯ Начало страницы 25 ¯

Повышение рангов рефлексии влечет за собой соответствующее «наращивание» голов.

Будем полагать, что в голове каждого ранга (этажа) могут отражаться головы только предшествующего ранга, но находящиеся на обеих ветвях, то есть принадлежащие обоим игрокам. Общее правило формирования подобных рефлексивных элементов состоит в следующем: голове ранга і соответствует сумма элементов, находящихся в головах ранга і— 1, с добавленным индексом ветви.

 

Рис. 2.

 

Описанный здесь механизм позволяет изображать сколь угодно сложные и запутанные рефлексивные структуры с помощью сумм типа:

 

 

где х1 = х, х2 = у, причем любое подмножество слагаемых может отсутствовать за исключением слагаемого Т.

Возникает вопрос: как следует интерпретировать элементы типа Тххх, Тухх, Тхх, то есть те, в которых один индекс встречается два и более раз подряд в конце последовательности индексов? Эти элементы можно интерпретировать как управляющие процессом отражения на нижележащем уровне. В Тхх вырабатываются решения, которые реализуются в Т х. Мы видели выше, что в Тх вырабатываются решения, реализуемые на реальном плацдарме. Рассматривая рис. 2, мы можем заметить, что сумма Тух + Тхх легко интерпретируется как осознание суммы элементов Ту + Тх. Отсюда, естественно, вы-

­ Конец страницы 25 ­

¯ Начало страницы 26 ¯

текает закон дистрибутивности относительно правого индекса:

 

 

Слагаемые в выражении (9) могут быть сгруппированы различным образом.

В настоящее время трудно указать формальные схемы процедур принятия решения для более сложных случаев, чем

 

 

Однако принципиально возможно представить любого игрока в виде суммы рефлексивных элементов и привести эту сумму в соответствии с правилами этой своеобразной алгебры к виду, удобному для анализа. Это позволяет характеризовать по существу те решения, которые должны быть приняты в результате оперирования этими элементами.

Первой и самой простой операцией над суммами вида (9) является операция выделения оснований для принятия решений. Пусть игрок X изображен в виде суммы

 

 

Все, что находится в скобках, осознано игроком X, и чтобы представить его внутреннюю картину, мы должны выделить

 

Т+Туху.

Это достигается следующей операцией над выражением (12):

 

 

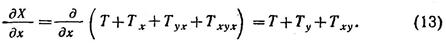
Заметим, что мы пользуемся чисто внешними аналогиями, употребляя символику математического анализа. Просто те алгебраические операции, которые связаны с описанием рефлексивных процессов, напоминают формулы интегрирования и дифференцирования многочленов. Никакого «количественного» смысла эта символика не имеет.


Выражение (13) представляет собой символическую запись игрока Y с точки зрения X. Это выражение таким же образом может быть «продифференцировано» и могут быть получены основания, которыми пользовался Y при принятии решения (с точки зрения X).

Так как

 

Т+Ту + Тху = Т+(Т+Тх)у.

получаем:

­ Конец страницы 26 ­

¯ Начало страницы 27 ¯

С позиции внешнего исследователя, выражение (14) может быть интерпретировано как основание для принятия решения игроком Y с точки зрения X:

 

(Т+Тх)ух. (15)

Мы представили конфликт в виде символического многочлена Ω. Условимся теперь, что вместо членов вида Тххх или Тххуу будем писать и ТХ2У2. Заметим, что в нашей алгебре «умножение» не коммутативно, то есть Тху ≠ Tx. Действительно, левый элемент интерпретируется как Тх с точки зрения Y, а правый элемент — как Ту с точки зрения X, и смысл, вкладываемый в эти члены, различен. Есть еще одно существенное отличие этой алгебры от «обычной». Одно слагаемое может быть повторено произвольное число раз, например,

 

Т+ Тх + Тх + Тх = Т+ Тх

Это правило естественно, так как при репродуцировании какого-либо «текста» не возникает новой информации. Безразлично, чем располагает игрок — одним элементом Тх или тремя.

Любую сумму, изображающую рефлексивное взаимодействие двух игроков, с позиции внешнего исследователя можно представить в виде

 

 

где Ω' и Ω" — некоторые суммы, выражающие соответственно основания решений игрока X и игрока Y. Общее правило выявления оснований таково:

 

 

С помощью этих операций исследователь как бы извлекает или заимствует картины, лежащие перед игроками.

В общем случае многочлены Ω' и Ω" могут быть приведены к виду (16) и в свою очередь подвергнуты операции дифференцирования. Вторые производные и производные более высоких порядков определяются аналогично правилу (17).

Это правило легко обобщается и переносится на случай многих игроков. Рассмотрим, например, ситуацию взаимного отражения, в которой действуют пять игроков: а1, а2, аз, а4 и a5 и которая может быть представлена; как сумма, записанная в произвольном порядке

 

­ Конец страницы 27 ­

¯ Начало страницы 28 ¯

Изобразив так картину рефлексивного взаимодействия, мы можем ставить разные задачи. Например, мы можем узнать, как с точки зрения а5 игроки а4 и а3 представляют себе а5. Продифференцируем Q по а5. Члены, имеющие крайний правый индекс, отличный от а5, исчезнут, а у членов с крайним индексом а5 нужно его зачеркнуть:

 

 

Найдем точки зрения а4 и а3, Для этого продифференцируем (18) по а4 и а3:

 

 

Выделим члены, принадлежащие as. Получим:

Ta2,as это игрок as, как он представляется а4 с точки зрения as.

Т a2а4а5 — это игрок а5, как он представляется аз с точки зрения as.

Взаимные многократные отражения в большом коллективе могут порождать очень сложные суммы. Последовательным дифференцированием по различным основаниям мы можем извлекать произвольные картины, лежащие в более сложных картинах и т. д.

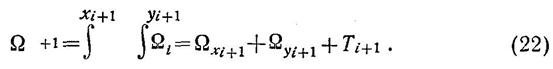
Основной процедурой в процессе принятия решения является осознание ситуации. Что скрывается за этим термином? Интуитивно чувствуется, что осознание с операциональной стороны это резкий переход, скачок: то, что do было скрыто, после оказывается перед глазами. Мы будем полагать, что осознанием является отражение одним из игроков всей системы Ω в некоторый момент времени. Рассмотрим систему:


 

Ωi = Xi + Yi

(і — здесь и далее некоторый момент времени). Пусть в момент i+1 X произвел осознание, то есть отразил всю систему такой, какой она была в момент і. В результате система Ω внешнему наблюдателю представится как

 

 

Игрок Y не производил осознания, поэтому он без изменения «перешел» в следующий момент времени. Операцию осознания мы будем обозначать как нахождение символической первообразной:

 

 

или, опуская индексы,

 

­ Конец страницы 28 ­

¯ Начало страницы 29 ¯

В отличие от математического анализа мы не употребляем значок дифференциала, а роль константы, появляющейся после «интегрирования», выполняет Y.

Теперь нетрудно увидеть, что основание, которое лежит перед игроком X в момент і+l, тождественно состоянию системы Ω в момент і. Поэтому операцию дифференцирования можно истолковать не только как выделение оснований для принятия решения, но и как переход от Ωi+1 к Ωi.

 

Рис. 3.

 

Процедура осознания ситуации другим игроком фиксируется аналогичным выражением:

 

 

Если оба игрока произвели осознание одновременно, то имеет место соотношение (22), выводимое из (19) и (21):

 

 

Процедуру осознания поясняет рис. 3. Пусть в момент времени і ситуация изображается многоголовым человечком в левой части рисунка. (Мы зачернили те головы, в которых что-то отражено). В момент i+1 X произвел осознание. До

­ Конец страницы 29 ­

¯ Начало страницы 30 ¯

этого все его головы были пусты. Осознание выступит как отражение Т и всех картин Y на следующий этаж по ветви X:

Т отразится в первой голове по ветви X, содержимое первой головы на ветви К отразится во второй голове на ветви X и т. д. (см. правую часть рис. 3).

Введение формальной процедуры для процессов осознания позволяет фиксировать интеллектуальную динамику конфликта. Например, одна из простых схем развертывания конфликта такова:

 

 

Это означает, что в момент to партнеры вообще не производили осознания:

 

T0.

В момент t1 оба одновременно осознали плацдарм Т0:

 

 

Плацдарм Т в момент ti перешел в состояние T1 но игроки зафиксировали его предыдущее состояние Т0. В следующий момент осознание произвел только X

 

 

Поскольку Y в момент t 2 осознания не производил, он без изменения «перешел» в момент t2, следовательно,


 

Y2 = T2+T0y2

 

и, таким образом,

 

 

С помощью изложенного здесь формального метода мы можем фиксировать не только некоторый «объективный» разворот событий, но и динамику развития внутреннего мира игрока в «условных» единицах времени. Воспользовавшись символом П, обозначающим свертку многих сомножителей, мы можем длинные суммы вида (23) представлять короткими интегральными выражениями:

 







Date: 2015-04-23; view: 618; Нарушение авторских прав



mydocx.ru - 2015-2026 year. (0.443 sec.) Все материалы представленные на сайте исключительно с целью ознакомления читателями и не преследуют коммерческих целей или нарушение авторских прав - Пожаловаться на публикацию